Electronic structure and hyperfine interactions in dichalcogenides CrxVSe2 (x ≤ 0.5)): 51V NMR study
- Authors: Utkin N.A.1,2, Kashnikova M.Е.1,2, Smolnikov A.G.1, Ogloblichev V.V.1, Piskunov Y.V.1, Sadykov A.F.1, Sherokalova E.M.2, Selezneva N.V.2, Baranov N.V.1
-
Affiliations:
- Mikheev Institute of Metal Physics, Ural Branch, Russian Academy of Sciences
- Ural Federal University named after the First President of Russia B.N. Yeltsin
- Issue: Vol 126, No 1 (2025)
- Pages: 11-22
- Section: ЭЛЕКТРИЧЕСКИЕ И МАГНИТНЫЕ СВОЙСТВА
- URL: https://ogarev-online.ru/0015-3230/article/view/288512
- DOI: https://doi.org/10.31857/S0015323025010027
- EDN: https://elibrary.ru/CAIDXR
- ID: 288512
Cite item
Abstract
A systematic study of the electronic structure of chromium-intercalated vanadium dichalcogenide CrxVSe2 (x ≤ 0.5) was performed using X-ray diffractometry, magnetometry and nuclear magnetic resonance (NMR) spectroscopy on 51V nuclei. The values of the components of the magnetic shift tensors and the electric field gradient at the location of vanadium nuclei are determined. When chromium ions are introduced into the VSe2 matrix, the NMR spectrum on 51V nuclei widens significantly, the fine structure disappears, and the line shift changes its sign relative to the diamagnetic point. Significant local charge and spin heterogeneity of intercalated compounds has been revealed. It was found that the overlap of 3d, 4s shells of vanadium ions and chromium orbitals leads to the appearance of a positive hyperfine field induced by the magnetic moments of chromium on vanadium nuclei. Estimates of the hyperfine interaction constants on vanadium ions are made from the temperature dependences of the NMR line shift and susceptibility in CrxVSe2 (x ≤ 0.5). In CrxVSe2 compounds (0.1 ≤ x ≤ 0.5), signs of the formation of a superstructure of chromium ion positions in the ab plane were found.
Full Text
ВВЕДЕНИЕ
В настоящее время слоистые дихалькогениды переходных элементов являются предметом многочисленных научных исследований в связи с разнообразием физических и физико-химических свойств материалов на основе этих соединений. Дихалькогениды имеют квазидвумерную кристаллическую структуру, что является следствием слабой Ван-дер-Ваальсовой связи между трехслойными блоками X–Ме–X (где Х - халькоген, Me - металл IV, V групп) [1–5]. Между блоками могут быть интеркалированы атомы различных элементов. Физические свойства полученных таким путем материалов существенно отличаются от свойств исходных дихалькогенидов и демонстрируют сильную зависимость как от типа, так и концентрации интеркалированных атомов [4, 6–11].
Одним из ярких представителей такого рода соединений является дихалькогенид ванадия VSe2. Соединение VSe2 достаточно хорошо изучено, интерес к нему обусловлен наличием фазовых переходов при низких температурах, приводящих к возникновению волн зарядовой плотности (ВЗП) в кристаллической структуре образца [5, 12–17]. При температурах выше перехода в состояния с ВЗП 1T–VSe2 имеет смешанную металлическую проводимость, связанную с сильно гибридизированными s–p–d-зонами [17–19].
В работах [20, 21] подробно методами фотоэмиссии и сканирующей туннельной микроскопии исследована интеркаляция атомами Na, Cs и К. Щелочной металл Na является эффективной легирующей добавкой в качестве донора электронов со сравнительно небольшим ионным радиусом, что упрощает процесс интеркаляции при сохранении структуры основной матрицы. В результате было показано, что валентные зоны исходной матрицы VSe2 имеют трехмерный характер, а интеркаляция щелочными ионами Na, K и Cs вызывает переход от трехмерного к двумерному характеру, что в значительной степени объясняется переносом заряда в решетку матрицы и разъединением слоев VSe2. Более того, выяснено, что ионы интеркалированного натрия неравномерно распределяются между слоями VSe2. Ионы Na образуют острова или “двумерные кластеры”, разделяющие поверхностную область на интеркалированные и неинтеркалированные области.
Согласно расчетам из первых принципов, в электронной структуре VSe2 доминируют 3d-орбитали ванадия, а орбитальное разложение показывает, что пик, пересекающий уровень Ферми, в основном образован dz2-состояними ванадия [4, 14, 19, 22]. Представленные результаты согласуются с тригональным антипризматическим расщеплением кристаллического поля в местах расположения ионов ванадия. Распределение электронной плотности по различным 3d-орбиталям, рассчитанное в работе [11], предсказывает почти полную взаимную компенсацию анизотропных вкладов в сверхтонкое поле на ядрах ванадия и изотропное поведение магнитного сдвига линии ЯМР 51V. Также ожидается, что dz2-состояния, пересекающие уровень Ферми, будут весьма чувствительны к межслоевым взаимодействиям из-за ее вытянутой орбитальной формы вдоль направления вне плоскости. Поэтому интеркаляция легирующих примесей окажет влияние на состояния вблизи уровня Ферми. Так, например, расчеты из первых принципов указывают на значительный перенос заряда между атомами натрия и слоем VSe2, что приводит к ослаблению межслоевой связи. Кроме того, уровни 3dz2-электронов в легированном VSe2 смещаются в область энергий ниже уровня Ферми.
Позднее исследовательский интерес к интеркаляции VSe2 щелочными металлами был подогрет перспективами использования в натрий-калий-ионных аккумуляторах [23]. Благодаря присущей VSe2 металлической проводимости были продемонстрированы улучшенные характеристики хранения натрия/калия, а также сверхстабильность материалов при цикловании.
Менее подробно в научной литературе освещены соединения VSe2, интеркалированные магнитными ионами (рис. 1). Так, в работах [24, 25] проведено исследование структурных характеристик, электрических и магнитных свойств на образцах диселенида ванадия, интеркалированного атомами хрома. Структурные исследования показали понижение симметрии кристаллической решетки от гексагональной до моноклинной при возрастании концентрации интеркалированных атомов, вызванное их упорядочением в Ван-дер-Ваальсовой щели. Значения эффективных магнитных моментов ионов хрома в CrxVSe2 уменьшаются по сравнению со спиновыми характеристиками по мере увеличения содержания хрома, и их изменение коррелирует с концентрационной зависимостью параметра с элементарной ячейки. Показано, что при температурах ниже 30 К для составов x > 0.2 происходит переход соединений в состояние спинового стекла.
Рис. 1. Кристаллическая 1T-структура соединения VSe2. Сплошной жирной линией показана базисная элементарная ячейка. Стрелками показаны области интеркаляции ионов хрома.
В отличие от хорошо изученного соединения VSe2, в литературе имеется довольно мало данных об особенностях электронной структуры и распределения плотности заряда и спина в интеркалированных атомами Cr соединениях CrxVSe2 на основе диселенида ванадия. Принимая во внимание, что данное соединение является близким к ранее системно изученным нами соединениям CrxNbSe2 [8, 26–28], то важно исследовать закономерности свойств и упорядочений интернализованных соединений с разными матрицами.
ОБРАЗЦЫ И МЕТОДЫ ИССЛЕДОВАНИЯ
Поликристаллические образцы представляли собой спеченные прессованные таблетки мелкозернистых порошков. Синтез соединений осуществляли методом твердофазного ампульного синтеза. Для приготовления образцов CrxVSe2 (0 ≤ x ≤ 0.5) использована двухстадийная технология. На первой стадии готовили матрицу VSe2, на второй – интеркалированное соединение CrxVSe2. Исходными материалами были гранулированный селен (Se) марки ОСЧ 22-4 (чистота 99.9996%), хром (Cr) металлический в пластинках (чистота 99.95%), ванадий (V) металлический электролитический марки ВЭЛ-1 (чистота 99.95%). Детали синтеза и структурные параметры соединения аналогичны приведенным в [24, 29].
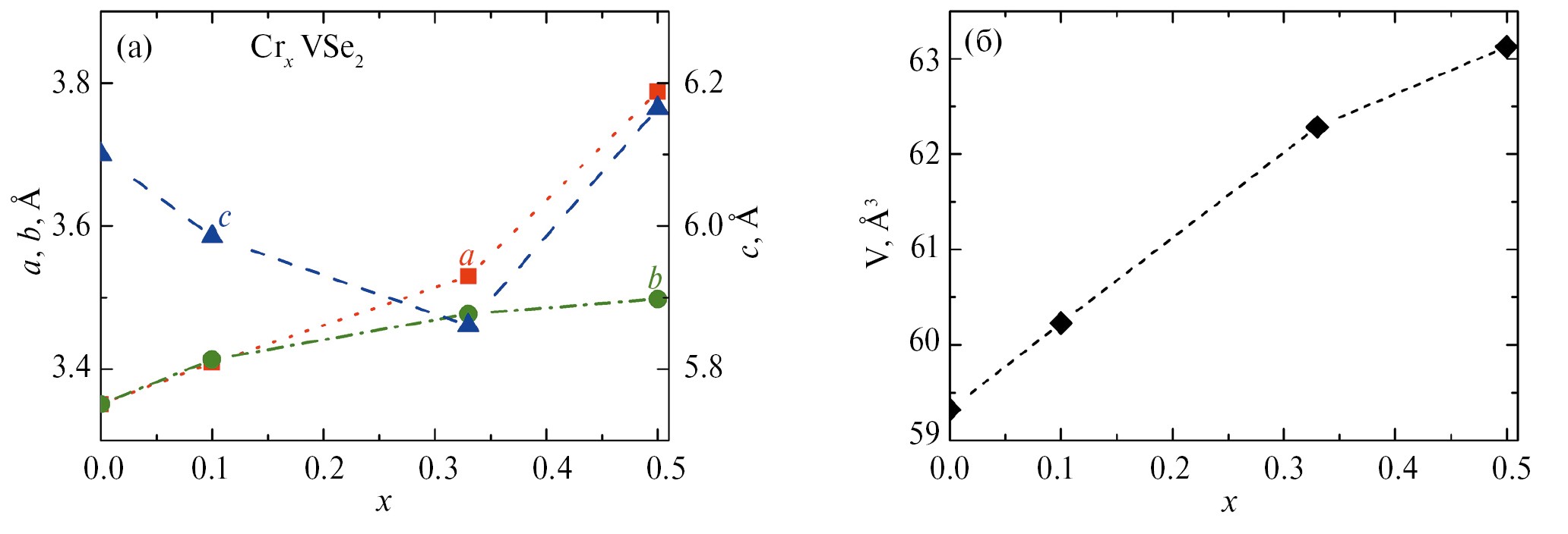
Рентгенографическая аттестация полученных образцов проведена на дифрактометре Bruker D8 ADVANCE в CuKα-излучении. Уточнение структуры и определение структурных параметров выполнено в программном пакете FullProf. Рентгеноструктурный анализ поликристаллического образца VSe2 показал, что соединение имеет слоистую тригональную кристаллическую структуру и описывается пространственной группой Pm1 с параметрами элементарной ячейки а0 = 3.350(9) Å, с0= 6.100(2) Å (α = β = 90°, γ = 120°). Данные значения хорошо согласуются с ранее полученными результатами в работах [24, 29]. На рис. 2 представлено поведение параметров a, b, c и объема элементарной ячейки в соединении CrxVSe2 в зависимости от концентрации ионов хрома x.
Рис. 2. (а) Поведение параметров a, b, c и (б) объема элементарной ячейки в соединениях CrxVSe2 в зависимости от концентрации ионов хрома x при комнатной температуре.
Соединение Cr0.1VSe2 изоструктурно матрице VSe2 имеет тригональную кристаллическую структуру, и рентгенограмма также обрабатывается в тригональной сингонии с пространственной группой Pm1. Выяснено, что при увеличении концентрации до х = 0.33, 0.5 в подсистеме интеркалированных атомов хрома формируются упорядочения типа и соответственно. В соединении Cr0.5VSe2 наблюдается не более 2% оксида ванадия V2O3, в других исследуемых соединениях не было обнаружено никаких посторонних фаз.
Исследования восприимчивости образцов выполнены на установке MPMS (Quantum Design, USA) в интервале температур от 2 K до 330 K.
Измерения ЯМР на ядрах 51V проводили на импульсном спектрометре во внешнем магнитном поле H0 = 92.8 кЭ в диапазоне температур от 20 до 300 K. Для исключения ЯМР-сигналов от металлической меди использована резонансная катушка из серебра. ЯМР-спектры на ядрах 51V получены с использованием стандартной методики спинового эха p – tdel – 2p – tdel – echo. Длительность первого импульса выбирали p = 1 мкс, мощность радиочастотного усилителя – N = 300 Вт. Задержка между импульсами tdel = 20 мкс. Спектры ЯМР на ядрах 51V, представленные в работе, являются суммой фурье-преобразований полученных echo-сигналов, накопленных в требуемом частотном диапазоне с шагом Dn = 100 кГц. Для моделирования спектров ЯМР использована оригинальная программа “Simul” [30], позволяющая численно рассчитывать форму линии на основе полного гамильтониана ядерной системы с учетом зеемановского и квадрупольного вкладов [31, 32]. Сдвиги линий ЯМР на ядрах 51V, К = (ν – ν0) × 100 / ν0, определяли относительно ν0 = 51γН0.
РЕЗУЛЬТАТЫ И ОБСУЖДЕНИЕ
Характерный спектр ЯМР-ядер 51V в исходном поликристаллическом образце-матрице VSe2, полученный при T = 150 K во внешнем магнитном поле H0 = 92.8 кЭ, представлен на рис. 3. Ядро изотопа 51V обладает спином 51I = 7/2 и электрическим квадрупольным моментом e51Q = –0.0515 × 10–24 см2. В этом случае ЯМР-спектр представляет собой набор из 2I = 7 линий, одна из которых соответствует центральному переходу m –1/2 ↔ +1/2, а шесть других – сателлитным переходам m ± 3/2 ↔ ± 1/2, m ± 5/2 ↔ ± 3/2, m ± 7/2 ↔ ± 5/2. Такая структура спектра обусловлена взаимодействием квадрупольного момента ядра с градиентом электрического поля (ГЭП), создаваемым в месте расположения ядер их зарядовым окружением [12, 15, 16, 31, 32]. При моделировании спектра ЯМР 51V при комнатной температуре были получены значения квадрупольной частоты νQ = 364(1) кГц и параметра асимметрии η = 0.05(5), которые определяют тензор ГЭП в VSe2. Как видно из рис. 3, экспериментальный спектр удовлетворительно описывается одной линией с одним набором параметров, что свидетельствует об эквивалентности всех позиций ядер ванадия в структуре. На вставке рис. 3 представлена зависимость квадрупольной частоты νQ от температуры. Видно, что в температурном диапазоне от 300 K до 100 K происходит незначительный рост νQ, что, по-видимому, связано с уменьшением как тепловых флуктуаций атомов, так и межатомных расстояний.
Рис. 3. Спектр ЯМР на ядрах 51V в VSe2 во внешнем магнитном поле H0 = 92.8 кЭ при температуре Т = 150 K. Штриховая линия (красный цвет) – моделирование экспериментального спектра ЯМР одной линией. На вставке – зависимость квадрупольной частоты νQ ванадия от температуры в VSe2.
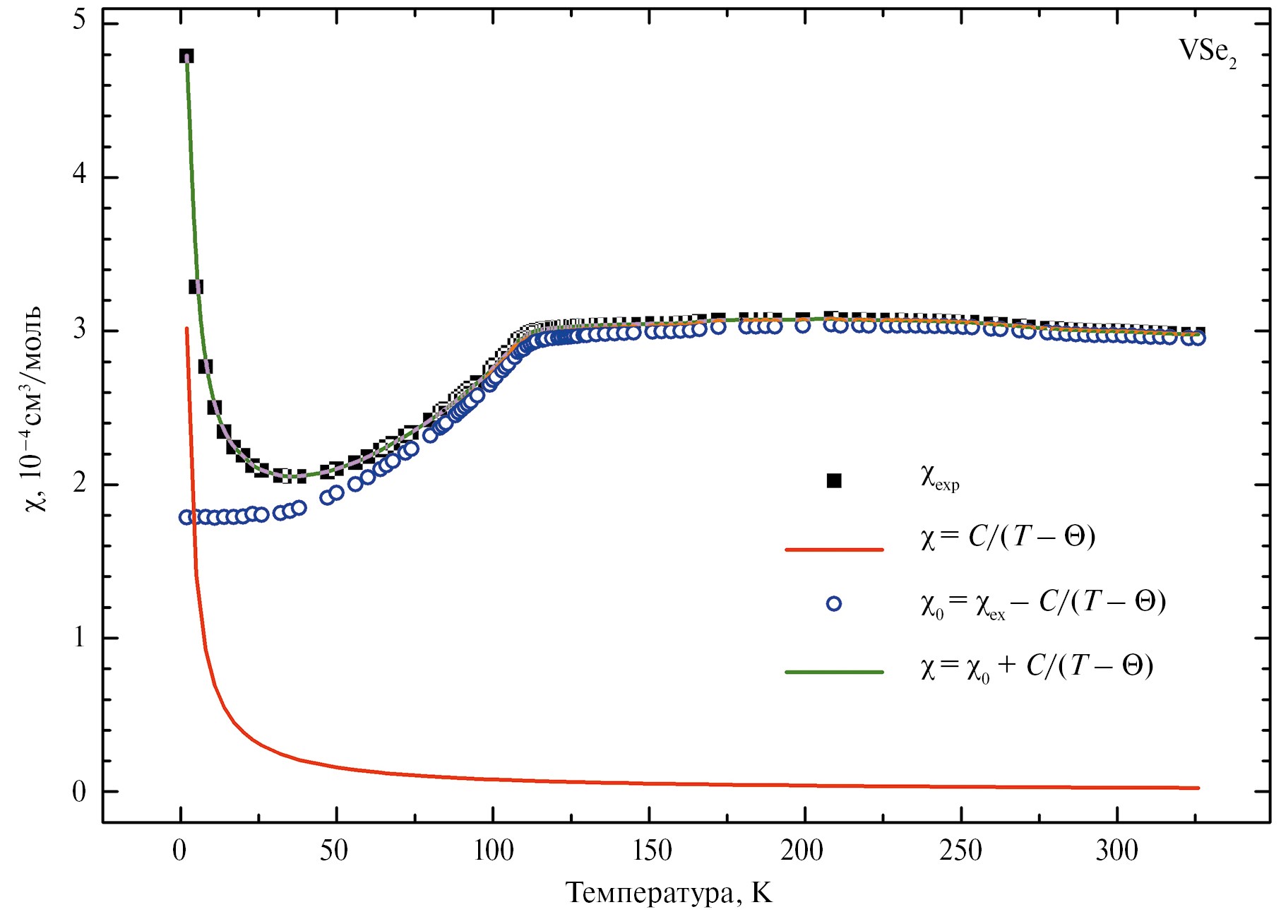
На рис. 4 представлена температурная зависимость магнитной восприимчивости χ (Т) для VSe2. В области Т < 110 K наблюдается резкий спад восприимчивости, что связано с формированием волны зарядовой плотности и быстрый рост χ (Т) ниже Т < 25 K.
Рис. 4. Зависимость магнитной восприимчивости VSe2 от температуры и аппроксимация низкотемпературной части данных зависимостью Кюри–Вейса.
Подобное поведение магнитной восприимчивости детально обсуждается в работах [12, 16, 17, 33].
Следует отметить, что в структуре VSe2 возможны процессы самоинтеркаляции или выхода ионов ванадия из регулярной решетки в межслойные позиции с образованием вакансий. Связано это с тем, что октаэдры из ионов селена структурно эквиваленты как внутри слоя, так и между слоями. Предыдущие магнитные исследования VSe2 показали, что избыточные атомы V, интеркалированные между слоями, обладают локализованными магнитными моментами μ = 2.5μB [33]. Следуя рассуждениям работы [12, 17], можно получить оценки количества ионов ванадия, попадающих между слоями VSe2. Это можно сделать, используя температурную зависимость восприимчивости χ (Т) ниже Т = 25 K, которая хорошо описывается законом Кюри–Вейса:
, (1)
где C – постоянная Кюри, c0 – независимая от температуры восприимчивость слоев VSe2.
Согласно расчетам зонной структуры [19, 34], зона проводимости VSe2 образована в основном d-состояниями. Отрицательный сдвиг линии ЯМР на ядрах 51V (51К < 0), как будет показано ниже, также свидетельствует о наличии 3d-состояний иона ванадия на уровне Ферми. Следовательно, основными вкладами в χ0 являются d-спиновая (χd) и d-орбитальная (χorb) восприимчивости, а также диамагнитная восприимчивость ионных остовов (χdia):
. (2)
Аппроксимация экспериментальных данных законом Кюри–Вейса в диапазоне от 4.2 до 25 K при постоянной величине c0, позволила получить константу C = 7.8 × 10–4 см3K/моль. Используя это значение и предполагая, что магнитный момент атома ванадия μ = 2.5μB [33], мы оценили концентрацию междоузельных атомов V, которая в нашем образце составила 0.001.
Учитывая, что спектр ЯМР-ядер ванадия описывается одной линией, а концентрация межслоевых ионов ванадия составляет всего около 0.1%, можно сделать вывод о том, что ЯМР-эксперимент дает информацию об электронном состоянии ионов ванадия только в основной матрице VSe2. Этот факт мы будем учитывать при дальнейшем обсуждении результатов исследования интеркалированных хромом соединений CrxVSe2 (x ≤ 0.5). Температурная зависимость χ (Т), полученная путем вычитания вклада Кюри–Вейса из экспериментальных данных, также показана на рис. 4. Единственный член в χ (Т), который, как ожидается, будет сильно зависеть от температуры, - это спиновая восприимчивость χd, пропорциональная в первом приближении плотности состояний на уровне Ферми N (EF). Следовательно, уменьшение c0 ниже 110 K можно объяснить уменьшением N (EF) при фазовом переходе в состояние волны зарядовой плотности.
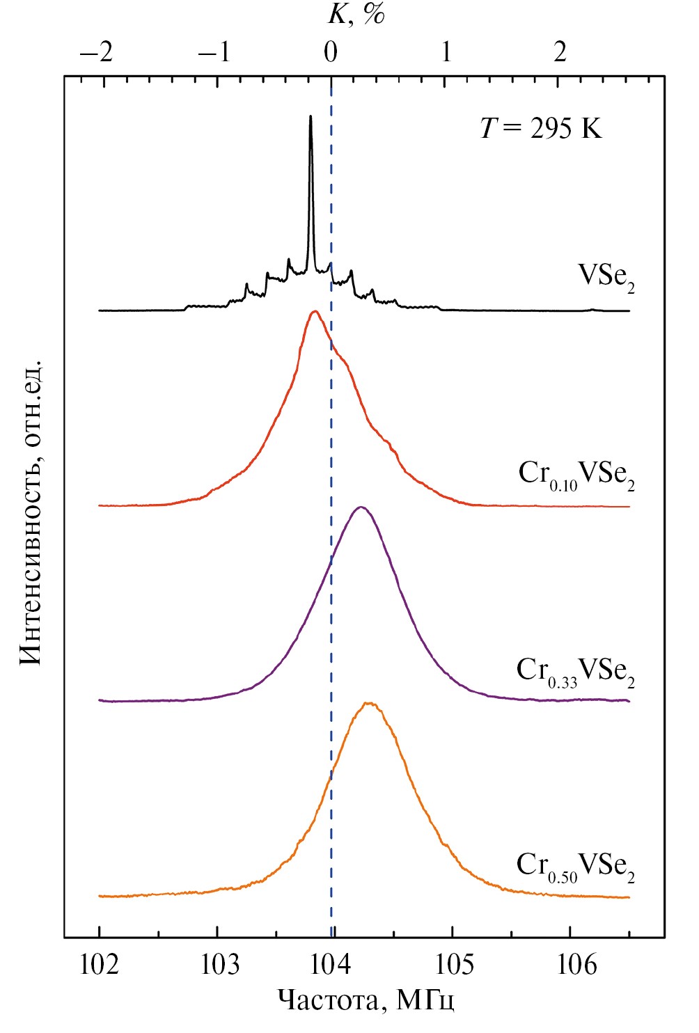
На рис. 5 представлены характерные спектры ЯМР-ядер 51V при комнатной температуре для соединений CrxVSe2 (x ≤ 0.5). Видно, что при внедрении ионов хрома в матрицу VSe2 тонкая структура спектра ЯМР исчезает, линия ЯМР значительно уширяется, а средний сдвиг линий К (Т) изменяется от отрицательных к положительным значениям. Очевидно, что такие существенные изменения в спектрах ЯМР свидетельствуют о появлении локальных неоднородностей, как зарядовых, так и магнитных, возникающих из-за внедрения ионов хрома. Каждый спектр ЯМР на ядрах 51V в температурном диапазоне 20 K ≤ Т ≤ 300 K удовлетворительно описывается линией гауссовой формы.
Рис. 5. Спектры ЯМР на ядрах 51V в CrxVSe2 (x = 0; 0.10; 0.33; 0.50) во внешнем магнитном поле H0 = 92.8 кЭ при температуре Т = 295 K.
Температурные зависимости полуширины на половине высоты δ (Т) спектров ЯМР на ядрах 51V и сдвига линии К (Т) представлены на рис. 6 и рис. 7. Появление экспоненциального поведения δ (Т) и сдвига линии К (Т) связано со спиновым магнетизмом ионов Cr в структуре CrxVSe2 (x ≤ 0.5).
Рис. 6. Зависимость полуширины на половине высоты спектра ЯМР на ядрах 51V в CrxVSe2 (x = 0; 0.10; 0.33; 0.50) от температуры. На вставке показана измеряемая величина.
Рис. 7. Зависимость сдвига линии ЯМР на ядрах 51V в CrxVSe2 (x = 0; 0.10; 0.33; 0.50) от температуры.
В нашей работе [26] из эволюции спектров ЯМР на ядрах 93Nb в парамагнитной области составов CrxNbSe2 (x ≤ 0.5) было показано, что спектры четко разделяются на три линии с разными сдвигами и квадрупольными параметрами взаимодействия. Анализ спектров ЯМР на ядрах 93Nb позволил обнаружить наличие в CrxNbSe2 трех магнитно-неэквивалентных позиций ниобия, в ближайшем окружении которых находятся соответственно 0, 1 и 2 иона хрома. В системе CrxVSe2 четкого разделения спектров ЯМР на ядрах 51V на отдельные линии не наблюдается. Это свидетельствует о том, что в системе CrxVSe2 имеется существенный локальный магнитный беспорядок. С другой стороны, спектры 51V представляют собой практически гауссово распределение во всем температурном диапазоне (20 K ≤ Т ≤ 300 K). Это свидетельствует о том, что все ионы ванадия в структуре находятся в достаточно близком электронном состоянии т. е. электронная плотность распределена равномерно независимо от концентрации ионов хрома.
Задачу по определению магнитного состояния ионов хрома можно решить с помощью методов ЯМР на ядрах 53Cr в локальном магнитном поле при низких температурах. По данным магнитометрии в CrxVSe2 (0.1 ≤ x ≤ 0.5) наблюдаются переходы в состояние спинового или кластерного стекла. Однако частоту ЯМР на ядрах 53Cr в локальном магнитном поле в месте расположения ядра ожидали в диапазоне 20–70 МГц. Просканировав этот диапазон частот, характерный для магнитных ионов хрома [27, 35, 36], зарегистрировать ЯМР-сигнал не удалось. Хорошо известно, что наблюдение магнитного резонанса на ядрах магнитного иона обычно затрудняется очень короткими временами спин-спиновой релаксации. В случае с хромом дополнительным фактором, усложняющим регистрацию сигнала ЯМР, является малое природное содержанием ЯМР-изотопа 53Cr (9.5%).
При T > TC сдвиг линии ЯМР имеет вид К = К0 + СNMR / (T – θ), где К0, СNMR, θ – константы, т. е. содержит вклад Кюри–Вейса. Магнитный сдвиг линии ЯМР на ядрах 51V К (T) в CrxVSe2 можно записать в виде трех наибольших вкладов:
. (3)
Первое слагаемое в выражении (3) представляет собой вклад от электронов проводимости. Здесь Hс и Hcp – изотропные константы контактного фермиевского взаимодействия и поляризации остова соответственно. Контактный вклад в сверхтонкое взаимодействие (СТВ) Hc обусловлен взаимодействием ядерного спина с валентными s-электронами. Он является положительным и существенен, как правило, в металлах. Слагаемое Hcp описывает СТВ, обусловленное поляризацией заполненных s-оболочек иона неспаренными d-электронами. Этот вклад изотропен и, за редкими исключениями, отрицателен [37]. χs – независящая от температуры паулиевская спиновая восприимчивость электронов проводимости. Второй вклад, орбитальный Кorb, сдвиг обусловлен ван-флековским парамагнетизмом валентных d-электронов иона. Он возникает вследствие частичного размораживания орбитального момента во внешнем магнитном поле, не зависит от температуры и является положительным. Наконец, третье слагаемое в (3) обусловлено локализованными магнитными моментами (ЛММ) d-электронов хрома. Этот вклад индуцируется магнитным полем, наводимым на ядра ванадия от ЛММ соседних ионов Cr. Данный вклад можно записать в виде: , где Htr – наведенное сверхтонкое поле (СТП) от соседних ионов хрома. Главным образом оно определяется степенью перекрытия d-орбиталей хрома с орбиталями соседних ионов ванадия.
Таким образом, мы можем представить сдвиг K (T) в виде зависящей и независящей от температуры частей:
, (4)
где K0 = Ks + Korb.
В свою очередь, однородная магнитная восприимчивость χ (T) также состоит из двух основных слагаемых: зависящей от температуры по закону Кюри–Вейса спиновой восприимчивости и независящей от температуры χ0 = χs + χorb:
. (5)
Используя выражения (4) и (5), можно получить зависимость сдвига К (Т) от χ (Т) с температурой в качестве параметра:
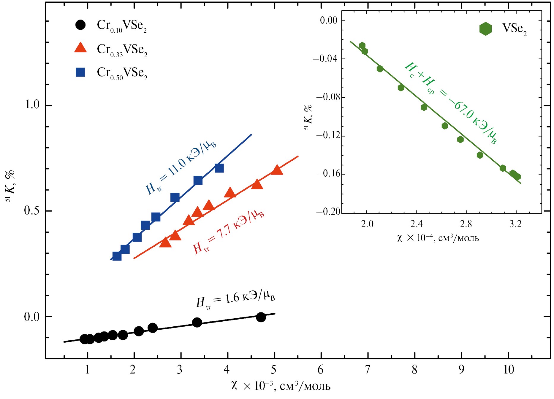
. (6)
Такие параметрические зависимости К (χ) для образцов CrxVSe2 (x ≤ 0.5) представлены на рис. 8. Как видим, данные зависимости хорошо обрабатываются прямыми линиями. Тогда СТП можно легко вычислить по тангенсам углов, образуемых этими линиями с осью абсцисс. Значения сверхтонкого поля, наведенного от хрома на атомах ванадия, составляют Htr (x = 0.1) = 1.6 кЭ/μB, Htr (x = 0.33) = 7.7 кЭ/μB, Htr (x = 0.5) = 11.0 кЭ/μB.
Рис. 8. Зависимость сдвига линии ЯМР К на ядрах 51V в CrxVSe2 (x = 0.10; 0.33; 0.50) от магнитной восприимчивости χ. Прямые линии – результат аппроксимации данных функцией (4). На вставке показана K–χ-диаграмма для исходного состава VSe2.
Что касается исходного состава VSe2, здесь ситуация немного другая. Для него в выражении (3) отсутствует третий вклад, но вследствие возникновения ВЗП-состояния вклад Ks = (Hc + Hcp) χs становится зависимым от температуры ниже 100 К. В этом случае параметрическая зависимость (5) приобретет следующий вид:
. (7)
Данная зависимость представлена на вставке рис. 8. Аппроксимация этой зависимости прямой линией дает для суммы Hc + Hcp значение –67(2) кЭ/mB. Отрицательное значение этой суммы свидетельствует о том, что вклад в СТП на ядрах ванадия в VSe2 от поляризации остова превалирует над вкладом от валентных 4s-электронов этого иона.
При интеркалировании ионами хрома в исходную систему VSe2 добавляются дополнительные электроны. Так, для состава x = 0.1 это n = 0.3 электрона на формульную единицу, n = 0.99 для состава x = 0.33 и n = 1.5 для состава x = 0.5. Т. е. происходит электронное допирование матричных VSe2-слоев. В системе CrxVSe2 все электронные оболочки ионов Se2+ заполнены (3d104s24p6), и они не могут приобретать дополнительные электроны. Поэтому для выполнения условия электронейтральности ионы ванадия в CrxVSe2 приобретают эффективную дробную валентность V(4-n)+. Действительно, хорошо известно, что ион ванадия в материалах может иметь несколько химических валентных состояний V5+ V4+, V3+, V2+ (от 3d 04s0 до 3d 34s0). Мы полагаем, что все допированные в матрицу электроны попадают в зону проводимости, т. е. остаются делокализованными. В противном случае, если бы они локализовывались в 3d-орбиталях ванадия, при электронном допировании наблюдали бы дополнительный сдвиг линии ЯМР 51V в область отрицательных значений (локализованные d-электроны увеличивают отрицательный вклад поляризации остова в СТП). В действительности ситуация обратная: с ростом x сдвиг линии ЯМР К становится положительным. Как видно из рис. 7, при интеркаляции VSe2 хромом в зависимости сдвига K(T) появляется значительный вклад Кюри–Вейса. Данный вклад может быть обусловлен наведенным магнитным полем от локализованных магнитных моментов хрома вследствие перекрытия d-орбиталей ионов Cr3+ с орбиталями ионов ванадия. При этом перекрытие со свободной 4s-оболочкой приведет к положительному сдвигу, а перекрытие с 3d-орбиталью – к отрицательному. Таким образом, для объяснения возникновения дополнительного положительного сдвига линии ЯМР на ядрах 51V при интеркаляции VSe2 хромом мы должны предположить, что в образовании связи V–Cr участвуют помимо 3d-орбиталей еще и 4s-орбитали ионов ванадия. Мы, к сожалению, не можем оценить степень перекрытия 3d-орбиталей Cr с 3d- и 4s-орбиталями V, поскольку, как уже упоминали выше, эти перекрытия дают разные знаки для магнитных полей, индуцируемых на ядрах ванадия, т. е. эти поля частично компенсируют друг друга. Степень перекрытия может быть достаточно высокой, подобной той, которая имеет место в родственной системе CrxNbSe2 [26–28, 38].
Ниже критической температуры формируется состояние типа спинового или кластерного стекла [24]. Отсутствие дальнего магнитного порядка в соединениях CrxVSe2 отличает их от ряда других подобных систем, интеркалированных хромом. В частности, такой как CrxTiSe2, в которой при x > 0.33 реализуется антиферромагнитный порядок [39]. Также от соединений Cr0.33NbSe2 и Cr0.65TiTe2, в которых наблюдается ферромагнитное упорядочение магнитных моментов хрома [8, 24]. Причиной этого может являться различие в степени гибридизации орбиталей Cr и переходного металла в матрице и, как следствие, в степени локализации 3d-электронных состояний хрома. В свою очередь, степень гибридизации зависит от расстояний между матричными слоями. Поэтому можно утверждать, что в формировании магнитного состояния интеркалированных соединений главенствующая роль принадлежит соединению-матрице.
ЗАКЛЮЧЕНИЕ
Впервые выполнено ЯМР-исследование CrxVSe2 (x ≤ 0.5) в парамагнитном состоянии при использовании в качестве ЯМР-зондов ядер 51V. Определены значения компонент тензоров магнитного сдвига и градиента электрического поля в месте расположения ядер ванадия в матрице VSe2. При внедрении ионов хрома в структуру VSe2 спектр ЯМР уширяется, тонкая структура исчезает, а сдвиг линии ЯМР на ядрах 51V меняет свой знак относительно диамагнитной точки.
Показана существенная локальная зарядовая и спиновая неоднородность интеркалированных соединений. Выявлено наличие ненулевого положительного наведенного от 3d-электронов хрома сверхтонкого поля на ядрах ванадия, что свидетельствует о перекрытии 3d- и 4s-оболочек ионов ванадия с орбиталями магнитного иона.
Анализ спектров ЯМР на ядрах 51V не обнаруживает наличие в CrxVSe2 трех магнитно-неэквивалентных позиций ванадия, как это наблюдали в системе CrxNbSe2 на ядрах 93Nb. В соединениях CrxVSe2 (0.1 ≤ x ≤ 0.5) обнаружены признаки формирования сверхструктуры позиций ионов хрома в плоскости ab.
Исследование выполнено за счет гранта Российского научного фонда (проект № 22-12-00220, https://rscf.ru/project/22-12-00220/, ФГБУН Институт физики металлов имени М.Н. Михеева УрО РАН, Свердловская обл.). Работа выполнена с использованием оборудования ЦКП “Испытательный центр нанотехнологий и перспективных материалов” и “Отдел криогенных технологий” ИФМ УрО РАН.
Авторы данной работы заявляют, что у них нет конфликта интересов.
About the authors
N. A. Utkin
Mikheev Institute of Metal Physics, Ural Branch, Russian Academy of Sciences; Ural Federal University named after the First President of Russia B.N. Yeltsin
Email: smolnikov@imp.uran.ru
Russian Federation, Ekaterinburg, 620108; Ekaterinburg, 620002
M. Е. Kashnikova
Mikheev Institute of Metal Physics, Ural Branch, Russian Academy of Sciences; Ural Federal University named after the First President of Russia B.N. Yeltsin
Email: smolnikov@imp.uran.ru
Russian Federation, Ekaterinburg, 620108; Ekaterinburg, 620002
A. G. Smolnikov
Mikheev Institute of Metal Physics, Ural Branch, Russian Academy of Sciences
Author for correspondence.
Email: smolnikov@imp.uran.ru
Russian Federation, Ekaterinburg, 620108
V. V. Ogloblichev
Mikheev Institute of Metal Physics, Ural Branch, Russian Academy of Sciences
Email: smolnikov@imp.uran.ru
Russian Federation, Ekaterinburg, 620108
Yu. V. Piskunov
Mikheev Institute of Metal Physics, Ural Branch, Russian Academy of Sciences
Email: smolnikov@imp.uran.ru
Russian Federation, Ekaterinburg, 620108
A. F. Sadykov
Mikheev Institute of Metal Physics, Ural Branch, Russian Academy of Sciences
Email: smolnikov@imp.uran.ru
Russian Federation, Ekaterinburg, 620108
E. M. Sherokalova
Ural Federal University named after the First President of Russia B.N. Yeltsin
Email: smolnikov@imp.uran.ru
Russian Federation, Ekaterinburg, 620002
N. V. Selezneva
Ural Federal University named after the First President of Russia B.N. Yeltsin
Email: smolnikov@imp.uran.ru
Russian Federation, Ekaterinburg, 620002
N. V. Baranov
Mikheev Institute of Metal Physics, Ural Branch, Russian Academy of Sciences
Email: smolnikov@imp.uran.ru
Russian Federation, Ekaterinburg, 620108
References
- Choi W., Choudhary N., Han G.H., Park J., Akinwande D., Lee Y.H. Recent development of two-dimensional transition metal dichalcogenides and their applications // Mater. Today. 2017. V. 20. P. 116–130.
- Чернозатонский Л.А., Артюх А.А. Квазидвумерные дихалькогениды переходных металлов: структура, синтез, свойства и применение // Успехи физ. наук. 2018. Т. 188. С. 3–30.
- Yang J., Wang W., Liu Y., Du H., Ning W., Zheng G., Jin C., Han Y., Wang N., Yang Z., Tian M., Zhang Y. Thickness dependence of the charge-density-wave transition temperature in VSe2 // Appl. Phys. Letters. 2014. V. 105. P. 063109.
- Wiegers G.A. Physical properties of first-row transition metal dichalcogenides and their intercalates // Physica B+C. 1980. V. 99. P. 151–165.
- Sutar P., Grabnar D., Vengust D., Svetin D., Goreshnik E., Mihailovic D., Mertelj T. Photo-induced collective charge-density-wave dynamics in bulk 1T-VSe2 // APL Mater. 2024. V. 12. P. 071107.
- Bulaevskiǐ L.N. Superconductivity and electronic properties of layered compounds // Soviet Physics Uspekhi. 1975. V. 18. P. 514.
- Баранов Н.В., Васьковский В.О., Иванов О.А., Катаев В.А., Курляндская Г.В. Магнетизм наносистем на основе редкоземельных и 3d-переходных металлов. Екатеринбург: Изд-во Уральского ун-та, 2008. 277 с.
- Toporova N.M., Sherokalova E.M., Selezneva N.V., Ogloblichev V.V., Baranov N.V. Crystal structure, properties and griffiths-like phase in niobium diselenide intercalated with chromium // J. Alloys Compounds. 2020. V. 848. P. 156534.
- Selezneva N.V., Sherokalova E.M., Pleshchev V.G., Kazantsev V.A., Baranov N.V. Suppression and inducement of the charge-density-wave state in CrxTiSe2 // J. Phys.: Condensed Matter. 2016. V. 28. P. 315401.
- Gubkin A.F., Proskurina E.P., Kousaka Y., Sherokalova E.M., Selezneva N.V., Miao P., Lee S., Zhang J., Ishikawa Y., Torii S., Kamiyama T., Campo J., Akimitsu J., Baranov N.V. Crystal and magnetic structures of Cr1∕3NbSe2 from neutron diffraction // J. Appl. Phys. 2016. V. 119. P. 013903.
- Kaul A.B. Two-dimensional layered materials: Structure, properties, and prospects for device applications // J. Mater. Research. 2014. V. 29. P. 348–361.
- Skripov A.V., Stepanov A.P., Shevchenko A.D., Kovalyuk Z.D. NMR study of the charge-density-wave state in VSe2 // Phys. Stat. Sol. (B). 1983. V. 119. P. 401–410.
- Pushkarev G.V., Mazurenko V.G., Mazurenko V.V., Boukhvalov D.W. Structural phase transitions in VSe2: energetics, electronic structure and magnetism // Phys. Chem. Chem. Phys. 2019. V. 21. P. 22647–22653.
- Chazarin U., Lezoualc'h M., Chou J.-P., Pai W.W., Karn A., Sankar R., Chacon C.C., Girard Y., Repain V., Bellec A., Rousset S., Smogunov A., Dappe Y.J., Lagoute J. Formation of Monolayer Charge Density Waves and Anomalous Edge Doping in Na Doped Bulk VSe2 // Advanced Mater. Interfaces. 2023. V. 10. P. 2201680.
- Skripov A.V., Sibirtsev D.S., Yu G.C., Aleksashin B.A. 77Se NMR study of the charge density wave state in 2H-NbSe2 and 1T-VSe2 // J. Phys.: Condensed Matter. 1995. V. 7. P. 4479.
- Thompson A.H., Silbernagel B.G. Correlated magnetic and transport properties in the charge-density-wave states of VSe2 // Phys. Rev. B. 1979. V. 19. P. 3420.
- Zhou M. Vanadium Diselenide: On the Verge of Charge Density Wave. Diss. Clemson University. 2016. 90 p. https://tigerprints.clemson.edu/all_dissertations/2414
- Yadav C.S., Rastogi A.K. Electronic transport and specific heat of 1T-VSe2 // Solid State Comm. 2010. V. 150. P. 648–651.
- Myron H.W. The electronic structure of the vanadium dichalcogenides // Physica B+C. 1980. V. 99. P. 243.
- Brauer H.E., Starnberg H.I., Holleboom L.J., Strocov V.N., Hughes H.P. Electronic structure of pure and alkali-metal-intercalated VSe2 // Phys. Rev. B. 1998. V. 58. P. 10031–10045.
- Brauer H.E., Ekvall I., Olin H., Starnberg H.I., Wahlström E., Hughes H.P., Strocov V.N. Na intercalation of VSe2 studied by photoemission and scanning tunneling microscopy // Phys. Rev. B. 1997. V. 55. P. 10022–10026.
- Feng J., Biswas D., Rajan A., Watson M.D., Mazzola F., Clark O.J., Underwood K., Marković I., McLaren M., Hunter A., Burn D.M., Duffy L.B., Barua S., Balakrishnan G., Bertran F., Le Fèvre P., Kim T.K., Van der Laan G., Hesjedal T., Wahl P., King P.D.C. Electronic Structure and Enhanced Charge-Density Wave Order of Monolayer VSe2 // Nano Letters. 2018. V. 18. P. 4493–4499.
- Yi Y., Du X., Zhao Z., Liu Y., Guan H., Liu X., Pei X., Zhang S., Li D. Coupling of Metallic VSe2 and Conductive Polypyrrole for Boosted Sodium-Ion Storage by Reinforced Conductivity Within and Outside // ACS Nano. 2022. V. 16. P. 7772–7782.
- Шерокалова Е.М. Влияние интеркалации атомов 3d- и 4f-элементов на структуру и физические свойства дихалькогенидов переходных металлов IV и V групп: Дис. … канд. физ.-мат. наук: 01.04.07 / Е.М. Шерокалова. Екатеринбург. 2018. 172 c.
- Шерокалова Е.М., Селезнева Н.В., Плещев В.Г. Электрические и магнитные свойства диселенида ванадия, интеркалированного атомами хрома // ФТТ. 2022. Т. 64. С. 437–442.
- Smolnikov A.G., Piskunov Y.V., Ogloblichev V.V., Sadykov A.F., Kashnikova M.E., Utkin N.A., Gerashchenko A.P., Akramov D.F., Selezneva N.V., Baranov N.V. Hyperfine Interactions in Dichalcogenides CrxNbSe2 (x = 0.33, 0.5): A 93Nb NMR Study // Phys. Met. Metal. 2024. V. 125. P. 20–26.
- Ogloblichev V.V., Baranov N.V., Agzamova P.A., Germov A.Y., Nosova N.M., Piskunov Y.V., Sherokalova E.M., Selezneva N.V., Sadykov A.F., Smolnikov A.G. Electronic states in ferromagnetic CrxNbSe2 (x = 0.33, 0.5) studied by 53Cr and 93Nb NMR spectroscopy // Phys. Rev. B. 2021. V. 104. P. 245115.
- Agzamova P., Ogloblichev V. Electronic Structure and Hyperfine Interactions in CrxNbSe2 (x = 0.33, 0.5) by DFT Studies // Appl. Magnetic Resonance. 2023. V. 54. P. 439–448.
- Чижиков Д.М. Селен и селениды. М.: Наука, 1964. 320 с.
- Свидетельство о государственной регистрации программы для ЭВМ #2018663091. Simul 2018. Геращенко А.П., Верховский С.В., Садыков А.Ф., Смольников А.Г., Пискунов Ю.В., Михалев К.Н. Зарегистрировано в Реестре программ для ЭВМ 22.10.2018 г.
- Slichter C.P. Principles of Magnetic Resonance. Springer, Berlin, New York. 1990. 655 p.
- Абрагам А. Ядерный магнетизм. Пер. с англ. Под ред. Г.В. Скроцкого. М.: ИИЛ, 1963. 551 с.
- DiSalvo F.J., Waszczak J.V. Magnetic studies of VSe2 // Physical Review B. 1981. V. 23. P. 457–461.
- Myron H.W. Aspects of the electronic structure of the 3d transition metal diselenides // Physica B+C. 1981. V. 105. P. 120–122.
- Piskunov Y.V., Sadykov A.F., Ogloblichev V.V., Smolnikov A.G., Gerashenko A.P., Si P.Z. Valence state of chromium ions in the half-metallic ferromagnet CrO2 probed by 53Сr NMR // Phys. Rev. B. 2022. V. 106. P. 094428.
- Smol'nikov A.G., Ogloblichev V.V., Verkhovskii S.V., Mikhalev K.N., Yakubovskii A.Y., Kumagai K., Furukawa Y., Sadykov A.F., Piskunov Y.V., Gerashchenko A.P., Barilo S.N., Shiryaev S.V. 53Cr NMR study of CuCrO2 multiferroic // JETP Letters. 2015. V. 102. P. 674–677.
- Freeman A.J., Frankel R.R. Hyperfine Interactions. New York and London: Academic Press, 1967. 756 p.
- Плещев В.Г., Селезнева Н.В., Максимов В.И., Королев А.В., Подлесняк А.В., Баранов Н.В. Особенности структуры, магнитные свойства и теплоемкость интеркалированных соединений CrxTiSe2 // ФТТ. 2009. Т. 51. С. 885–891.
Supplementary files









