Structural and magnetic states of magnetostrictive alloys Fe3Me, Me = Al, Ga, Ge in a wide temperature range
- Authors: Balagurov A.M.1,2,3, Golovin I.S.1,2, Yerzhanov B.1,4,5, Kalugin K.V.1,3, Sumnikov S.V.1, Chernyshov D.Y.6
-
Affiliations:
- Joint Institute for Nuclear Research
- National Research Technological University MISiS
- Lomonosov Moscow State University
- Kazan Federal Universit
- Institute of Nuclear Physics of the Ministry of Energy of the Republic of Kazakhstan
- SNBL at ESRF
- Issue: Vol 126, No 1 (2025)
- Pages: 69-86
- Section: СТРУКТУРА, ФАЗОВЫЕ ПРЕВРАЩЕНИЯ И ДИФФУЗИЯ
- URL: https://ogarev-online.ru/0015-3230/article/view/288555
- DOI: https://doi.org/10.31857/S0015323025010083
- EDN: https://elibrary.ru/BZPKQG
- ID: 288555
Cite item
Abstract
A series of diffraction experiments on a number of alloys similar in composition to stoichiometric Fe3Me with Me = Al, Ga, Ge were performed on X-ray, synchrotron, and neutron radiation sources. In the temperature range (20–1100 K), the structural, magnetic and microstructural characteristics of alloys were determined and their temperature evolution during continuous slow heating and subsequent cooling was studied. The information available in the literature on metastable and equilibrium states of alloys at elevated temperatures is clarified and specified, and their comparative analysis is performed. The identity of the temperature behavior of the alloys was observed at T < 100 K. The search for the tetragonal L60 phase, the formation of which in Fe–Ga alloys is considered as the main reason for the sharp increase in the magnetostriction constant, did not lead to a positive result.
Full Text
ВВЕДЕНИЕ
Интерес к исследованиям материаловедческих и структурных свойств разнообразных бинарных сплавов на основе железа в последнее время связан в основном c выяснением их сходства или различия со свойствами сплавов Fe-Ga, в которых в начале 2000-х годов был открыт эффект гигантской магнитострикции [1]. Подробное количественное сравнение именно магнитострикционных свойств сплавов Fe-Ga, Fe-Al и Fe-Ge на уровне тетрагональных констант магнитострикции, λγ = (3 / 2) λ100, и энергий магнитоупругой связи выполнено в [2]. Из данных, приведенных в этой статье, следует, что в Fe-Ga и Fe-Al константа λγ положительна, а в ее зависимости от концентрации замещающего железо элемента имеется четко выраженный максимум в области перехода из неупорядоченного в упорядоченное состояние (около 19 ат. % Ga или Al). В этом максимуме λγ примерно в 10 или 20 раз больше для сплавов Fe-Al и Fe-Ga, чем в α-Fe, соответственно. В сплаве Fe-Ga, кроме того, наблюдается второй максимум магнитострикции при ~27 ат. %Ga с таким же большим (~400 ppm) значением λγ. В сплаве Fe-Ge магнитострикция в максимуме при ~18 ат. % Ge по абсолютной величине примерно такая же, как в Fe-Al, но имеет отрицательный знак. Магнитострикция является структурно обусловленным свойством, а поскольку понимание перечисленных особенностей сплавов Fe-Mе, где Mе = Al, Ga, Ge пока не достигнуто, то, соответственно, требуется углубленное изучение деталей их структурных состояний.
Из существующих описаний равновесных фазовых диаграмм этих сплавов (см., напр., [3-6]) следует, что состояния составов, близких к стехиометрическому Fe75Mе25 = Fe3Me, соответствуют структурным фазам D03 (Fe3Al), L12 (Fe3Ga) или D03 + B82 (Fe3Ge). Однако метастабильные состояния, возникающие при больших (> 30 К/мин) скоростях охлаждения, заметно отличаются от равновесных, что также было продемонстрировано в ряде работ (см., напр., [7, 8]). В частности, было показано, что Fe3Al может находиться в фазе B2, Fe3Ga – в фазе D03, Fe3Ge – в двухфазном (D019 + L12)-состоянии с небольшой (< 10%) примесью фазы B82. Эти состояния были подтверждены в ряде нейтронных дифракционных экспериментов [9-11], из чего следует, что они являются объемным свойством сплавов, неискаженным возможными поверхностными эффектами. Из результатов этих же экспериментов можно заключить, что некоторые как равновесные, так и метастабильные состояния сплавов Fe3Al, Fe3Ga и Fe3Ge нуждаются в уточнении в том числе и потому, что тип атомной структуры, возникающей в результате охлаждения сплава от Т ≈ 1100 К до комнатной температуры (КТ), напрямую зависит от его скорости [12]. Поведение магнитной структуры сплавов при температурных воздействиях также нетривиально, со сложной температурной зависимостью намагниченности вследствие происходящих структурных фазовых переходов. Кроме того, в гексагональной фазе D019, встречающейся в Fe3Ga и Fe3Ge, помимо стандартного ферро-парамагнитного перехода, наблюдается еще и ориентационный (spin-flip) переход [11, 13].
Помимо анализа структурных и магнитных состояний сплавов Fe3Al, Fe3Ga и Fe3Ge при нагреве и охлаждении до КТ, представляет интерес их сравнительное поведение при охлаждении до гелиевых температур. Еще одной актуальной задачей является поиск эффектов, которые могли бы подтвердить или опровергнуть присутствие в этих сплавах метастабильной тетрагональной фазы L60. Ее образование в сплавах Fe-Ga было предположено в работе [14] как возможная причина увеличения константы магнитострикции при легировании железа галлием из-за упругих анизотропных деформаций, возникающих в А2- или D03-структурах. Вплоть до настоящего времени основными для объяснения эффекта гигантской магнитострикции являются модели, основанные на формировании в сплаве фазы L60 с различной морфологией. Предполагается, что она может присутствовать как в виде областей ближнего порядка с длиной когерентности ~10 Å, так и в виде хорошо упорядоченных областей с размерами вплоть до ~800 Å. Однако присутствие этой фазы, по крайней мере, в виде объемных областей с дальним кристаллическим порядком до сих пор остается под сомнением. Из возможных других нестандартных фаз достоверно установлено лишь формирование в составе Fe73Ga27 фазы с пока неизвестной структурой (фазы X), решетку которой можно представить как гексагональную с a ≈ a0, c ≈ a0, где a0 ≈ 2.87 Å – параметр решетки α-Fe [15].
В настоящей работе приведены новые сведения о структурных и магнитных превращениях в литых сплавах, состав которых близок к стехиометрическому Fe3Mе, Mе = Al, Ga, Ge. Экспериментальные данные были получены с использованием дифракции нейтронов, рентгеновского и синхротронного излучений в широком диапазоне температур от 20 до 1100 К при медленных нагревах и последующих охлаждениях. Из дифракционных спектров извлекали зависимости от температуры положения, ширины и интенсивности характерных дифракционных пиков различных структурных фаз и выполняли их анализ. Физические и материаловедческие свойства этих сплавов не затрагиваются, так как они подробно обсуждены во многих публикациях, в частности в обзоре [16].
ОБРАЗЦЫ, ЭКСПЕРИМЕНТ И ОБРАБОТКА ДАННЫХ
Основные результаты, представленные в настоящей работе, получены на литых образцах Fe-Al, Fe-Ga и Fe-Ge, выплавленных из соответствующих смесей чистых Fe, Al, Ga и Ge в индукционной печи в аргоновой атмосфере с последующей быстрой кристаллизацией в медной форме. Больше деталей процедуры получения образцов приведено в работах [9-11]. Сплав с Ge дополнительно отжигали при 873 К в течение 48 ч и закаливали в воду. Химические составы слитков устанавливали с помощью энергодисперсионной спектроскопии с точностью 0.2%; они оказались близкими к предполагаемому стехиометрическому, а именно: Fe74.0 Al26.0, Fe74.5Ga25.5 и Fe74.1Ge25.9. Для единообразия и краткости везде далее они будут обозначаться как Fe3Mе, где Mе = Al, Ga или Ge. Некоторые дополнительные результаты получены на составе Fe73.4Ga26.6, приготовленного аналогичным образом. Для нейтронных экспериментов из слитков вырезали образцы в форме параллелепипеда, размерами 4 × 8 × 50 мм. Для синхротронных экспериментов использовали игольчатые образцы, полученные путем резки и полировки. Они были протравлены смесью HNO3 с этанолом с целью выявления отдельных монокристаллических зерен, имеющих типичный размер ~100 мкм. Измерения рентгеновских дифракционных спектров проводили на образцах, поверхность которых предварительно чистили абразивными материалами с различной зернистостью, при этом убирали поверхностный слой материала толщиной ~300 мкм. Затем поверхность травили смесью HNO3 с этанолом для снятия внутренних напряжений, внесенных при шлифовке.
Измерения нейтронных дифракционных спектров выполнены на фурье-дифрактометре высокого разрешения (ФДВР) на импульсном реакторе ИБР-2 в ОИЯИ (Дубна) [17]. ФДВР является корреляционным дифрактометром по времени пролета с быстрым фурье-прерывателем и с возможностью переключения между модами высокого разрешения (Δd/d ≈ 0.0015) и высокой светосилы со средним разрешением (Δd/d ≈ 0.015). Нейтронограммы, измеренные с высоким разрешением, использованы для анализа профилей дифракционных пиков. Для нормировки дифрактометра и проверки корректности описания профилей пиков использован спектр, измеренный на порошке La11B6 (NIST стандарт). Во второй моде полный дифракционный спектр измеряли с необходимой статистикой за время ~1 мин и ее применяли для непрерывного сканирования по температуре до ~1100 К и обратно до КТ при скорости ее изменения ±2 К/мин. Дифракционные спектры образцов, измеренные с высоким разрешением в исходном состоянии и после нагрева-охлаждения, приведены на рис. 1. В спектрах хорошо видны слабые, но вполне наблюдаемые сверхструктурные пики фаз B2 (200, 222 и т. д.), D03 (111, 200, 311 и т. д.), L12 (100, 110 и т. д.), D019 (101, 110 и т. д.), что указывает на их высокую степень упорядочения.
Рис. 1. Нейтронные дифракционные спектры сплавов в исходном состоянии (слева) и после медленных нагрева до 1100 К и охлаждения до КТ (справа). Указаны индексы Миллера нескольких первых брэгговских пиков. Вертикальные штрихи – расчетные положения пиков. Для Fe3Al положения пиков указаны для ячейки фазы D03 (aD03 ≈ 2aB2). В спектре Fe3Ge (в) при d ≈ 2 Å видны два слабых пика фазы B82. В спектре Fe3Ga (д) при d ≈ 2.05 Å виден слабый пик 110 фазы А2. В спектре Fe3Ge (е) при d ≈ 1.85 Å виден слабый пик 200 фазы А1.
Приведенное на рис. 1г обозначение B2/D03 означает обсуждаемое далее сложное микроструктурное состояние: матрица B2 с дисперсно-распределенными в ней областями (кластерами) фазы D03. Более подробное описание методики нейтронных исследований содержится в обзоре [18], в котором приведено описание ряда физических задач, решенных для сплавов Fe-Ga и Fe-Al с помощью экспериментов, выполненных на ФДВР. Помимо анализа эволюции структурных фаз, они включали и определение температурной зависимости направлений и величины магнитных моментов железа.
Синхротронные дифракционные эксперименты были выполнены в ESRF (Гренобль) на станциях BM01A [19] (λ0 = 0.6867 Å) и ID28 [20] (λ0 = 0.6968 Å). Обе станции оборудованы многопиксельными детекторами типа Pilatus, позволяющими подробно сканировать большие объемы обратного пространства. Данные со станции BM01A допускали количественный анализ интенсивностей брэгговских пиков. Данные со станции ID28, имеющей в ~100 раз больший поток фотонов, использовали для анализа диффузного рассеяния и слабых сверхструктурных дифракционных пиков. Малое сечение пучка фотонов на этой станции (0.02 × 0.04 мм2) позволяет собирать дифракционную информацию от одного монокристаллического зерна с минимальным вкладом от соседних зерен.
Измерения рентгеновских дифракционных спектров проводили на лабораторном дифрактометре PANalytical Empyrean, оснащенного Cu и Co рентгеновскими трубками и высокоэффективным позиционно-чувствительным детектором Pixel3D. Сканирование производили в геометрии Брэгга-Брентано в диапазоне углов рассеяния от 20° до 100° с шагом 0.013° с экспозицией от 200 до 4000 секунд на шаг. Для подавления вклада Cu-Kβ-линии использовали Ni-фильтр. Фильтрацию линии Cu-Kα2 не проводили, поэтому рентгеновские дифракционные пики имели форму дублета Kα1–Kα2.
Анализ дифракционных данных проводили с использованием программных пакетов FullProf [21] и Fityk [22], первый из которых использовали для анализа спектров по методу Ритвельда, а с помощью второго извлекали основные геометрические характеристики дифракционных пиков: амплитуду, площадь, положение и ширину. Высокая симметрия кристаллических решеток сплавов, сравнительно небольшая величина параметров их элементарных ячеек и достаточно высокое разрешение использованных дифрактометров определило то, что большое число дифракционных пиков были одиночными, и геометрические характеристики определены индивидуально для каждого пика. Профили пиков описывали функцией Войта, являющейся сверткой гауссиана и лоренциана. По функциональным зависимостям ширины дифракционных пиков (анализировали полную ширину на половине амплитуд пиков) от межплоскостного расстояния делали заключения о микроструктуре сплавов. Уровень разрешающей способности ФДВР позволял определять характерные размеры областей когерентного рассеяния (ОКР), если Lcoh < 3000 Å, и микродеформации в кристаллитах (статические флуктуации метрических параметров элементарной ячейки, ε ≈ Δа / а), если ε > 3 · 10–4.
Происходящие в образцах при нагреве-охлаждении фазовые трансформации прослеживали по 2D-картам изменения интенсивностей дифракционных пиков. Карта для Fe3Ga показана на рис. 2, карты для Fe3Al и Fe3Ge приведены в [10, 11]. По исчезновению или появлению характерных пиков определяли температуры переходов между различными структурными фазами. Из зависимостей от температуры интенсивностей и положений основных пиков определяли изменения объемных долей структурных фаз и параметров их элементарных ячеек.
Рис. 2. 2D-представление эволюции дифракционных спектров состава Fe74.5Ga25.5, измеренные в ходе его нагрева до 1100 K (+2 K/мин) и последующего охлаждения до КT (-2 K/мин). Ось температуры – снизу вверх, ось межплоскостных расстояний – слева направо. При нагреве наблюдаются переходы: D03 → L12 → D019 → А2. При охлаждении наблюдаются переходы: А2 → D03 → L12. Время измерения одного спектра – 1 мин, всего 2D-карта содержит около 850 спектров.
ОСОБЕННОСТИ ДИФРАКЦИОННОЙ ИДЕНТИФИКАЦИИ УПОРЯДОЧЕННЫХ ФАЗ Fe3Me
При содержании элементов, соответствующем формуле Fe3Me, фазы D03, L12 и D019 могут быть упорядоченными при низких температурах. В этом случае брэгговские пики в дифракционном спектре могут быть разделены на две группы. Интенсивности пиков первой группы (их принято называть основными) не зависят от степени упорядочения атомов Fe и Ме, т. е. они не исчезают, если происходит переход в неупорядоченное состояние, например, D03 → A2. Интенсивности пиков второй группы (их принято называть сверхструктурными) определяются степенью упорядочения структуры (ξ), которая зависит от способа получения сплава и температуры: I(T) ~ ξ(T)2, 0 ≤ ξ (T) ≤ 1. Структурные факторы, нормированные на число формульных единиц, как основных (FF), так и сверхструктурных (FS) пиков одинаковы для упорядоченных фаз D03, L12 и D019 и задаются выражениями:
, (1)
где bFe и bMe – атомные факторы рассеяния в случае рентгеновского или синхротронного излучения или когерентные длины рассеяния в случае дифракции нейтронов (фактор Дебая-Валлера для краткости опущен). При рассеянии фотонов для оценок структурных факторов пиков с большими dhkl вместо b можно использовать атомные номера элементов: ZFe = 26, ZAl = 13, ZGa = 31, ZGe = 32. Для отношения рентгеновских структурных факторов сверхструктурных и основных пиков для Fe–Ga получаем: FS/FF = (bFe – bGa) / (3bFe + bGa) ≈ 0.046. Поскольку I ~ |F|2, то отношение интенсивностей пиков при прочих равных условиях есть: IS / IF ≈ 0.002. В случае нейтронов для расчетов следует использовать: bFe = 9.45, bAl = 3.45, bGa = 7.29, bGe = 8.18 Фм (1 Фм = 10–13 см) [23]. Можно убедиться, что нейтронные сверхструктурные пики несколько более интенсивны, чем рентгеновские, а наиболее интенсивные они в случае Fe3Al в силу наибольшего контраста между факторами рассеяния Fe и Al: FS/FF = (bFe – bAl)/(3bFe + bAl) ≈ 0.189, IS / IF ≈ 0.036.
Из приведенных оценок следует, что задача регистрации сверхструктурных пиков сплавов Fe3Me трудная, но вполне решаемая, что видно и из спектров, приведенных на рис. 1 и рис. 2. Для составов со слабо нарушенной стехиометрией, например для Fe74Me26 ≈ Fe2.96Me1.04, общая дифракционная картина остается неизменной. Слегка уменьшаются интенсивности сверхструктурных пиков из-за уменьшенного контраста и несколько увеличивается некогерентный фон. Заметные изменения могут происходить только при более сильном нарушении стехиометрии ( ± 1 атом на ячейку и больше). В этом случае при упорядоченном замещении, например атома Ме на избыточный атом Fe, изложенные выше правила запрета нарушаются, и в дифракционном спектре могут появиться пики, запрещенные для упорядоченного состава Fe3Ме.
Основные структурные характеристики перечисленных упорядоченных фаз приведены в табл. 1. Если происходит разупорядочение, то фазы B2 и D03 переходят в ОЦК-фазу A2 (параметр ячейки D03 уменьшается в 2 раза), L12 – в ГЦК-фазу A1, D019 – в ГПУ-фазу A3 (параметр ячейки а уменьшается в 2 раза). Помимо упомянутых фаз в таблицу включена тетрагональная фаза D022, которая в некоторых моделях, так же как L60, рассматривается как возможная причина повышенной магнитострикции Fe-Ga-сплавов. Данные для параметров ячеек взяты из обзорных работ [16, 18], данные для фазы D022 – из [24]. Значения параметров – ориентировочные (зависят от температуры сплава).
Таблица 1. Основные структурные характеристики упорядоченных фаз, наблюдаемых и предполагаемых в Fe3Me, где Me = Ga, Al, Ge. В колонках указаны симметрия кристаллической решетки, пространственная группа, параметры элементарной ячейки, число атомов в ней и атомный объем (объем ячейки, приходящийся на 1 атом) для Fe3Ga. X означает фазу, обнаруженную в работе [15]. В конце таблицы в справочных целях приведены характеристики структур элементов
Фаза | Симм. | Пр. группа | Fe3Ga, Å | Fe3Al, Å | Fe3Ge, Å | N | Va, Å3 |
B2 | куб. | Pmm | a ≈ 2.91 | a ≈ 2.93 | 2 | 12.32 | |
D03 | куб. | Fmm | a ≈ 5.81 | a ≈ 5.79 | 16 | 12.27 | |
L12 | куб. | Pmm | a ≈ 3.68 | a ≈ 3.66 | 4 | 12.46 | |
D019 | гек. | P63 /mmc | a ≈ 5.20 c ≈ 4.23 | a ≈ 5.18 c ≈ 4.22 | 8 | 12.40 | |
B82 | гек. | P63 /mmc | a ≈ 4.03 c ≈ 5.03 | 6 | 11.79 | ||
L60 | тет. | P4 /mmm | a ≈ 4.11 c ≈ 2.90 | 4 | 12.25 | ||
D022 | тет. | I4 /mmm | a ≈ 3.70 c ≈ 7.20 | 8 | 12.32 | ||
X | гек. | ? | a ≈ 8.12 c ≈ 9.94 | 48 | 11.82 | ||
α-Fe | куб. | Imm | a ≈ 2.867 | 2 | 11.78 | ||
Ga | ромбич. | Cmca | a ≈ 4.517 b ≈ 7.645 c ≈ 4.511 | 12 | 12.98 | ||
Al | куб. | Fmm | a ≈ 4.050 | 4 | 16.61 | ||
Ge | куб. | Fdm | a ≈ 5.660 | 8 | 22.67 |
СТРУКТУРНЫЕ СОСТОЯНИЯ СПЛАВОВ Fe3Me
Структурные состояния при нагреве до 1100 К. В закаленном состоянии сплава Fe3Al его дифракционный спектр (рис. 1а) соответствует фазе B2, для которой индексы сверхструктурных пиков удовлетворяют условию h + k + l = 2n, но ≠ 4n. Поскольку строгое упорядочение структуры по типу B2 возможно только для состава Fe1Me1, то в структуре Fe3Al содержится значительное количество дефектов, нарушающих дальний порядок. Действительно, как следует из анализа профилей дифракционных пиков и из функциональной зависимости их ширины от межплоскостного расстояния, характерный размер ОКР (Lcoh) не превышает 600 Å. При нагреве сплава в интервале температур (570–820) К возникают дифракционные пики упорядоченной фазы D03. Но как следует из анализа ширины дифракционных пиков [10], эта фаза не заполняет весь объем образца, а существует в виде кластеров с характерными размерами ~(50–200) Å. Дальнейший нагрев приводит сначала к исчезновению кластеров D03 и образованию В2, а затем к переходу к полностью неупорядоченному состоянию A2. Таким образом, при медленном нагреве закаленного сплава Fe3Al происходят переходы B2 → B2/D03 (при 570 K) → B2 (при 820 K) → A2 (при 1090 K).
Дифракционный спектр сплава Fe3Ga в состоянии после литья (рис. 1б) соответствует метастабильной фазе D03. В работе [9] его микроструктура была описана как однородная с характерными размерами ОКР на уровне Lcoh ≈ 2000 Å. Однако новые дифракционные данные, полученные в настоящей работе, лучше соответствуют такой же модели микроструктуры, как и для сплава Fe3Al – кластеры фазы D03, внедренные в матрицу со структурой B2. Это следует из анализа ширины дифракционных пиков по методу Вильямсона-Холла и из небольшого, но явного различия параметров элементарных ячеек матрицы и кластеров (рис. 3). Параметр ячейки более упорядоченной фазы D03 был определен по положениям сверхструктурных пиков, разрешенных только в этой фазе. Он оказался на ≈ 0.0004 Å меньше, чем параметр ячейки фазы B2, являющейся основной в образце. Эффект небольшого уменьшения параметра ячейки при упорядочении хорошо известен для интерметаллидов (см., напр., обзор [25]) и наблюдался ранее в различных составах Fe-Al и Fe-Ga, в том числе при температурном сканировании [26]. В данном случае малая величина отличия aF и aS (Δа / а ≈ 8 · 10–5) связана с близостью структур B2 и D03-фаз и неполным уровнем упорядочения этих фаз. При медленном нагреве сплава (2 К/мин) происходят структурные фазовые переходы B2/D03 → L12 (при 710 K) → D019 (при 890 K) → A2 (при 950 K).
Рис. 3. Параметры элементарных ячеек матрицы (треугольники, aF, удвоенная величина) и кластеров (ромбы, aS) в сплаве Fe3Ga, определенные из межплоскостных расстояний индивидуальных (основных и сверхструктурных) дифракционных пиков.
В образце сплава Fe3Ge фазы L12 и D019 присутствуют примерно в равной пропорции. При медленном нагреве разупорядочение фазы L12 (переход в A1) происходит при T ≈ 710 K, а при T ≈ 980 K эта фаза переходит в A3. Доля фазы D019 в образце остается неизменной вплоть до T ≈ 1070 K, выше которой происходит переход в неупорядоченное состояние A3. Таким образом, при нагреве двухфазного Fe3Ge происходят переходы L12 → A1 (при 710 K) → A3 (при 980 K) и D019 → A3 (при 1070 K).
Типы кристаллических решеток одинаковы для фаз A2, B2 и D03 (ОЦК1), A1 и L12 (ГЦК), A3 и D019 (ГПУ), и структурные переходы внутри этих групп, например B2 ↔ D03, являются переходами 2-го рода типа порядок-беспорядок. Их основа – диффузионные движения отдельных атомов, при этом расстояния, на которые они перемещаются, сопоставимы по величине с размерами элементарной ячейки. Превращения между фазами с разными типами решеток являются переходами 1-го рода, происходящие со скачком объема, их основой являются кооперативные движения, причем атомные смещения малы, окружение конкретных атомов совсем или почти не изменяется. Согласно классификации IUPAC [27], переходы порядок–беспорядок следует обозначать как диффузионные (diffusive), переходы со скачком объема – как сдвиговые (displacive). Детальный анализ, выполненный в [28], позволил установить более сложный (комбинированный) характер переходов между фазами с разными типами решеток (D03 ↔ L12 ↔ D019). А именно, они включают как сдвиговую, так и диффузионную компоненты атомных смещений. Диффузионная стадия необходима для образования промежуточных, неупорядоченных состояний, переход между которыми и приводит к смене типа решетки, и, например, переход из D03 в L12 следует записывать как D03 → A2 → A1 → L12. В [28] предположено, что эта схема имеет общий характер, а именно: переход между структурно упорядоченными фазами, принадлежащими к разным типам кристаллических решеток, должен включать стадию структурного беспорядка.
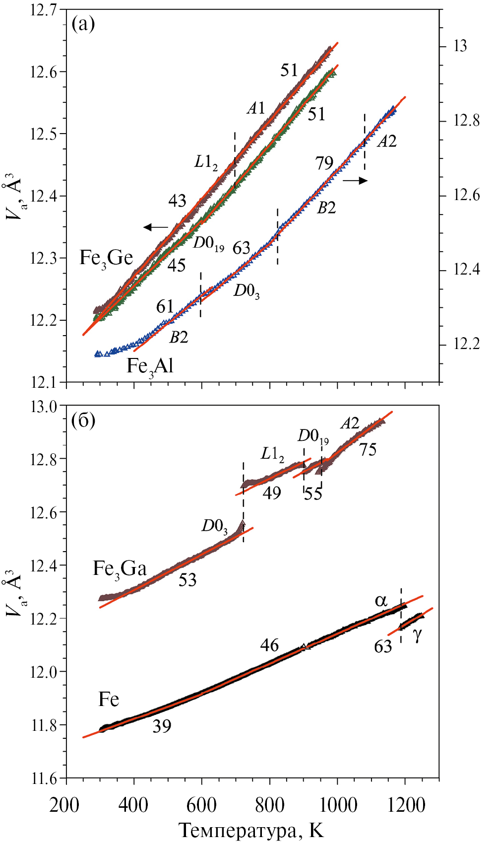
Различия между этими двумя типами переходов – чисто диффузионными и комбинированными – хорошо проявляется в зависимостях атомного объема от температуры (рис. 4). В сплавах Fe3Al и Fe3Ge при переходах (L12 → А1 и D019 → A3) не происходит изменение типа решетки, соответственно, для них зависимости Va(T) непрерывные. Напротив, в Fe3Ga все наблюдающиеся переходы комбинированные и так же, как переход α-Fe ↔ γ-Fe, происходят со скачком объема. Величины скачков различаются существенно, составляя ΔVa/Va ≈ 0.010 для D03 → L12, 0.002 для L12 → D019, 0.0015 для D019 → А2, но, в принципе, они сравнимы с ΔVa/Va ≈ 0.005 при переходе α-Fe → γ-Fe.
Рис. 4. Зависимости от температуры атомных объемов: сплавов Fe3Al (правая шкала) и Fe3Ge (левая шкала) (а); чистого железа и сплава Fe3Ga (б), определенные в ходе их нагревов со скоростью 2 К/мин. В исходном состоянии сплава Fe3Ge примерно в равной пропорции присутствуют фазы L12 (верхняя кривая) и D019 (нижняя кривая). Вертикальными линиями обозначены структурные переходы 1-го рода для Fe и Fe3Ga и 2-го рода для Fe3Al и Fe3Ge сплавов. Указаны приближенные значения объемных КТР (в единицах 10–5 1/град), определенные по участкам с линейным изменением объема ячейки.
При медленном охлаждении до КТ сплавы переходят в равновесное (или близкое к нему) состояние. При этом в Fe3Al происходят переходы: A2 → B2 (при 1090 K) → B2/D03 (при 790 K), в Fe3Ga: A2 → D03 (при 930 K) → L12 (при 810 K), в Fe3Ge: A3 → D019 (при 1070 K). При КТ в Fe3Ga наблюдаются следы фаз А2 и А3, а в Fe3Ge – следы А1 и B82. Соответствующие нейтронные дифракционные спектры высокого разрешения приведены на рис. 1.
Структурные состояния при охлаждении до 20 К. Охлаждение ниже КТ (вплоть до гелиевых температур) не приводит к изменению структурного фазового состояния этих сплавов, зафиксированного при КТ. Единственным эффектом является температурное изменение атомного объема, которое по определению представляется как
, (2)
где β (T) – объемный коэффициент теплового расширения (КТР). Для металлических кристаллов с кубической симметрией β (Т) ~ аCе (T) + bCv (T), где а и b – некоторые коэффициенты, Cе и Cv – вклады в теплоемкость кристалла от электронов проводимости и атомной динамики (фононов). Известно, что при низких температурах, ориентировочно при Т < 0.1ΘD, где ΘD – температура Дебая, Cе(T) ~ T, Cv(T) ~ T 3 (см., напр., [29]), и интегрирование в (2) приводит к зависимости:
. (3)
По данным, приведенным в работе [30] для Fe, объемный КТР при низких температурах есть: β (T) = 3α (T) = 3 (32 ∙ 10–10T + 0.8 ∙ 10–11T3), где α (T) – линейный КТР, из чего следует, что электронный и решеточный вклады примерно одинаковы при T = 20 K. При низких температурах атомные объемы сплавов Fe3Me, полученные по нашим рентгеновским данным, приведены на рис. 5. Абсолютные величины атомных объемов при 20 К отличаются заметно: Va (Fe) ≈ 11.71 Å3, Va (Fe3Al) ≈ 12.06 Å3, Va(Fe3Ga) ≈ 12.18 Å3, Va (Fe3Ge) ≈ 12.23 Å3, но, как видно из рис. 6, их температурное поведение при Т < 100 К аналогично.
Рис. 5. Зависимость от температуры атомных объемов Fe3Me сплавов для Me = Al, Ga, Ge в области низких температур.
Рис. 6. Нормированные при 20 К величины атомных объемов Fe3Me сплавов в области низких температур. Кривая (штриховая) для Fe построена по данным, приведенным в [30].
Модифицированная D03-фаза. В работе [14] было показано, что обмен позициями Fe ↔ Ga в двух парах атомов Fe-Ga в фазе D03 в положениях (8c) группы Fmm приводит к структуре, которую стали называть модифицированной D03 (m-D03)-фазой. Преобразованием системы координат она может быть представлена как тетрагонально искаженная структура L12 (фаза L60, прототип CuTi3, пр. гр. P4/mmm). Предположения о присутствии этой фазы в сплавах Fe-Ga в виде структурно упорядоченных областей, являющихся переходной метастабильной структурой, приводятся в большом числе экспериментальных работ. В основном они базируются на двух эффектах: деформации профилей основных дифракционных пиков, наблюдаемой в рентгеновских и синхротронных экспериментах, и на присутствии специфических сверхструктурных дифракционных пятен, регистрируемых в экспериментах по дифракции электронов. Такого рода свидетельства начали появляться вскоре после опубликования работы [14] (см., напр., [31]), продолжают появляться в настоящее время (см., напр., [32]) и пока относятся только к сплавам Fe-Ga. Однако еще в работе [33] было указано, что надежность этих свидетельств не является абсолютной. Действительно, в недавних дифракционных рентгеновских экспериментах [34] было показано, что наблюдаемые расщепления профилей основных дифракционных пиков возникают вследствие формирования А2- и B2-структур в приповерхностных слоях на глубине до 10 мкм и не связаны с тетрагональной фазой L60. Более того, из простых модельных расчетов следует, что основные пики должны расщепляться на три компоненты, а не на две, как видно из упомянутых выше статей с рентгеновскими данными. Сверхструктурные дифракционные пики, разрешенные в фазе L60, были обнаружены только в SAED (Selected-Area-Electron-Diffraction) экспериментах. Попытки их регистрации с использованием других типов излучений пока не привели к успеху.
Структурa упорядоченной фазы L60 состава Fe3Ме может быть описана в примитивной тетрагональной группе P4/mmm, атом Ga расположен в узле (0, 0, 0), атомы Fe – в центрах граней. При полной когерентности элементарных ячеек фаз D03 и L60 параметры элементарной ячейки последней должны быть: a = a (D03) / ≈ 4.11 Å, c = a(D03) / 2 ≈ 2.90 Å, c / a = 1 / = 0.707, 4 атома в ячейке, Va ≈ 12.25 Å3. Для основных пиков фазы L60 действует правило отбора ГЦК-ячейки (111, 200 и т.д.), сверхструктурные пики имеют смешанные индексы Миллера, а их структурные факторы рассчитываются по формулам (1). Полная энергия фазы L60 связана со степенью ее тетрагональности [24], которая может изменяться от c/a = 0.707 до 1, что соответствует переходу L60 → L12. Приведенные в литературе данные по элементарной ячейке различаются значительно, например, a = 4.10 Å, c = 2.98 Å, c/a = 0.727 в составе Fe73Ga27 [24] и a = 4.05 Å, c = 2.87 Å, c/a = 0.709 в составе Fe81Ga19 [35].
Объемная доля фазы L60 по данным из разных источников колеблется от (3–5)% [36, 37], вплоть до ~15% в составе Fe81Ga19 [38]. Конечно же, при таких количествах фазы ее специфические сверхструктурные дифракционные пики должны уверенно наблюдаться в рентгеновских, синхротронных или нейтронных экспериментах, но по каким-то причинам зарегистрировать их не удается. Исходя из уровня флуктуаций фона в местах расположения сверхструктурных пиков фазы L60, в работе [39] для состава Fe81Ga19Tb0.1 были получены верхние оценки возможного содержания этой фазы в объеме образца: 2% по нейтронным и 0.2% по синхротронным данным, что значительно меньше величин, приведенных в [36-38].
Для составов с большим содержанием Ga получить такого рода оценки не удается, поскольку в них присутствует упомянутая во введении фаза X. Гексагональную решетку этой фазы можно представить как кубическую с параметром a ≈ 3a (D03) ≈ 17.43 Å, и все возможные рефлексы фазы L60 перекрываются с рефлексами фазы X (рис. 7). Амплитуды пиков фазы X не превышают 103 отсчетов (рис. 8), тогда как амплитуды основных пиков фазы D03 составляют >107. Тем не менее пики фазы X в сплаве Fe73Ga27 уверенно регистрируются.
Рис. 7. hkk-слой обратного пространства сплава Fe73Ga27, восстановленный по дифракционным данным, полученным при 20°C на станции ID28 (ESRF). Решетка и индексы Миллера приведены для кубической ячейки D03 с параметром a ≈ 5.81 Å. В D03 разрешены рефлексы со всеми четными или всеми нечетными индексами Миллера. Рефлексы со смешанными индексами относятся к фазе X. Распределение интенсивности в выделенном направлении [2kk] показано на рис. 8.
Рис. 8. Распределение интенсивности в направлении [2kk] в слое hkk, показанном на рис. 7.
В других сплавах Fe3Me эту фазу пока найти не удается. Например, из показанного на рис. 9 сечения обратного пространства сплава Fe73Al27 следует, что все наблюдаемые рефлексы соответствуют симметрии фазы D03. Распределение интенсивностей в одном из направлений в этом сечении показано на рис. 10. Хорошо видны основные пики (-2-2 0 и 2 2-4), интенсивности которых сильно занижены из-за просчетов, и сверхструктурные пики, но какие-либо следы нестандартных фаз X и L60 отсутствуют.
Рис. 9. hhl-слой обратного пространства сплава Fe73Al27, восстановленный по дифракционным данным, полученным при 20°C на станции ID28 (ESRF). Решетка и индексы Миллера приведены для кубической ячейки D03 с параметром a ≈ 5.78 Å. Для основных (сильных) рефлексов индексы Миллера удовлетворяют условию h + k + l = 4n (-2-2-4, 0 0-4 и др.). Остальные рефлексы являются сверхструктурными. Распределение интенсивности в выделенном направлении [hhl] показано на рис. 10.
Рис. 10. Распределение интенсивности в направлении [hhl] в слое hhl, показанном на рис. 9.
МАГНИТНОЕ СОСТОЯНИЕ СПЛАВОВ
Сплавы Fe3Al, Fe3Ga и Fe3Ge ферромагнитны при комнатной температуре и переходят в парамагнитное состояние (ФМ → ПМ) при нагреве выше 820, 910 и 730 K соответственно. Для Fe3Ga и Fe3Ge наблюдается сложная зависимость намагниченности от температуры М (Т) из-за происходящих при нагреве структурных переходов [9, 11]. При медленном охлаждении и образовании в Fe3Al, Fe3Ga и Fe3Ge стабильных структурных фаз зависимости М (Т) становятся более регулярными, типичными для переходов ПМ → ФМ при TC ≈ 800, 720 и 630 K соответственно (рис. 11). Видимые нерегулярности в М (Т) связаны с образованием ФМ-состояний различных фаз. Например, для Fe3Ge нерегулярность при 470 К связана с образованием ФМ-состояния фазы B82.
Рис. 11. Температурные зависимости намагниченности сплавов Fe3Мe, измеренные при охлаждении со скоростью 6 K/мин. Температуры переходов в ферромагнитное состояние обозначены вертикальными линиями.
В кубических фазах D03 и L12 магнитные моменты Fe направлены вдоль одной из осей элементарной ячейки. Особенностью гексагональной фазы D019 сплава Fe3Ge является отмеченное выше наличие ориентационного перехода намагниченности. При охлаждении сплава магнитные моменты железа сначала выстраиваются вдоль поворотной оси 6-го порядка в интервале (630–380) К, а затем поворачиваются в базовую плоскость гексагональной структуры (подробнее см. [11]). Температурные зависимости величины упорядоченного момента железа определяли с использованием метода Ритвельда (пакет FullProf). Для сплава Fe3Ge примеры обработки спектров и температурных зависимостей компонент магнитного момента (µx и µz) в фазе D019 при нагреве и охлаждении приведены в работе [11]. Параметрическое описание зависимостей μ(Т) проведено с использованием феноменологической степенной функции:
, (4)
где μ0 – магнитный момент при Т = 0, TC – температура Кюри, α и β – уточняемые параметры. Эта формула позволяет с хорошей точностью воспроизвести экспериментальную зависимость в широком интервале температур. При температурах, близких к TC, (4) переходит в стандартную формулу µ (T) ~ [1 − T / TC]β, которая при β = 0.5 справедлива для модели среднего поля. На рис. 12 показано, как функция (4) воспроизводит экспериментальную зависимость упорядоченного момента фазы L12 в составе Fe73Ga27 с параметрами: μ0 = (2.2 ± 0.1) μB, TC = (760 ± 3) K, α = (10 ± 1), β = (0.64 ± 0.09). Для стехиометрического состава Fe3Ga зависимость аналогичная, с небольшим сдвигом по температуре (TC ≈ 720 K).
Рис. 12. Температурная зависимость упорядоченного магнитного момента железа в фазе L12 сплава Fe73Ga27 в ходе его медленного охлаждения. Линия соответствует феноменологической формуле (4) с параметрами, указанными в тексте.
ОБСУЖДЕНИЕ И ВЫВОДЫ
Приведенные данные о структурных состояниях литых сплавов Fe3Al, Fe3Ga и Fe3Ge до и после медленных нагрева-охлаждения и их изменениях в ходе нагрева-охлаждения уточняют и конкретизируют имеющиеся в литературе сведения. Схематическое представление зарегистрированных в этих сплавах состояний при повышенных температурах показано на рис. 13.
Рис. 13. Фазовые состояния сплавов Fe3Al, Fe3Ga и Fe3Ge при повышенных температурах в ходе медленных нагрева и последующего охлаждения. В исходном состоянии сплава Fe3Ge фазы D019 и L12 присутствуют в примерно равных объемных долях.
Наиболее просто выглядят структурные переходы в Fe3Al. Однако и в этом случае наблюдаются заметные отличия от сведений, представленных на равновесной фазовой диаграмме этого сплава [3]. Помимо начальной стадии (B2 до 570 K и B2/D03 до 820 K), нестандартным является и конечное состояние при КТ. Если судить только по дифракционному спектру (рис. 1г), то оно соответствует фазе D03 с хорошо выраженными сверхструктурными пиками (111, 200, 311 и т. д.). Из более подробного анализа, включающего рассмотрение ширины дифракционных пиков, следует, что, так же как на начальной стадии нагрева, это состояние представляет собой матрицу со структурой частично упорядоченной фазы B2 и дисперсно распределенными в ней областями (кластерами) фазы D03. Реальная морфология кластеров неизвестна, компьютерное моделирование предсказывает наличие взаимопроникающих областей с размытыми границами и сложной топологией. Тем не менее с точки зрения дифракции излучения кластеры фазы D03 можно рассматривать как связные области с другими, чем в матрице, типом и степенью порядка. Набору таких областей можно приписать характерный размер ОКР, который может быть определен по дифракционным данным с использованием приближений Шеррера или Вильямсона-Холла (подробнее см. [18]).
Пример построения Вильямсона-Холла для ширины дифракционных пиков, определенной по нейтронограммам исходного и конечного состояний Fe3Al, измеренных на ФДВР, показан на рис. 14. Линейный характер зависимости (Δd)2 от d 2 означает, что эффект размера в ширине пиков отсутствует (большие ОКР). Параболический характер этой зависимости означает, что характерные размеры ОКР малы. Из рис. 14 следует, что в исходном состоянии структура сплава представляла собой однородную, но сильно дефектную фазу B2 (средний размер ОКР Lcoh ≈ 580 Å). После процедуры нагрева-охлаждения степень дефектности фазы B2 заметно уменьшилась, а сформировавшиеся в ней, как в матрице, кластеры фазы D03 имеют характерный размер Lcoh ≈ 650 Å. Таким образом, равновесным состоянием Fe3Al является фаза B2/D03, а не D03, как указывается на фазовых диаграммах. Кроме того, следует отметить, что все структурные переходы в Fe3Al являются переходами 2-го рода, происходящие без скачков атомного объема.
Рис. 14. Зависимости (Δd)2 от d2 для сплава Fe3Al в состояниях до нагрева (треугольники) и после цикла нагрева–охлаждения (кресты и ромбы). Ширины пиков, разрешенных в исходной B2-фазе, укладываются на квадратичную зависимость, соответствующую среднему размеру ОКР Lcoh ≈ 580 Å. Ширины пиков после нагрева–охлаждения описываются квадратичной зависимостью для сверхструктурных пиков фазы D03 (Lcoh ≈ 650 Å) и линейной зависимостью для фазы B2. Значения (Δd)2 умножены на 106.
Микроструктура исходного состояния Fe3Ga, так же как Fe3Al, представляет собой матрицу B2 с распределенными в ней кластерами D03. Отличие состоит в существенно меньшей степени дефектности обеих фаз, характерные размеры ОКР которых составляют ~2500 Å. Еще одной отличительной особенностью этого сплава является однофазность равновесного состояния, полученного при скорости охлаждения 2 К/мин, представляющего структуру L12. Небольшое увеличение содержания Ga до 27 ат. % приводит к появлению заметной, вплоть до 50%, доли фазы D019 после нагрева-охлаждения сплава с той же скоростью 2 К/мин [9]. В отличие от Fe3Al, структурные переходы в Fe3Ga включают переходы 1-го рода между фазами с разным типом кристаллической решетки. Реально эти переходы являются комбинированными, включающими как сдвиговую, так и диффузионную компоненты атомных смещений. Возникающие при этом скачки объема по порядку величины сравнимы со скачком (ΔVa / Va ≈ 0.005) при переходе α-Fe → γ-Fe.
Исходное состояние литого Fe3Ge – двухфазное, L12 + D019, примерно с равными объемными долями фаз. Их структурные превращения при нагреве происходят независимо друг от друга, в областях, исходно занятых конкретными фазами. Фаза D019 переходит в неупорядоченное состояние А3 при Т ≈ 1100 К. В областях, занятых фазой L12, также возникает А3, но через промежуточное состояние А1 и при заметно меньшей температуре, Т ≈ 980 К. В отличие от опубликованных фазовых диаграмм [3, 6], предсказывающих при медленном охлаждении от 1100 К цепочку переходов A3 → D019 → L12 → D03 + B82, по нашим данным реализуется единственный переход A3 → D019, а фаза B82 присутствует постоянно, причем ее доля (~10%) практически не зависит от температуры.
Все присутствующие в Fe3Al, Fe3Ga и Fe3Ge упорядоченные структурные фазы ферромагнитны в определенной области температур. В Fe3Ga зависимость намагниченности от температуры, приведенная в [9], нерегулярна вследствие структурных переходов B2/D03 → L12 → D019 с разными TC у сменяющих друг друга фаз. Ориентационный магнитный переход в фазе D019, наблюдающийся в Fe3Ge, возможен и в Fe3Ga, но надежные экспериментальные данные для его анализа пока отсутствуют. Наибольшее TC при нагреве (920 К) зарегистрировано для фазы D019 в Fe3Ga. При охлаждении раньше остальных переходит в ферромагнитное состояние сплав Fe3Al (TC ≈ 800 K), тогда как у Fe3Ge TC почти на 200 К ниже. После охлаждения до КТ величины упорядоченных магнитных моментов примерно одинаковы у всех трех сплавов и близки к моменту чистого железа, μFe ≈ 2.2μB.
Перечисленные результаты получены в нейтронных дифракционных экспериментах с использованием режимов высокого разрешения и термо-дифрактометрического сканирования с высокой скоростью набора данных. Их важной особенностью является объемный характер получаемой информации, не искаженный поверхностными эффектами или неоднородностью структуры. Выполненные в ESRF синхротронные дифракционные эксперименты были, прежде всего, направлены на поиск тетрагональной фазы L60, образование которой в сплавах Fe-Ga рассматривается как основная причина резкого увеличения константы магнитострикции. Оказалось, однако, что в составах, близких к Fe3Ga, возможные сверхструктурные рефлексы фазы L60 полностью перекрываются с рефлексами гексагональной фазы X, впервые обнаруженной в работе [15]. Структура этой фазы пока достоверно неизвестна, хотя можно предполагать, что она похожа на структуру B82. Основанием для этого являются совпадение сингоний и хорошее соответствие уточненных параметров решетки фазы X (a ≈ 8.29 Å, c ≈ 10.14 Å) удвоенным параметрам B82 (a ≈ 4.03 Å, c ≈ 5.03 Å). Структуру B82 неоднократно обнаруживали в разных вариантах Fe-Ge-сплавов, в частности, ее подробный анализ выполнен в работе [40], где с использованием дифракции нейтронов были получены данные о дефектном составе Fe3.34Ge2.
Расчеты полной энергии фазы L60 показали [24], что она лишь немного превышает энергию фаз D03 и L12 и может образовываться и сохраняться при закалке и некоторых режимах отжига. Однако приведенные в настоящей работе и в [39] данные заставляют сделать вывод, что если L60 и присутствует, то ее доля в образце слишком мала, чтобы влиять на такое объемное свойство, как магнитострикция. Действительно, по синхротронным данным интенсивность рефлексов, которые можно было бы отождествить с рефлексами фазы L60 в Fe73Ga27, примерно в 105 раз слабее основных пиков фазы D03. То же самое относится к сплаву Fe3Al, константа магнитострикции которого почти в 10 раз превышает значение для чистого железа, но какие-либо следы L60 в нем найти не удается, в том числе с использованием дифракции электронов.
В этой связи необходимо обратить внимание на другие варианты модификации А2- или D03-структур, которые могли бы привести к увеличению константы магнитострикции сплава. Одним из возможных является формирование “B2-кластеров” (две B2-ячейки, соединенные общей гранью), в ходе которого образуются пары Ga-Ga-атомов вдоль определенных направлений в кристалле. Модельные вычисления, выполненные в работах [41, 42, 43], показали, что анизотропия, вносимая в структуру Ga–Ga-парами, может быть достаточна для объяснения повышенной магнитострикции Fe–Ga-сплавов. Об этом же свидетельствует корреляция параметров релаксации Зинера (переориентация пар Ga-Ga в поле внешних напряжений) с уровнем магнитострикции, отмеченная в работе [44] (подробнее см. обзоры [16, 45]).
Возможность образования значительной объемной доли B2-кластеров в Fe-Ga-сплавах была подтверждена результатами изучения дифракции и диффузного рассеяния рентгеновских лучей на монокристаллах Fe82Ga18 [46]. Такие же B2-кластеры с парами Al-Al были найдены при исследовании нескольких составов Fe1-x Alx с использованием мессбауэровской спектроскопии [47]. Следует также отметить, что в последнее время появились работы, в которых обращается внимание на важность учета связи атомного упорядочения сплава с динамикой магнонов для объяснения его физических свойств (см., напр., [48]). Совокупность этих сведений вместе с данными, представленными в настоящей работе, позволяет предполагать, что объяснение повышенной магнитострикции сплавов Fe-Al, Fe-Ga и Fe-Ge следует искать, не привлекая гипотезу о наличии включений фазы L60 в их кристаллической матрице.
Авторы благодарны И.А. Бобрикову за участие в нейтронных и синхротронных дифракционных экспериментах, Э.Н. Занаевой за проведение магнитных измерений и A. Босаку за подготовку и реализацию экспериментов на станции ID28 (ESRF, Grenoble).
Нейтронные дифракционные эксперименты выполнены на нейтронном источнике ИБР-2 (ОИЯИ, Дубна). Синхротронные дифракционные эксперименты выполнены на источнике ESRF (Grenoble). Работа проведена при финансовой поддержке Российского научного фонда проект № 22-42-04404 (https://rscf.ru/project/22-42-04404/, ММНИО Объединенный институт ядерных исследований, Московская обл.).
Авторы данной работы заявляют, что у них нет конфликта интересов.
1 Формально структура фазы D03 описывается в рамках ГЦК-группы, что связано с упорядочением атомов Ga.
About the authors
A. M. Balagurov
Joint Institute for Nuclear Research; National Research Technological University MISiS; Lomonosov Moscow State University
Email: kirivale@yandex.ru
Russian Federation, Dubna, 141980; Moscow, 119049; Moscow, 119991
I. S. Golovin
Joint Institute for Nuclear Research; National Research Technological University MISiS
Email: kirivale@yandex.ru
Russian Federation, Dubna, 141980; Moscow, 119049
B. Yerzhanov
Joint Institute for Nuclear Research; Kazan Federal Universit; Institute of Nuclear Physics of the Ministry of Energy of the Republic of Kazakhstan
Email: kirivale@yandex.ru
Russian Federation, Dubna, 141980; Kazan, 420008; Almaty, 050032 Kazakhstan
K. V. Kalugin
Joint Institute for Nuclear Research; Lomonosov Moscow State University
Author for correspondence.
Email: kirivale@yandex.ru
Russian Federation, Dubna, 141980; Moscow, 119991
S. V. Sumnikov
Joint Institute for Nuclear Research
Email: kirivale@yandex.ru
Russian Federation, Dubna, 141980
D. Yu. Chernyshov
SNBL at ESRF
Email: kirivale@yandex.ru
France, 71 avenue des Martyrs, Grenoble
References
- Clark A.E., Hathaway K.B., Wun-Fogle M., Restorff J.B., Lograsso T.A., Keppens V.M., Petculescu G., Taylor R.A. Extraordinary magnetoelasticity and lattice softening in bcc Fe–Ga alloys // J. Appl. Phys. 2003. V. 93. P. 8621–8623.
- Restorff J.B., Wun-Fogle M., Hathaway K.B., Clark A.E., Lograsso T.A., Petculescu G. Tetragonal magnetostriction and magnetoelastic coupling in Fe–Al, Fe–Ga, Fe–Ge, Fe–Si, Fe–Ga–Al, and Fe–Ga–Ge alloys // J. Appl. Phys. 2012. V. 111. P. 023905.
- Kubaschewski O. Iron – Binary phase diagrams. Berlin: Springer-Verlag, 1982. 160 p.
- Ikeda O., Kainuma R., Ohnuma I., Fukamichi K., Ishida K. Phase equilibria and stability of ordered BCC phases in the Fe-rich portion of the Fe–Al system // Intermetallics. 2001. V. 9. P. 755–761.
- Okamoto H. Fe–Ga (Iron-Gallium) // J. Phase Equilibria and Diffusion. 2004. V. 25. P. 100.
- Okamoto H. Fe–Ge (Iron-Germanium) // J. Phase Equilibria and Diffusion. 2008. V. 29. P. 292.
- Ikeda O., Kainuma R., Ohnuma I., Fukamichi K., Ishida K. Phase equilibria and stability of ordered b.c.c. phases in the Fe-rich portion of the Fe–Ga system // J. Alloys Compd. 2002. V. 347. P. 198–205.
- Golovin I.S., Mohamed A.K., Bobrikov I.A., Balagurov A.M. Time-Temperature-Transformation from metastable to equilibrium structure in Fe–Ga // Mater. Letters. 2020. V. 263. P. 127257.
- Golovin I.S., Mohamed A.K., Palacheva V.V., Cheverikin V.V., Pozdnyakov A.V., Korovushkin V.V., Balagurov A.M., Bobrikov I.A., Fazel N., Mouas M., Gasser J.- G., Gasser F., Tabary P., Lan Q., Kovacs A., Ostendorp S., Hubek R., Divinski S., Wilde G. Comparative study of structure and phase transitions in Fe-(25-27)%Ga alloys // J. Alloy Comp. 2019. V. 811. P. 152030.
- Balagurov A.M., Sumnikov S.V., Cifre J., Palacheva V.V., Chubov D.G., Golovin I.S. In situ study of order-disorder transitions and anelasticity in Fe-26Al alloy // J. Alloys Comp. 2023. V. 932. P. 167663.
- Balagurov A.M., Samoylova N.Yu., Sumnikov S.V., Palacheva V.V., Golovin I.S. Structural and magnetic phase transitions in Fe3Ge: A neutron diffraction study // Phys. Rev. Mat. 2023. V. 7. P. 063603.
- Golovin I.S., Balagurov A.M., Bobrikov I.A., Sumnikov S.V., Mohamed A.K. Cooling rate as a tool of tailoring structure of Fe–(9–33%)Ga alloys // Intermetallics. 2019. V. 114. P. 106610.
- Drijver J.W., Sinnema S.G., Van der Woude F. Magnetic properties of hexagonal and cubic Fe3Ge // J. Phys. F: Met. Phys. 1976. V. 6. P. 2165–2177.
- Lograsso T.A., Ross A.R., Schlagel D.L., Clark A.E., Wun-Fogle M. Structural transformation in quenched Fe–Ga alloys // J. Alloy. Comp. 2003. V. 350. P. 95–101.
- Balagurov A.M., Chernyshov D.Yu., Bosak A.А., Bobrikov I.A., Sumnikov S.V., Golovin I.S. In-grain phase separation and structural ordering in Fe-Ga alloys seen from reciprocal space // Intermetallics. 2021. V. 128. P. 107016.
- Головин И.С., Палачева В.В., Мохамед А.К., Балагуров А.М. Структура и свойства Fe–Ga сплавов – перспективных материалов для электроники // ФММ. 2020. Т. 121. № 9. С. 937–980.
- Balagurov A.M. Scientific reviews: high-resolution Fourier diffraction at the IBR-2 reactor // Neutron News. 2005. V. 16. P. 8–12.
- Балагуров А.М., Головин И.С. Рассеяние нейтронов в исследованиях функциональных сплавов на основе железа (Fe–Ga, Fe–Al) // УФН. 2021. Т. 191. № 7. С. 738–759.
- Dyadkin V., Pattison Ph., Dmitriev V., Chernyshov D. A new multipurpose diffractometer PILATUS@SNBL // J. Synchrotron Radiat. 2016. V. 23. P. 825–829.
- Girard A., Nguyen-Thanh T., Souliou S.M., Stekiel M., Morgenroth W., Paolasini L., Minelli A., Gambetti D., Winkler B., Bosak A. A new diffractometer for diffuse scattering studies on the ID28 beamline at the ESRF // J. Synchrotron Radiat. 2019. V. 26. P. 272–279.
- Rodriguez-Carvajal J. Recent advances in magnetic structure determination by neutron powder diffraction // Physica B. 1993. V. 192. P. 55–69.
- Wojdyr M. Fityk: a general-purpose peak fitting program // J. Appl. Cryst. 2010. V. 43. P. 1126–1128.
- Sears V.F. Neutron scattering lengths and cross-sections // Neutron News. 1992. V. 3(3). P. 26–37.
- Gou J., Yang T., Qiao R., Liu Y., Ma T. Formation mechanism of tetragonal nanoprecipitates in Fe–Ga alloys that dominate the material’s large magnetostriction // Scr. Mater. 2020. V. 185. P. 129–133.
- Cahn R.W. Lattice parameter changes on disordering intermetallics // Intermetallics. 1999. V. 7. P. 1089–1094.
- Balagurov A.M., Bobrikov I.A., Sumnikov S.V., Golovin I.S. Coherent cluster ordering in Fe-xAl and Fe-xGa alloys // J. Alloy and Comp. 2021. V. 895. P. 162540.
- Clark J.B., Hastie J.W., Kihlborg L.H.E., Metselaar R., Thackeray M.M. Definitions of terms relating to phase transitions of the solid state // Pure & Appl. Chem. 1994. V. 66. P. 577594.
- Balagurov A.M., Samoylova N.Yu., Golovin I.S. Diffusive and displacive phase transitions in Fe–Ga alloys // Physica B. 2024. V. 676. P. 415668.
- Ашкрофт Н., Мермин Н. ФТТ. М.: МИР, 1979.
- Новикова С.И. Тепловое расширение твердых тел. М.: Наука, 1974. 199 с.
- Liu L., Shiyou F., Liu G., Wu G., Sun X., Li J. Transmission electron microscopy study on the microstructure of Fe85Ga15 alloy // Physica B. 2005. V. 365. P. 102–108.
- Jin T., Wang H., Chen Y., Li T., Wang J., Jiang C. Evolution of nanoheterogeneities and correlative influence on magnetostriction in FeGa-based magnetostrictive alloys // Mater. Characteriz. 2022. V. 186. P. 111780.
- Xing Q., Du Y., McQueeney R.J., Lograsso T.A. Structural investigations of Fe–Ga alloys: Phase relations and magnetostrictive behavior // Acta Mat. 2008. V. 56. P. 4536–4546.
- Sumnikov S.V., Bobrikov I.A., Golovin I.S., Balagurov A.M. Bulk vs. surface structural phases in Fe–27Ga alloy // J. Alloys Comp. 2022. V. 928. P. 167116.
- Yan K., Xu Y., Niu J., Wu Y., Li Y., Gault B., Zhao S., Wang X., Li Y., Wang J., Skokov K.P., Gutfleisch O., Wu H., Jiang D., He Y., Jiang C. Unraveling the origin of local chemical ordering in Fe-based solid-solutions // Acta Mat. 2024. V. 264. P. 119583.
- He Y., Ke X., Jiang C., Miao N., Wang H., Coey J.M.D., Wang Y., Xu H. Interaction of trace rare earth dopants and nanoheterogeneities induces giant magnetostriction in Fe-Ga alloys // Adv. Funct. Mater. 2018. V. 28. P. 1800858.
- Chen B., Gong Y., Zhang Z., Lu Z., Pan S., Guo Y., Xu F. Microstructure related disparity of the magnetostriction in the 100 oriented directionally solidified Fe81Ga19 polycrystals // Scripta Mater. 2023. V. 227. P. 115296.
- Zhao X., Ke Y., Xie S., Sun M., Jiang H., Li B., Wang X. Nanoprecipitation induced giant magnetostriction: A time-resolved small-angle neutron scattering study of the vacancy-assisted kinetics // J. Mat. Science & Techn. 2025. V. 210. P. 1–9.
- Balagurov A.M., Bobrikov I.A., Chernyshov D.Yu., Sohatsky A.S., Sumnikov S.V., Yerzhanov B., Golovin I.S. Tetragonal phases in Fe-Ga alloys: A quantitative study // Phys. Rev. Mat. 2024. V. 8. P. 073604.
- Albertini F., Pareti L., Deriu A., Negri D., Calestani G., Moze O., Kennedy S.J., Sonntag R. A magnetic and structural stydy of Mn, Co, and Ni substituted Fe3Ge2 hexagonal germanides // J. Appl. Phys. 1998. V. 84. P. 401–410.
- Wu R. Origin of large magnetostriction in FeGa alloys // J. Appl. Phys. 2002. V. 91. P. 7358–7360.
- Cullen J., Zhao P., Wuttig M. Anisotropy of crystalline ferromagnets with defects // J. Appl. Phys. 2007. V. 101. P. 123922.
- Ruffoni M.P., Pascarelli S., Grössinger R., Sato Turtelli R., Bormio-Nunes C., Pettifer R.F. Direct Measurement of Intrinsic Atomic Scale Magnetostriction // Phys. Rev. Lett. 2008. V. 101. P. 147202.
- Sun M., Jiang W., Ke Y., Ge B., Wang X., Fang Q. Tetragonal dipole dominated Zener relaxation in BCC-structured Fe-17at. %Ga single crystals // Acta Mat. 2023. V. 258. P. 119245.
- Golovin I.S. Anelastic Effects in Fe–Ga and Fe–Ga-Based Alloys: A Review // Materials 2023. V. 16. P. 2365.
- Черненков Ю.П., Ершов Н.В., Лукшина В.А. Влияние отжига в ферромагнитном состоянии на структуру сплава железа с 18% галлия // ФТТ. 2019. Т. 61. № 1. С. 12–21.
- Ершов Н.В., Клейнерман Н.М., Лукшина В.А., Черненков Ю.П., Шишкин Д.А., Смирнов О.П., Семенов В.Г. Ближний порядок в неупорядоченных твердых растворах алюминия в α-железе // ФТТ. 2023. Т. 65. № 3. С. 372–385.
- Johansson G., Gorbatov O.I., Etz C. Theoretical investigation of magnons in Fe-Ga alloys // Phys. Rev. B. 2023. V. 108. P. 184410.
Supplementary files















