Modification of the structure and magnetic properties of Gd films doped with Co
- Authors: Nizaev A.N.1, Kudyukov E.V.1, Gorkovenko A.N.1, Semkin M.A.1,2, Kravtsov E.A.1,2, Lepalovskiy V.N.1, Svalov A.V.1, Vaskovskiy V.O.1,2
-
Affiliations:
- Ural Federal University named after the First President of Russia B. N. Yeltsin
- Mikheev Institute of Metal Physics, Ural Branch, Russian Academy of Sciences
- Issue: Vol 126, No 1 (2025)
- Pages: 3-10
- Section: ЭЛЕКТРИЧЕСКИЕ И МАГНИТНЫЕ СВОЙСТВА
- URL: https://ogarev-online.ru/0015-3230/article/view/288506
- DOI: https://doi.org/10.31857/S0015323025010017
- EDN: https://elibrary.ru/CALLCX
- ID: 288506
Cite item
Abstract
The article presents experimental data on the structure and magnetic properties of films of the Gd–Co system with a low Co content (up to 20 at%) obtained by magnetron sputtering. It was found that the films of pure Gd differ in structural heterogeneity, expressed in the presence of crystalline hcp and fcc phases and presumably an X-ray amorphous phase with a large dispersion in the size of nanocrystallites. The ferromagnetism of the crystalline state and the metabolic frustration of the nanocrystalline phase ensure the asperomagnetic state of the films. Amorphization, which increases with an increase in the Co content, leads to the formation of a more homogeneous distribution of Gd atoms in the medium and provides a gradual transition to a ferromagnetic state, but with a reduced Curie temperature.
Keywords
Full Text
ВВЕДЕНИЕ
Пленочные структуры на основе сплавов тяжелых редкоземельных (R = Gd, Tb, Dy, Ho) и 3d-переходных металлов (Т = Fe, Co, Ni) являются объектом повышенного исследовательского интереса в связи с возможностью широкого варьирования их магнитной структуры и макроскопических магнитных свойств. Это обусловлено индивидуальными особенностями обменных взаимодействий и магнитной анизотропии в сочетании с высокой взаимной растворимостью компонентов таких бинарных систем [1]. При этом R-элементы как носители локализованного магнетизма в рамках косвенного обмена во многом задают характер магнитной структуры, а Т-элементы, являющиеся зонными магнетиками, способствуют повышению температуры магнитного упорядочения. В результате R–T-пленкам в широких концентрационном и температурном интервалах зачастую свойственен уникальный неколлинеарный магнетизм в сперо-, асперо- или сперимагнитном вариантах [2–5]. Его можно рассматривать как определенную основу функциональности сред для устройств спинтроники и микроэлектромеханических систем [6–9].
Структурная специфика R–T-пленок состоит в выраженной склонности к аморфизации, которая обусловлена, с одной стороны, значительным различием в атомных радиусах редкоземельных элементов и элементов группы железа, а с другой стороны, ограниченной подвижностью атомов на подложке [10–11]. В результате вместо набора интерметаллических соединений, отличающих R–T-сплавы [12–14], для пленок характерен широкий ряд твердых растворов, позволяющий детально проанализировать закономерности формирования магнитных свойств указанных систем. К настоящему времени достаточно полно изучены свойства пленок, в которых концентрация Т-элементов превышает 50%, и магнитный порядок существует выше комнатной температуры. Немаловажным стимулом к этому является перспектива практических приложений аморфных пленок как магнитотвердых или магнитострикционных сред, а также носителей перпендикулярной магнитной анизотропии, на которой может строиться высокоплотная запись информации [15].
В другой части концентрационного диапазона R–T-композиций Т-подсистема не дает вклада в спонтанную намагниченность. Данное обстоятельство отражает зонный тип магнетизма 3d-элементов, параметры которого соответствующим образом модифицируются за счет электронов проводимости R-подсистемы [16]. Такие пленки не нашли прямого применения в традиционных областях микроэлектроники и изучены слабо. Однако в определенной мере они могут быть интересны для низкотемпературной спинтроники как среды со сложной и регулируемой магнитной структурой. Кроме того, на их примере можно получить дополнительные сведения о закономерностях суперпозиции коллективизированного и локализованного типов магнетизма. Данная работа посвящена систематическому экспериментальному изучению магнитных свойств пленок Gd100-xCox в низкокобальтовой области составов (х < 50), когда Со фактически является легирующей аморфизирующей добавкой, с целью их сопоставления со структурными изменениями, вносимыми Со.
ОБРАЗЦЫ И МЕТОДЫ ИССЛЕДОВАНИЯ
Пленочные образцы Gd100-xCox (x = 0–20%) с шагом по составу около 3 ат. % получены методом магнетронного распыления однокомпонентных мишеней в атмосфере аргона при давлении 1∙10–3 Торр. Формирование пленок происходило в присутствии технологического магнитного поля напряженностью 250 Э, ориентированного в плоскости подложек, которыми служили покровные стекла Corning. Защита образцов от поверхностного окисления обеспечена дополнительным слоем Та. Номинальные толщины слоев Gd–Co и Та составляли 100 и 5 нм соответственно. Варьирование состава происходило путем изменения соотношения скоростей осаждения Gd и Co, которые, в свою очередь, регулировали путем соответствующего подбора электрических мощностей на магнетронах. Контроль элементного состава пленок проводили с помощью рентгенофлуоресцентного спектрометра Nanohunter. Структурные данные получены методом рентгеновской дифракции на приборе PANalytical Empyrean в излучении CoKα. Магнитные измерения проводили на установке PPMS DynaCool с опцией “вибромагнитометр” при варьировании магнитного поля в пределах ± 70 кЭ, которое ориентировали в плоскости пленок, и в интервале температур от 5 до 350 К.
РЕЗУЛЬТАТЫ
Структурный анализ
Характерные дифрактограммы пленок Gd100-xCox нескольких составов приведены на рис. 1. Их анализ позволяет сделать следующие заключения. Для образца чистого Gd дифрактограмма содержит ряд линий, которые с большой вероятностью сформированы отражениями от плоскостей типа (100) ГПУ-кристаллической решетки, свойственной данному металлу [17]. Исключение составляет дифракционный пик, выделенный красной штриховой линией (2θ ≈ 34°). Он может указывать на присутствие в образце кристаллитов с ГЦК-решеткой, текстурованных по типу (111). Отметим, что на возможность образования “кубического” Gd в пленках, полученных при определенном сочетании таких технологических параметров, как давление рабочего газа, скорость осаждения, температура подложки, указано, в частности, в работе [18]. Однако этому факту есть и иное толкование – присутствие в образце окисла Gd2O3. Данное соединение по своей кристаллической структуре (параметр а = 0.531 ± 0.002 нм [19]) практически идентично “кубическому” Gd (а = 0.533 ± 0.001 нм [20]), что не позволяет провести однозначную фазовую идентификацию только на основании приведенных рентгеновских данных. Однако, забегая вперед, можно отметить, что анализ магнитных свойств данного образца косвенно свидетельствует об отсутствии в нем сколько-нибудь значительного количества оксидной фазы. Еще одной отличительной чертой рассматриваемой дифрактограммы является наличие широкого максимума в области углов локализации основных дифракционных линий кристаллического Gd. Это свидетельствует о наличии в образце большой рентгеноаморфной составляющей и, по нашему мнению, формируется не только стеклянной подложкой, но и металлической рентгеноаморфной фазой, которая с большой вероятностью присутствует в пленке. В силу малого объема прямо выделить вклад от пленки не представляется возможным, и соответствующее заключение сделано на основе последующего анализа магнитных свойств. Такой анализ выполнен исходя из того, что пленки чистого Gd отличаются структурной неоднородностью и включают в значительном количестве по крайней мере две кристаллические фазы, характеризующиеся гексагональной и кубической симметрией и фазу, идентифицируемую как рентгеноаморфная.
Рис. 1. Дифрактограммы пленок Gd100-xCox.
Дифракционная картина претерпевает определенные изменения в рамках бинарной системы Gd–Cо. Во-первых, при введении относительно небольшого количества Со уменьшается интенсивность всех выявленных линий, что свидетельствует о нарастающей аморфизации пленок. Заметим, что данная закономерность относится и к линии, формируемой ГЦК-решеткой. Вряд ли это имело бы место, если бы она отражала присутствие в пленке оксида Gd. Во-вторых, происходит перераспределение интенсивности дифракции на различных кристаллических плоскостях, указывающее на модификацию кристаллической текстуры, инициируемую Со. Уже на начальной стадии легирования практически исчезает линия (002), зато четко прорисовывается ранее затененная ей линия (101). При этом данный вариант текстуры оказывается наиболее устойчивым к аморфизации, которая в полной мере реализуется при х ≥ 20. Последнее хорошо укладывается в известную схему образования метглассов, определяющей оптимальное атомное соотношение между основным металлом и аморфообразующей добавкой как 80:20. Конечно, заключение об аморфизации сделано по фактам уменьшения интенсивности и исчезновения дифракционных линий. На самом же “аморфном” гало изменения практически незаметны из-за упоминавшегося выше затеняющего эффекта относительно толстой аморфной подложки.
Магнитные свойства пленки Gd
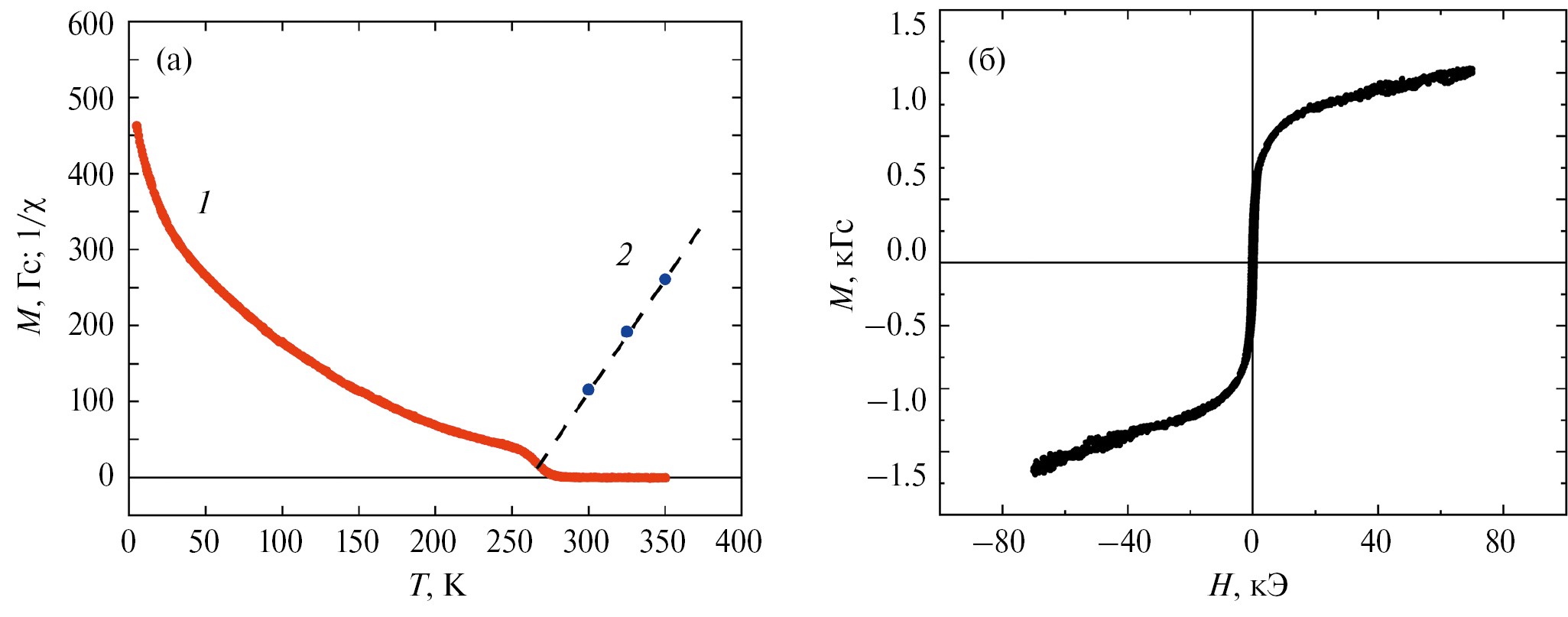
Магнитные свойства пленки Gd характеризует рис. 2, на котором представлены температурные зависимости намагниченности М (Т) и обратной парамагнитной восприимчивости c–1 (Т), а также петля гистерезиса М (Н), измеренная при Т = 5 К. Зависимость М (Т) определена в магнитном поле напряженностью 100 Э при монотонном нагреве образца. До исходной температуры (Т = 5 К) образец охлаждали в магнитном поле напряженностью 70 кЭ, которое, как и поле измерения, было сонаправлено технологическому полю, присутствовавшему при получении пленок.
Рис. 2. Магнитные свойства пленки Gd: (а) температурные зависимости намагниченности (кривая 1) и обратной парамагнитной восприимчивости (кривая 2); (б) петля гистерезиса, измеренная при температуре 5 К.
Из вида и количественных характеристик зависимости М (Т) можно заключить, что пленки Gd демонстрируют свойства, существенно отличные от свойств металла в массивном состоянии. Так, величина намагниченности при Т = 5 К составляет около 500 Гс, что вчетверо меньше табличного значения спонтанной намагниченности (1950 Гс). При этом геометрия эксперимента и магнитная предыстория не позволяют отнести это различие на счет эффекта саморазмагничивания. Кроме того, кривая М (Т) носит нетипичный для ферромагнетиков вогнутый характер, хотя температура Кюри (ТС ~ 280 К) лишь ненамного ниже температуры магнитного упорядочения Gd в массивном состоянии (293 К) [21]. Отметим, что подобное соотношение в величинах ТС регистрировали и ранее при исследовании относительно толстых пленок Gd [22], но другие особенности в формировании М (Т) из указанных выше в литературе не освещали.
Ранее [23] низкое значение М (Т = 5 К) было связано нами в том числе с асперомагнетизмом пленок Gd, который эффективно реализуется при суперпозиции ферромагнитной и сперомагнитной структур, носителями которых, по-видимому, являются кристаллические [24–26] и значительная часть рентгеноаморфной фазы, соответственно. Причиной сперомагнетизма может быть ориентационная фрустрированность локальных магнитных моментов, обусловленных дисперсией межатомных расстояний, и в соответствии с РККИ-моделью, вариацией косвенных обменных связей в высокодефектном структурном состоянии. Обычно неколлинеарный характер магнитной структуры в R–T-системах с анизотропными редкоземельными ионами (Tb, Dy) [27, 28] связывают с разориентацией локальных осей легкого намагничивания. В случае R = Gd с его сферической 4f-электронной оболочкой указанное обстоятельство не может быть определяющей причиной асперомагнетизма.
В пользу высказанного положения свидетельствует и нетипичная для пленок низкоанизотропных магнетиков зависимость М(Н) (рис. 2б). Большая высокополевая магнитная восприимчивость и отсутствие магнитного насыщения в достаточно сильном магнитном поле (до 70 кЭ) говорят не только о неоднородности, но и о значительной “жесткости” магнитной структуры, которую естественно связать с взаимодействием обменной природы. В то же время низкополевая часть петли гистерезиса, в том числе показывающая наличие некоторого гистерезиса (коэрцитивная сила Нс ~ 600 Э), может отражать дисперсию относительно небольшой по величине кристаллической магнитной анизотропии. По некоторым данным [29] она все-таки наблюдается в Gd при низких температурах.
В рамках структурной неоднородности можно дать объяснение и вогнутости кривой М(Т). Для этого нужно предположить, что рентгеноаморфная фаза сама по себе неоднородна и содержит набор структурных элементов разной протяженности и соответственно с разной степенью атомного порядка. Часть из них сперомагнитна, а часть ферромагнитна, т. е. характеризуется выпуклой зависимостью Mi(Т), но с индивидуальной температурой Кюри TCi, зависящей от уровня структурной упорядоченности. Тогда результирующая намагниченность
(1)
при соответствующих наборах TCi, параметров ni, задающих концентрацию элементов, и большом наборе самих элементов будет иметь плавный и вогнутый вид. При этом ограничением сверху для TCi является температура Кюри кристаллической фазы, которая, по-видимому, определяет высокотемпературную часть зависимости М(Т), имеющую фактически “ферромагнитный” характер.
В дополнение на рис. 2а приведена температурная зависимость обратной парамагнитной восприимчивости, по которой, используя стандартную методику [23], можно оценить величину магнитного момента m ионов Gd. Для этого по измеренным толщине и площади определяли объем пленочного образца, а по рентгеновским данным – расчетную плотность материала. В результате получено m = 7.7 mB. Как видно, эта величина близка к теоретическому значению магнитного момента свободного атома Gd (7 mB). Таким образом, данный результат можно рассматривать как подтверждение того, что в пленках практически отсутствует гадолиний, связанный в окисел, и линия (111) на дифрактограмме принадлежит “кубическому” Gd, который в исследуемом диапазоне температур с учетом методики получения пленки парамагнитен [30, 31].
Магнитные свойства пленок Gd100-xCox
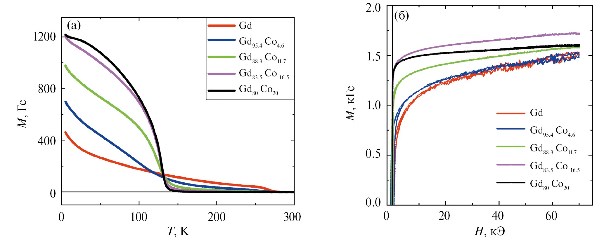
Модификацию магнитных свойств пленок Gd, происходящую при введении Со в пределах до 20 ат. % иллюстрирует рис. 3. Как видно, легирование приводит к кардинальному изменению характера температурной зависимости намагниченности (рис. 3а). По мере увеличения содержания Со зависимость М (Т) от вогнутой постепенно переходит к выпуклой. Это сопровождается кратным ростом величины М (Т = 5 К) и уменьшением температуры Кюри.
Рис. 3. Температурные зависимости намагниченности (а), измеренные в магнитном поле напряженностью 100 Э, и кривые намагничивания (б), измеренные при температуре 5 К, для пленок Gd–Co разного состава.
В рамках изложенной выше трактовки свойств чистого Gd наблюдаемые изменения можно рассматривать как следствие повышения однородности магнитной структуры. Из приведенных выше рентгеновских данных следовало, что легирование ведет к аморфизации кристаллического Gd, которая практически завершается при х = 20. Уменьшение доли кристаллической фазы, скорее всего, и ответственно за модификацию высокотемпературного (Т > 150 К) участка зависимости М (Т), который фактически исчезает при завершении аморфизации. Наряду с этим определенные структурные изменения, по-видимому, происходят и в рамках рентгеноаморфной фазы. По нашему мнению, они ответственны за модификацию зависимости М (Т) в низкотемпературной области. Можно полагать, что в конечной аморфной структуре дисперсия в межатомных расстояниях гадолиниевой подсистемы оказывается существенно меньше, чем в промежуточном нанокристаллическом варианте. Формирование такого в некотором смысле более однородного состояния уменьшает обменную фрустрированность системы и приводит к определенному значению температуры Кюри (~130 К) в большей части объема пленки. В результате зависимость М (Т) при х = 20 приобретает характерный для ферромагнетиков вид.
Кривые намагничивания, показанные на рис. 3б, также отражают структурные изменения, происходящие при легировании. Во-первых, с увеличением содержания Со и нарастанием аморфизации повышается максимальное значение намагниченности, достигающееся в поле Н = 70 кЭ. Во-вторых, уменьшается высокополевая магнитная восприимчивость. То и другое свидетельствует об “облегчении” процесса намагничивания, связанном с уменьшением доли обменно фрустрированной фазы.
На рис. 4 приведены количественные данные, характеризующие указанные изменения в форме температурных зависимостей высокополевой восприимчивости c в пленках разного состава. Величина c определена по наклону кривых намагничивания в полях свыше 40 кЭ, когда изменение М становилось практически линейным. Наряду с уже отмеченным уменьшением величины χ (Т = 5 К) в бинарных пленках Gd100-хСох обращает на себя внимание своеобразный ход зависимостей χ (Т), который закономерно изменяется с увеличением х. При отсутствии или малом содержании Со на кривых χ (Т) имеется более или менее выраженный максимум в области температуры Кюри кристаллической фазы и подъем при низких температурах, где, по нашему мнению, локализуется набор температур Кюри TCi (см. пункт 2). С увеличением x эти особенности сдвигаются к середине температурного диапазона, образуя единый максимум вблизи температуры Кюри аморфной фаза. Представленные данные позволяют заключить, что сперомагнетизм системы, который в рамках представленной идеологии характеризует величина c, тесно связан с особенностями ферромагнитного упорядочения.
Рис. 4. Температурные зависимости высокополевой восприимчивости пленок Gd100-xCox разного состава.
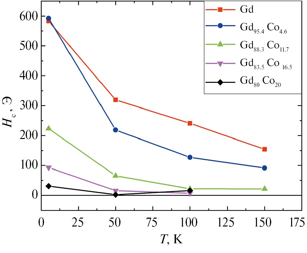
Некоторую информацию о трансформации магнетизма системы Gd–Co в ходе ее аморфизации дают также температурные зависимости коэрцитивной силы Hc(T) пленок, показанные на рис. 5.
Рис. 5. Температурные зависимости коэрцитивной силы пленок Gd100-xCox.
При этом нужно иметь в виду, что Hc является характеристикой ферромагнитного состояния и тесно связана с магнитной анизотропией среды. Таким образом, наличие магнитного гистерезиса показывает, что в кристаллическом состоянии пленкам Gd свойственна магнитная анизотропия, хотя по меркам редкоземельных магнетиков она невелика. Последнее следует из относительно небольшого уровня коэрцитивной силы (до 600 Э). Резкий ниспадающий ход кривых Hc (T) в пленках с низким содержанием Со можно трактовать как свидетельство довольно сильной температурной зависимости величины этой анизотропии. Переход к аморфному состоянию, наблюдающийся с ростом содержания Со, приводит к многократному понижению коэрцитивной силы, что является естественным следствием разрушения кристаллической магнитной анизотропии.
ЗАКЛЮЧЕНИЕ
Получен определенный объем экспериментальных данных, позволивший провести подробный анализ изменения магнитных свойств пленок системы Gd–Co при относительно малом содержании Со (менее 20 ат. %). Показано, что пленки неоднородны по структуре, которая представляется суперпозицией кристаллических ГПУ- и ГЦК-фаз, а также рентгеноаморфной фазы. По мере увеличения содержания Со происходит углубление структурной дисперсии как кристаллических, так, по-видимому, и рентгеноаморфной составляющих.
Неоднородность атомной структуры находит свое отражение в определенной специфике магнитного состояния пленок. Оно трактуется как суперпозиция ферромагнитного и сперомагнитного состояний, связанных с разными структурными фазами. Причем в пленках чистого Gd ферромагнетизм присущ кристаллической и, вероятно, нанокристаллической составляющим. Предполагается, что последняя является частью рентгеноаморфной фазы и характеризуется зависимостью температуры Кюри от размера нанокристаллитов.
Углубленная аморфизация, происходящая с увеличением концентрации Со, с одной стороны, разрушает ферромагнетизм и магнитную анизотропию кристаллического состояния, но с другой стороны, устраняет обменную фрустрацию атомных магнитных моментов Gd. В результате во всем материале формируется компромиссная ферромагнитная структура, но с пониженной (по сравнению с кристаллическим состоянием) температурой Кюри.
Работа выполнена при финансовой поддержке Российского научного фонда, грант № 24-22-00173 (https://rscf.ru/project/24-22-00173/, ФГАОУ ВО “Уральский федеральный университет имени первого Президента России Б.Н. Ельцина”, Свердловская обл.).
Рентгеноструктурные измерения выполнены в Центре коллективного пользования ИФМ УрО РАН.
Авторы данной работы заявляют, что у них нет конфликта интересов.
About the authors
A. N. Nizaev
Ural Federal University named after the First President of Russia B. N. Yeltsin
Email: vladimir.vaskovskiy@urfu.ru
Russian Federation, Ekaterinburg, 620002
E. V. Kudyukov
Ural Federal University named after the First President of Russia B. N. Yeltsin
Email: vladimir.vaskovskiy@urfu.ru
Russian Federation, Ekaterinburg, 620002
A. N. Gorkovenko
Ural Federal University named after the First President of Russia B. N. Yeltsin
Email: vladimir.vaskovskiy@urfu.ru
Russian Federation, Ekaterinburg, 620002
M. A. Semkin
Ural Federal University named after the First President of Russia B. N. Yeltsin; Mikheev Institute of Metal Physics, Ural Branch, Russian Academy of Sciences
Email: vladimir.vaskovskiy@urfu.ru
Russian Federation, Ekaterinburg, 620002; Ekaterinburg, 620108
E. A. Kravtsov
Ural Federal University named after the First President of Russia B. N. Yeltsin; Mikheev Institute of Metal Physics, Ural Branch, Russian Academy of Sciences
Email: vladimir.vaskovskiy@urfu.ru
Russian Federation, Ekaterinburg, 620002; Ekaterinburg, 620108
V. N. Lepalovskiy
Ural Federal University named after the First President of Russia B. N. Yeltsin
Email: vladimir.vaskovskiy@urfu.ru
Russian Federation, Ekaterinburg, 620002
A. V. Svalov
Ural Federal University named after the First President of Russia B. N. Yeltsin
Email: vladimir.vaskovskiy@urfu.ru
Russian Federation, Ekaterinburg, 620002
V. O. Vaskovskiy
Ural Federal University named after the First President of Russia B. N. Yeltsin; Mikheev Institute of Metal Physics, Ural Branch, Russian Academy of Sciences
Author for correspondence.
Email: vladimir.vaskovskiy@urfu.ru
Russian Federation, Ekaterinburg, 620002; Ekaterinburg, 620108
References
- Buravikhin V.A., Bochkarev V.F., Egorov V.A., Shelkovnikov V.N., Odnokurtsev A.D., Sukhomlin V.T. Magnetic compensation in iron-gadolinium and iron-terbium films // Soviet Physics Journal. 1971. V. 14. P. 1530–1533.
- González J., Andrés J., Lopez Anton R. Applied Trends in Magnetic Rare Earth/Transition Metal Alloys and Multilayers // Sensors. 2021. V. 21. P. 5615.
- Bellouard C., George B., Marchal G., Maloufi N., Eugène J. Influence of the thickness of the CoFe layer on the negative spin-valve effect in CoFe/Ag/CoFeGd trilayers // J. Magn. Magn. Mater. 1997. V. 165. P. 312–315.
- Lai C.H., Lin C.C., Chen B.M., Shieh H.P.D., Chang C.R. Positive giant magnetoresistance in ferrimagnetic/Cu/ferrimagnetic films // J. Appl. Phys. 2001. V. 89. P. 7124–7126.
- Svalov A.V., Savin P.A., Kurlyandskaya G.V., Gutiérrez J., Barandiarán J.M., Vas'kovskiy V.O. Spin-Valve Structures with Co–Tb-Based Multilayers // IEEE Trans. Magn. 2002. V. 38. P. 2782–2784.
- Jiang X., Gao L., Sun J.Z., Parkin S.S.P. Temperature dependence of current-induced magnetization switching in spin valves with a ferrimagnetic CoGd free layer // Phys. Rev. Lett. 2006. V. 97. P. 217202.
- Yang D.Z., You B., Zhang X.X., Gao T.R., Zhou S.M., Du J. Inverse giant magnetoresistance in FeCuGd1-xCox spin-valves // Phys. Rev. B-Condens. Matter Mater. Phys. 2006. V. 74. P. 024411.
- Bai X.J., Du J., Zhang J., You B., Sun L., Zhang W., Hu A., Zhou S.M. Influence of the thickness of the FeCoGd layer on the magnetoresistance in FeCoGd-based spin valves and magnetic tunnel junctions // J. Phys. D: Appl. Phys. 2008. V. 41. P. 215008.
- Stanciu A.E., Schinteie G., Kuncser A., Iacob N., Trupina L., Ionita I., Crisan O., Kuncser V. Unexpected magneto-functionalities of amorphous Fe-Gd thin films crossing the magnetization compensation point // J. Magn. Magn. Mater. 2020. V. 498. P. 166173.
- Mandru A., Yildirim O., Marioni M., Rohrmann H., Heigl M., Ciubotariu O., Penedo M., Zhao X., Albrecht M., Hug H. Pervasive artifacts revealed from magnetometry measurements of rare earth-transition metal thin films // J. Vac. Sci. Technol. 2020. V. 38. P. 023409.
- Hussain R. Sperimagnetism in perpendicularly magnetized Co-Tb alloy-based thin films // J. Supercond. Nov. Magn. 2019. V. 32. P. 4027–4031.
- Luzgin N.I., Domyshev V.A. Magnetoelastic properties of RCo2 films // Soviet Physics Journal. 1975. V. 18. P. 1374–1378.
- Bochkarev V.F., Buravikhin V.A., Sukhomlin V.T., Egorov V.A. The hall effect and electrical properties of films of DyCo5 // Soviet Physics Journal. 1973. V. 16. P. 1753–1755.
- Buravikhin V.A., Egorov V.A., Sidorenko L.M., Apkhanov V.B. Structural transformations in the SmCo5 alloy films // Izvestiya Akademii Nauk SSSR, Metally. 1979. P. 188–192.
- Hu Z., Besbas J., Siewierska K., Smith R., Stamenov P., Coey J.M.D. Magnetism, transport, and atomic structure of amorphous binary YxCo1-x alloys // Phys. Rev. 2024. V. 109. P. 014409.
- Свалов А.В., Курляндская Г.В., Балымов К.Г., Васьковский В.О. Спиновые клапаны на основе аморфных ферримагнитных пленок Gd–Co // ФММ. 2016. Т. 117. № 9. С. 907–913.
- Balymov K.G., Kudyukov E.V., Vas'kovskiy V.O., Adanakova O.A., Kulesh N.A., Stepanova E.A., Rusalina A.S. Magnetism of amorphous Dy-Tb-Co-type films // J. Phys.: Conference Series. 2019. V. 1389. P. 012014.
- Коплак О.В., Кашин С.Н., Королев Д.В., Жидков М.В., Пискорский В.П., Валеев Р.А., Моргунов Р.Б. Магнитные свойства и магнитокалорический эффект в пленках и микропроводах Gd // ФТТ. 2023. Т. 65. № 3. С. 424–431.
- Zhang Y.Z., Zhang S.R., Yu D.B. Structural properties and crystal orientation of polycrystalline Gd films // Rare Met. 2023. V. 42. P. 1414–1419.
- Kashaev A.A., Ushchapovskii L.V., Il'in A.G. Electron diffraction and X-ray diffraction study of rare earth metal oxides in thin films // Kristallografiya. 1975. V. 20. P. 192–193.
- Scheunert G., Ward C., Hendren W.R., Lapicki A.A., Hardeman R., Mooney M., Bowman R.M. Influence of strain and polycrystalline ordering on magnetic properties of high moment rare earth metals and alloys // J. Phys. D: Appl. Phys. 2014. V. 47(41). P. 415005.
- Balli M., Jandl S., Fournier P., Kedous-Lebouc A. Advanced materials for magnetic cooling: Fundamentals and practical aspects // Appl. Phys. Rev. 2017. V. 4. P. 021305.
- Vas’kovskiy V.O., Svalov A.V., Gorbunov A.V., Schegoleva N.N., Zadvorkin S.M. Structure and magnetic properties of Gd/Si and Gd/Cu multilayered films // Physica B: Condensed Matter. 2002. V. 315. P. 143–149.
- Kudyukov E.V., Vas'kovskiy V.O., Svalov A.V., Balymov K.G., Maltseva V.E. Concentration features of the magnetism of Gd100-xCox films: Changing X from 0 to 100 // J. Magn. Magn. Mater. 2023. V. 565. P. 170254–170254.
- Döbrich F., Kohlbrecher J., Sharp M., Eckerlebe H., Birringer R., Michels A. Neutron scattering study of the magnetic microstructure of nanocrystalline gadolinium // Phys. Rev. B. 2012. V. 85. P. 094411.
- Michels A., Döbrich F., Elmas M., Ferdinand A., Markmann J., Sharp M., Eckerlebe H., Kohlbrecher J., Birringer R. Spin structure of nanocrystalline gadolinium // Europhysics Lett. 2008. V. 81. P. 66003.
- Mathew S.P., Kaul S.N. Magnetization processes in nanocrystalline gadolinium // J. Phys. Condens. Matter. 2012. V. 24. P. 256008.
- Русалина А.С., Лепаловский В.Н., Степанова Е.А., Юшков А.А., Горьковенко А.Н., Кудюков Е.В., Васьковский В.О., Курляндская Г.В., Свалов А.В. Спин-флоп-переход вблизи температуры магнитной компенсации в аморфных ферримагнитных пленках Dy–Co, полученных ионно-плазменным напылением // ФТТ. 2024. Т. 66. № 6. С. 827.
- Свалов А.В., Макарочкин И.А., Кудюков Е.В., Степанова Е.А., Васьковский В.О., Larrañaga А., Курляндская Г.В. Изменение магнитной структуры при варьировании толщины магнитных слоев в пленках [Tb–Co/Si]n // ФММ. 2021. Т. 122. № 2. С. 125–130.
- Hsu Chin-Jui, Prikhodko S.V., Wang Chiu-Yen, Chen Lih-Juann, Carman G. Magnetic anisotropy in nanostructured gadolinium // Journal of Applied Physics. 2012. V. 111. P. 053916.
- Chizhov P.E., Kostigov A.N., Petinov V.I. Structure and magnetic properties of rare earth small particles // Solid State Commun. 1982. V. 42. P. 323–326.
- Bertelli T.P., Passamani E.C., Larica C., Nascimento V.P., Takeuchi A.Y., Pessoa M.S. Ferromagnetic properties of fcc Gd thin films // J. Appl. Phys. 2015. V. 117. P. 203904.
Supplementary files






