The Microstructural State and Characteristics of the Deformation and Fracture, Energy Dissipation and Accumulation in Deformed Ultrafine-Grained Alloys Based on Titanium, Niobium, and Magnesium for Medical Applications
- Authors: Sharkeev Y.Р.1,2, Legostaeva Е.V.1, Eroshenko А.Y.1, Luginin N.А.1,2, Tolmachev A.I.1, Uvarkin P.V.1
-
Affiliations:
- Institute of Strength Physics and Materials Science (ISPMS) SB RAS
- The National Research Tomsk Polytechnic University
- Issue: Vol 125, No 11 (2024)
- Pages: 1396-1404
- Section: СТРУКТУРА, ФАЗОВЫЕ ПРЕВРАЩЕНИЯ И ДИФФУЗИЯ
- URL: https://ogarev-online.ru/0015-3230/article/view/284466
- DOI: https://doi.org/10.31857/S0015323024110086
- EDN: https://elibrary.ru/IMIVIM
- ID: 284466
Cite item
Full Text
Abstract
The results of the study of the microstructure, physical and mechanical characteristics, processes of the energy dissipation and accumulation under tension in technical titanium and in Ti–45Nb, Mg–2.9Y–1.3Nd alloys in the coarse-grained (CG) and ultrafine-grained (UFG) states have been summarized. It has been found that substructural strengthening of ultrafine-grained technical titanium results in a change in deformation and thermal behavior, especially at the initial stage of deformation. It has been found that dispersion strengthening of Ti–45Nb alloy with the ω-phase nanoparticles and Mg24Y5 intermetallics, and of Mg–2.9Y–1.3Nd alloy with the β-, β′-, and β1-phase precipitates reduces the influence of the UFG structure on the patterns of energy accumulation and dissipation under tension at the initial stage of deformation.
Full Text
ВВЕДЕНИЕ
Прогнозирование долговечности конструкционных материалов и разработка методов ее повышения является важнейшей задачей, которая находит практическое применение в различных областях материаловедения. Особенно это касается разработки новых ультрамелкозернистых (УМЗ) металлов и сплавов с улучшенным комплексом функциональных характеристик для медицины и техники.
Перспективным направлением в медицинском материаловедении является разработка биоинертных сплавов на основе титана, циркония и ниобия с низким модулем упругости. Это сплавы систем Ti–Nb, Zr–Nb, Ti–Nb-Ta, Ti–Nb–Sn, Ti–Nb–Hf, Ti–Nb–Zr–Sn, Ti–Nb–Ta–Sn, Ti–Nb–Ta–Zr, а также магниевые сплавы, содержащие редкоземельные (РЗМ или rare earth, RE) металлы, такие как Y, Nd, Gd, Ce, Dy и др. [1]. Модуль упругости “чистого” титана и среднепрочных титановых сплавов находится в пределах 100–120 ГПa, что значительно выше модуля упругости костной ткани (10–40 ГПа). Содержание ниобия в сплаве системы Ti–Nb до 40–45 мас. % приводит к стабилизации β-фазы и уменьшению модуля упругости до 55–60 ГПа [2]. Для магниевых сплавов модуль упругости может составлять 40–45 ГПа, что наиболее близко к значениям модуля упругости костной ткани.
Однако в ряде случаев достигаемый уровень прочностных свойств указанных сплавов не всегда отвечает необходимым требованиям, что ограничивает их применение в медицинской практике. Применение различных деформационных обработок, в том числе методами интенсивной пластической деформации (ИПД), такими как экструзия, кручение под давлением, РКУ-прессование, abc-ковка и т. д. позволяет значительно повысить прочностные свойства сплавов на основе титана, ниобия и магния. При ИПД в структуре металлов и сплавов формируется УМЗ-состояние, которое характеризуется большой объемной долей неравновесных границ зерен, высокой концентрацией точечных и линейных дефектов на границах зерен и в теле зерен, в частности высокой плотностью дислокаций [3].
Значительное повышение прочностных свойств при ИПД для УМЗ-металлов и сплавов связано с субструктурным дислокационным упрочнением, зернограничным упрочением, дисперсионным упрочнением, и в меньшей степени твердорастворным упрочнением. Основным механизмом упрочнения в УМЗ и наноматериалах является субструктурное упрочнение [3]. Зернограничное упрочнение описывает взаимосвязь между размером зерна и прочностными характеристиками в соответствии с соотношением Холла–Петча [4].
Для успешного практического применения УМЗ-материалов необходимо понимание процессов пластической деформации, происходящих при различных видах нагружения, поскольку они определяют процессы деградации и разрушения реальных изделий во время эксплуатации. Известно, что деформирование материалов сопровождается диссипацией механической энергии в тепловую энергию, а также в накапливаемую энергию пластической деформации [5]. Одним из методов исследования процессов теплообразования при деформировании является метод инфракрасной (ИК) термографии [6]. В работе [6] впервые были опубликованы экспериментальные результаты, свидетельствующие о накоплении энергии, связанной с пластической деформацией нержавеющей стали, и изменении температуры при деформировании, зафиксированной инфракрасной камерой. Позднее данный метод был использован многими исследователями для оценки процессов диссипации и накопления энергии при пластической деформации сталей, алюминиевых и титановых сплавов и др., в основном в крупнокристаллическом (КК) состоянии [5–8]. В то же время работ, в которых исследуются процессы деформационного теплообразования в УМЗ-металлах и сплавах с использованием метода ИК-термографии, не так много.
В работе обобщены результаты изучения микроструктуры, физико-механических характеристик, диссипации и накопления энергии при растяжении в титане ВТ1-0 и в сплавах Ti–45Nb, Mg–2.9Y–1.3Nd в КК- и УМЗ-состояниях.
МАТЕРИАЛЫ И МЕТОДИКА ЭКСПЕРИМЕНТА
В работе были выполнены сравнительные исследования технического титана (ВТ1-0), сплава Ti–45 мас. % Nb (Ti–45Nb) и магниевого сплава Mg–2.9 мас. % Y–1.3 мас. % Nd (Mg–2.9Y–1.3Nd). УМЗ-состояние в титане ВТ1-0 и в сплаве и Ti–45Nb было сформировано комбинированным методом ИПД, который включал свободное аbс-прессование и многоходовую прокатку в ручьевых валках [9]. Для получения оптимальных механических свойств сплав Mg–2.9Y–1.3Nd подвергали деформационной обработке экструзией до суммарной деформации e=1.3 [10]. Для формирования КК-состояния применяли рекристаллизационный отжиг образцов в УМЗ-состоянии.
Микроструктуру и фазовый состав образцов исследовали с помощью оптической (микроскоп Carl Zeiss Axio Observer, Германия), просвечивающей электронной микроскопии (микроскоп JEOL JEM 2100, Акисима, Япония). Средний размер элементов структуры (зерна, субзерна, фрагменты) рассчитывали методом секущей. Микротвердость измеряли по Виккерсу на микротвердомере Duramin 5 (Struers, Дания) при нагрузке 0.98 Н.
Механические испытания на одноосное растяжение плоских образцов с постоянной скоростью деформации 0.01 с−1 выполняли на испытательной машине (Instron VHS 40/50-20, Великобритания). Измерительная тепловизионная система FLIR SC 7700M была использована для измерения температурного поля на поверхности образцов, определения образования шейки в процессе деформирования, что позволило получить температурные DT(etrue) и истинные деформационные strue(etrue) кривые, а также оценить диссипацию и накопление энергии при растяжении [11].
РЕЗУЛЬТАТЫ ЭКСПЕРИМЕНТА И ОБСУЖДНЕНИЕ
На рис. 1 приведены изображения микроструктуры титана ВТ1-0 и сплавов Ti–45Nb, Mg–2.9Y–1.3Nd в КК- и УМЗ-состояниях. Микроструктура титана ВТ1-0 в КК-состоянии представлена зернами равноосной формы, в теле зерен наблюдаются хаотически расположенные дислокации (рис. 1а). Идентификация микродифракции выявила наличие ГПУ-решетки, соответствующей титану a-модификации. Средний размер зерна составил 20±12 мкм.
Рис. 1. Электронно-микроскопические светлопольные (а, б) с соответствующими микродифракционными картинами (а, в) и темнопольное (г) изображения структуры титана в КК- (а) и УМЗ- (б, в, г) состояниях.
ИПД приводит к измельчению зерен и формированию зеренно-субзеренной структуры в титане (рис. 1б, 1г). На светлопольном изображении в большом количестве присутствуют контура экстинкции (рис. 1б, показаны стрелками), которые локализованы, в основном, по границам субзерен и фрагментов. На микродифракционной картине наблюдается большое количество точечных рефлексов, расположенных по окружностям, с типичным азимутальным размытием, что указывает на присутствие малоугловых разориентаций на границах субзерен (рис. 1в).
Микродифракционный анализ титана ВТ1-0 в УМЗ-состоянии подтвердил наличие фазы a-Ti (ГПУ-решетка). Средний размер элементов структуры УМЗ-титана ВТ1-0 (зерна, субзерна и фрагменты) составил 0.2 ±0.1 мкм.
На рис. 2 приведена микроструктура сплава Ti–45Nb в КК- и УМЗ-состояниях. В КК-состоянии микроструктура представлена матричными субзернами β-фазы, дисперсно-упрочненными наноразмерной ω-фазой (рис. 2а). Идентификация микродифракционной картины показала наличие рефлексов высокой интенсивности от основной b-фазы твердого раствора титана и ниобия (ОЦК-решетка) и рефлексы низкой интенсивности от выделений w-фазы с гексагональной примитивной решеткой (ГП-решетка). На темнопольном изображении, полученном в рефлексе w-фазы, в объеме b-зерна наблюдаются наноразмерные частицы эллипсоидной формы w-фазы с размерами 10–20 нм. Средний размер зерна β-фазы составил 45 ±14 мкм.
Рис. 2. Электронно-микроскопические светлопольные (а, б) с соответствующими микродифракционными картинами (а, в) и темнопольное (г) изображения структуры сплава Ti–45Nb в КК- (а) и УМЗ- (б, в, г) состояниях; на рис. 2в пунктирной линией выделены кольца, соответствующие ГПУ-фазе.
В результате ИПД в сплаве Ti–45Nb формируется УМЗ-структура (рис. 2б, 2г). Характер структуры зеренно-субзеренный. При расшифровке микродифракционной картины (рис. 2в) были выявлены группы рефлексов от трех фаз: рефлексы высокой интенсивности от твердого раствора b-титана и ниобия (ОЦК-решетка), рефлексы низкой интенсивности от a-фазы (ГПУ-решетка) и рефлексы от w-фазы (ГП-решетка). Методом рентгеноспектрального микроанализа было выявлено наличие в структуре субзерен b-фазы с высоким содержанием ниобия, близким к его концентрации в исходном состоянии (40–45 мас. %), и субзерен a-фазы с низким содержанием ниобия (4–10 мас. %). Средний размер элементов структуры β-фазы, α-фазы и ω-фазы в УМЗ-сплаве Ti–45Nb соответственно был равен 0.2±0.1 мкм, 50±8 нм и 15 ±5 нм.
Изображения микроструктуры сплава Mg–2.9Y–1.3Nd в КК- и УМЗ-состояниях представлены на рис. 3. Сплав Mg–2.9Y–1.3Nd в КК-состоянии состоит из основной матричной фазы α-Mg (ГПУ-решетка) и четырех типов включений: интерметаллидных частиц Mg24Y5 (ОЦК-решетка), метастабильных выделений bʹ-фазы (Mg12NdY, орторомбическая решетка), b1-фазы (Mg3NdY, ГЦК-решетка) и равновесной b-фазы (Mg14Nd2Y, ГЦК-решетка), рис. 3а, 3б.
Рис. 3. Оптические (а, в) и электронно-микроскопические светлопольные (б, г) с соответствующими микродифракционными картинами (б, г) изображения структуры сплава Mg–2.9Nd–1.3Y в КК-(а, б) и УМЗ- (в, г) состояниях.
Средний размер зерна α-фазы в продольном и поперечном сечениях исходного образца не отличается и составляет 35±16 мкм. Частицы Mg24Y5 имеют форму неправильных многогранников и размеры от 0.2 до 2.1 мкм. Кроме того, внутри и по границам матричных зерен также присутствуют выделения β-фазы, глобулярные выделения bʹ-фазы и пластины b1-фазы. Выделения β-фазы преимущественно локализуются по границам зерен в виде сетки толщиной до 0.8–2.0 мкм. Средний размер глобул bʹ-фазы равен 0.30±0.04 мкм. Длина и ширина пластин b1-фазы находятся в пределах 1.1–6.2 мкм и 0.4–1.1 мкм соответственно.
После экструзии в сплаве Mg–2.9Nd–1.3Y наблюдается измельчение микроструктуры. Наблюдаются два типа структурных элементов: более крупные зерна с размерами 10–25 мкм и более мелкие зерна с размерами 0.5–2.0 мкм, которые образуют текстурированные “полосы”. Доля УМЗ-зерен в объеме составила 50%. Средний размер крупных зерен составил 17±6 мкм, а мелких зерен — 1.0±0.8 мкм (рис. 3в).
Линейные размеры интерметаллидных частиц Mg24Y5, β-фазы, b1- и bʹ-фаз также уменьшаются. Размер частиц Mg24Y5 находится в диапазоне 0.3–0.7 мкм. Средний размер толщины сетки выделений β-фазы составляет 0.35±0.15 мкм. Средний размер глобул bʹ-фазы равен 0.25±0.04 мкм. Длина и ширина пластин b1-фазы находится в пределах 0.06–0.32 мкм и 0.03–0.04 мкм соответственно (рис. 3г).
Таким образом, применение комбинированного метода ИПД титана ВТ1-0 и сплава Ti–45Nb способствует формированию УМЗ-структуры со средним размером структурных элементов, равным 0.2 мкм. Экструзия сплава Mg–2.9Y–1.3Nd приводит к формированию мелкозернистого состояния, в котором доля УМЗ-элементов структуры (с размерами 0.5–2.0 мкм) составляет около 50% от объема.
В табл. 1 приведены параметры структурно-фазового состояния и механические характеристики титана ВТ1-0, сплавов Ti–45Nb и Mg–2.9Y–1.3Nd в КК- и УМЗ-состояниях. Полученные результаты свидетельствуют о том, что измельчение зерна в процессе ИПД титана ВТ1-0 и сплава Ti–45Nb сопровождается повышением условного предела текучести, предела прочности и микротвердости в 1.3–1.6 раз, и, соответственно, снижением пластичности при растяжении в 3–4 раза.
Таблица 1. Параметры структурно-фазового состояния и механические характеристики титана ВТ1-0, сплавов Ti–45Nb и Mg–2.9Y–1.3Nd в КК- и УМЗ-состояниях
Материал / состояние | D, мкм | Фазовый состав, тип решетки | σ0.2, ГПа | σв, ГПа | ε, % | Hμ, ГПа |
ВТ1-0 (КК-состояние) | 20 | α- фаза Ti (ГПУ-решетка) | 0.27 | 0.4 | 23 | 1.8 |
ВТ1-0 (УМЗ-состояние) | 0.2 | α- фаза Ti (ГПУ-решетка) | 0.87 | 1.1 | 6 | 2.8 |
Ti–45Nb (КК- состояние) | 45 | β-фаза (Ti, Nb) (ОЦК-решетка) | 0.35 | 0.7 | 18 | 2.3 |
0.015 | ω-фаза Ti (ГП- решетка) | |||||
Ti–45Nb (УМЗ-состояние) | 0.2 | β-фаза (Ti, Nb) (ОЦК-решетка) | 0.42 | 1.2 | 6 | 3.1 |
0.015 | ω-фаза Ti (ГП-решетка) | |||||
0.050 | α-фаза Ti (ГПУ-решетка) | |||||
Mg–2.9Y–1.3Nd (КК-состояние) | 35 | α-Mg (ГПУ-решетка) | 0.15 | 0.23 | 12 | 0.86 |
1.8 | Mg24Y5 (ОЦК-решетка) | |||||
1.8 | β-фаза (Mg14Nd2Y, ГЦК-решетка) | |||||
0.3 | β′-фаза (Mg12NdY, орторомбическая решетка) | |||||
1.1–6.21 и 0.4–1.12 | β1-фазы (Mg3NdY, ГЦК-решетка) | |||||
Mg–2.9Y–1.3Nd (УМЗ-состояние) | 17 (крупные зерна) | α-Mg (ГПУ-решетка) | 0.22 | 0.34 | 21 | 1.2 |
1 (текстурированные полосы) | ||||||
0.62 | Mg24Y5 (ОЦК-решетка) | |||||
0.35 | β-фаза (Mg14Nd2Y, ГЦК-решетка) | |||||
0.25 | β′-фаза (Mg12NdY, орторомбическая решетка) | |||||
0.06–0.321 и 0.03–0.042 | β1-фазы (Mg3NdY, ГЦК-решетка) |
D — средний размер элементов структуры, σ0.2 — условный предел текучести, σв — предел прочности, ε — максимальная пластическая деформация до разрушения, Hm — микротвердость, 1, 2 — длина и ширина элементов структуры соответственно.
Формирование УМЗ-структуры в сплаве Mg–2.9Y–1.3Nd в процессе экструзии приводит к повышению вышеперечисленных прочностных характеристик в 1.5 раза, а также увеличению пластичности в 1.8 раз, что обусловлено, в первую очередь, сложным фазовым составом.
Также более высокую пластичность УМЗ-магниевых сплавов можно объяснить эволюцией дислокационной субструктуры и формированием текстуры в результате деформационной обработки, которая была исследована в работе [12].
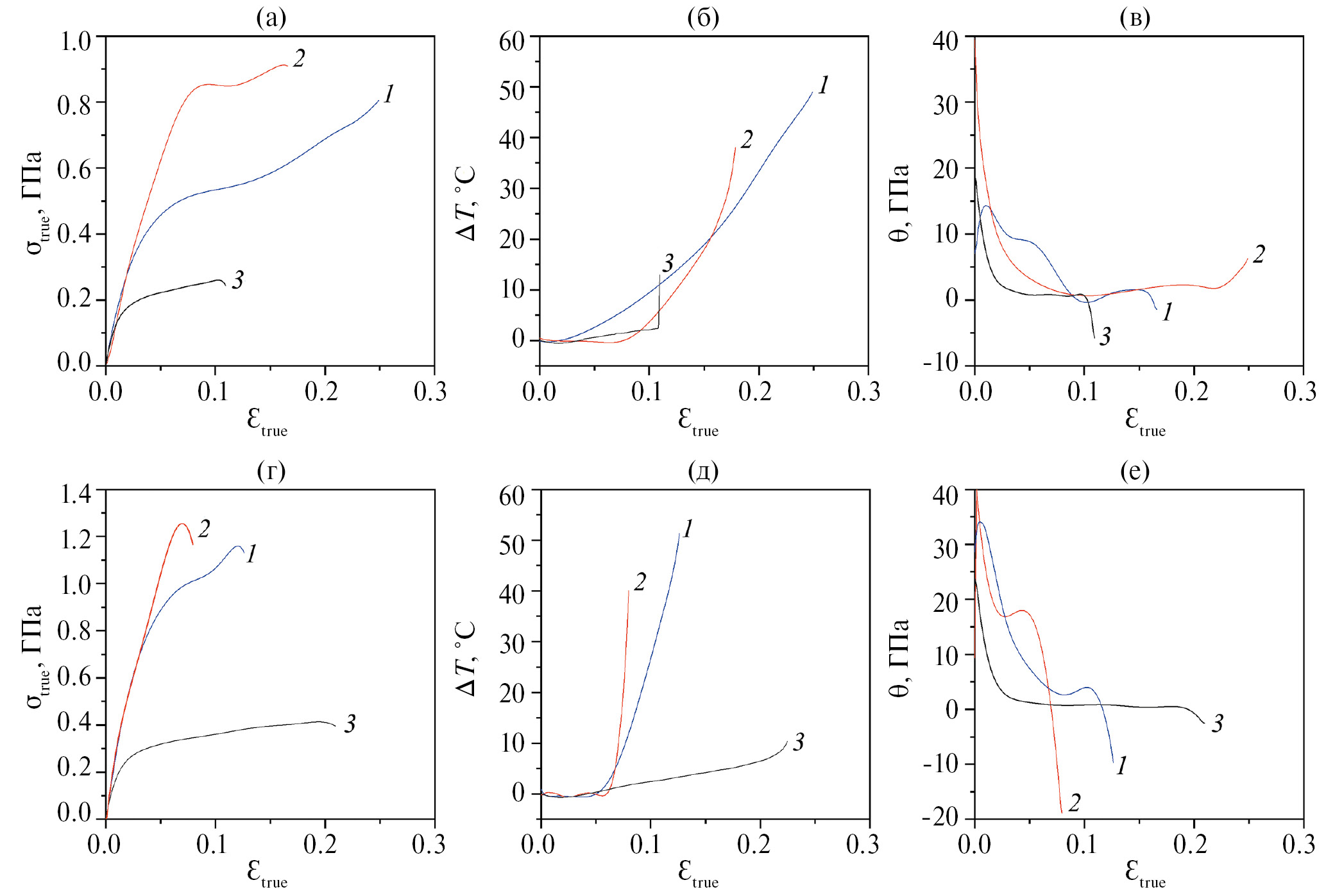
На рис. 4 приведены истинные деформационные (рис. 4а, 4г), температурные кривые (рис. 4б, 4д) и зависимости коэффициента деформационного упрочнения (рис. 4в, 4е) для образцов титана ВТ1-0 (кривые 1), сплавов Ti-45Nb (кривые 2) и Mg–2.9Y–1.3Nd (кривые 3) в КК-(рис. 4а-4в) и УМЗ (рис. 4г-4е) состояниях. На кривых strue(etrue) для исследуемых сплавов в области образования “шейки” имеет место значительный рост истинного напряжения течения (рис. 4а). При этом кривая strue(etrue) для титана ВТ1-0 в КК-состоянии имеет восходящую параболическую ветвь (рис. 4а), а кривая strue(q) — ниспадающую ветвь с коэффициентом q, равным 5 ГПа (рис. 4в).
Рис. 4. Истинные деформационные (а, г), температурные кривые (б, д) и зависимости коэффициента деформационного упрочнения (в, е) для образцов титана ВТ1-0 (кривые 1), сплавов Ti–45Nb (кривые 2) и Mg–2.9Y–1.3Nd (кривые 3) в КК- (а–в) и УМЗ- (г–е) состояниях.
На кривых DT(etrue) при деформировании титана в КК-состоянии, наблюдается короткая стадия с постоянной температурой до etrue ~ 0.01, затем рост DT имеет линейный характер и перед разрушением достигает 45°С (рис. 4б).
Важной отличительной особенностью деформационного поведения титана ВТ1-0 с УМЗ-структурой является постоянство температуры до etrue~0.04, что свидетельствует о его способности эффективно задействовать структурный канал поглощения тепловой энергии при деформации (рис. 4г, 4д). В процессе дальнейшей деформации УМЗ-титана температура стремительно возрастает и перед разрушением в зоне образования “шейки” достигает DT~50°С, что сопровождается перегибом на кривой DT(etrue) (рис. 4д). При этом для УМЗ-титана коэффициент деформационного упрочнения q перед разрушением резко становится отрицательным и равен (–10) ГПа (рис. 4е). Это свидетельствует о локальном разупрочнении УМЗ-титана перед разрушением.
Другая картина наблюдается при деформации сплавов Ti–45Nb и Mg–2.9Y–1.3Nd. Дисперсионное упрочнение наночастицами ω-фазы и формирование α-фазы в сплаве Ti–45Nb и интерметаллидной фазы Mg24Y5 и b-, bʹ- и b1-фаз в сплаве Mg–2.9Y–1.3Nd снижает влияние УМЗ-структуры на деформационное и температурное поведение на начальном этапе деформирования.
Независимо от структурного состояния исследуемых сплавов, наблюдается стадия с постоянной температурой до etrue~0.03–0.05 (рис. 4б, 4д). Перед разрушением Ti–45Nb температура резко поднимается до DT~40°С, как для КК-состояния, так и для УМЗ-состояния (рис. 4б, 4д).
Разрушение сплава Mg–2.9Y–1.3Nd с КК-структурой происходит мгновенно, о чем свидетельствует очень резкое повышение температуры на ~15°С (рис. 4б). В то время как для сплава Mg–2.9Y–1.3Nd в УМЗ-состоянии рост DT имеет практически линейный характер, а перед разрушением происходит подъем температуры до ~10°С, что сопровождается перегибом на кривой DT(etrue). Кроме того, коэффициент деформационного упрочнения q перед разрушением сплавов становится отрицательным, он равен (–1.5) и (–20) ГПа для Ti–45Nb, (–5) ГПа и (–1.5) ГПа для Mg–2.9Y–1.3Nd соответственно в КК- и УМЗ-состояниях (рис. 4в, 4е). Это свидетельствует о локальном разупрочнении материала перед разрушением.
На рис. 5 приведены зависимости энергий от истинной деформации, а именно, удельной работы пластической деформации (Ap), удельного количества выделившейся теплоты (Q), удельной поглощенной энергии (Es) для исследуемых сплавов. При деформировании титана ВТ1-0 в КК-состоянии количество теплоты, которое равномерно выделяется за счет термопластического эффекта (Q=57 MДж/м3), составляет примерно половину от работы пластической деформации (Ap=110 MДж/м3), а остальная энергия поглощается металлом (Es=53 MДж/м3), (рис. 5а-5в).
Рис. 5. Зависимости энергий при деформировании от истинной деформации для образцов титана ВТ1-0 (кривые 1), сплавов Ti–45Nb (кривые 2) и Mg–2.9Y–1.3Nd (кривые 3) в КК- (а–в) и УМЗ- (г–е) состояниях: а, г — удельная работа пластической деформации (Аp); б, д — удельное количество теплоты, выделившееся при деформировании (Q); в, е — поглощенная энергия при деформировании (Es).
В то же время для титана ВТ1-0 в УМЗ состоянии количество выделившейся теплоты при растяжении неодинаково на различных стадиях пластической деформации. На начальном этапе, до etrue ~ 0.04, практически вся энергия деформации поглощается металлом, что связано с субструктурным упрочнением при ИПД. На следующих стадиях деформации количество выделяющейся теплоты растет и перед разрушением достигает 70 % (Q=60 MДж/м3), а энергия, поглощенная материалом, составляет ~ 30 % (Es=25 MДж/м3) от работы пластической деформации (Ap=85 MДж/м3), что обусловлено локальным разупрочнением УМЗ-титана перед разрушением (рис. 5г−5е).
Для сплавов Ti–45Nb и Mg–2.9Y–1.3Nd как в КК-, так и УМЗ-состоянии диссипация и накопление энергии неравномерны на различных стадиях пластической деформации.
Для сплава Ti–45Nb на начальном этапе деформирования, до etrue ~ 0.05, практически вся энергия пластической деформации поглощается материалом, что связано с субструктурным упрочнением при ИПД, дисперсионным упрочнением наночастицами ω-фазы, а также с формированием α-фазы. На следующих стадиях деформации количество выделяющейся теплоты растет и перед разрушением достигает ~ 40% (Q=40 MДж/м3), и ~ 70% (Q=32 MДж/м3) от Ар соответственно для КК- и УМЗ-состояний, а энергия, поглощенная материалом, составляет ~ 60% (Es=55 MДж/м3), и ~ 30 % (Es=16 MДж/м3) от работы деформации, соответственно (рис. 5).
Для сплава Mg–2.9Y–1.3Nd на начальном этапе деформирования, до etrue ~ 0.03–0.04, практически 100% работы пластической деформации идет на изменение внутренней энергии, что связано с дисперсионным упрочнением частицами интерметаллидной фазы Mg24Y5, выделениями b-, bʹ- и b1-фаз. Количество выделившейся теплоты в образцах сплава Mg–2.9Y–1.3Nd в КК-состоянии, составляет 60% (Q=11 MДж/м3) от работы пластической деформации (Ap=20 MДж/м3), соответственно, энергия, поглощенная сплавом, равна ~ 40 % (Es=9 MДж/м3). В то же время, количество теплоты для образцов сплава в УМЗ-состоянии, составляет ~ 35% (Q=15 MДж/м3) от работы пластической деформации (Ap=45 MДж/м3), а остальные ~ 65% энергии поглощаются сплавом (Es=30 MДж/м3). Это указывает на то, что магниевый сплав в УМЗ-состоянии в ~ 2 раза эффективнее диссипирует энергию деформации, по сравнению с КК-состоянием (рис. 5).
Данные хорошо согласуются с результатами исследования процессов накопления и диссипации энергии при пластической деформации, полученными другими авторами. В работах [13–17] было показано, что количество выделившейся теплоты от полной энергии деформации для КК-титана составило 50 %, для отожженной нержавеющей стали − 60–70 %, а для меди достигает 80–90%.
В то же время, формирование УМЗ-состояния также оказывает сильное влияние на диссипацию энергии. Полученные данные хорошо согласуются с результатами моделирования накопления и диссипация энергии при пластической деформации, представленными в работе [13], где показано, что УМЗ-состояние в металлах способствует накапливанию энергии пластической деформации на начальной стадии деформирования.
Дисперсионное упрочнение и наличие упрочняющих частиц в сплавах ослабляет влияние субструктурного упрочения при формировании УМЗ-структуры, что демонстрируют результаты настоящей работы.
Оценка составляющих энергий при деформации, особенно накопленной энергии, важна в случае новых материалов, так как позволяет выяснить механизмы деформации.
ЗАКЛЮЧЕНИЕ
Проведено комплексное сравнительное исследование микроструктуры, механических свойств и закономерностей накопления и диссипации энергии титана ВТ1-0 и сплавов Ti–45Nb, Mg–2.9Y–1.3Nd в КК- и УМЗ-состояниях.
Показано, что применение метода ИПД титана ВТ1-0 и сплавов Ti–45Nb, Mg–2.9Y–1.3Nd способствует существенному изменению их структурно-фазового состояния, обеспечивает значительное повышение прочностных свойств, приводит к перераспределению тепловой энергии, что, в конечном счете, влияет на процессы накопления и диссипации энергии при деформировании.
Установлено, что субструктурное упрочнение при ИПД в УМЗ-титане ВТ1-0 приводит к изменению деформационно-температурного поведения в процессе растяжения. Дисперсионное упрочнение частицами ω-фазы, образование α-фазы в сплаве Ti–45Nb и формирование частиц интерметаллида Mg24Y5, выделений b-, bʹ- и b1- фаз в сплаве Mg–2.9Y–1.3Nd снижает влияние УМЗ-структуры на деформационно-температурное поведение на начальной стадии деформации.
Показано, что количество выделившейся теплоты при деформировании титана ВТ1-0 и сплава Ti–45Nb в УМЗ-состояниях в 2 раза выше, по сравнению с накопленной энергией деформации, что вызывает локальное разупрочнение сплавов в УМЗ-состоянии перед разрушением.
Установлено, что сплав Mg–2.9Y–1.3Nd в УМЗ-состоянии наоборот в 2 раза эффективнее диссипирует энергию пластической деформации по сравнению с КК-состоянием, что обусловлено перераспределением фазового состава.
Выявлено, что субструктурное упрочнение при ИПД и дисперсионное упрочнение в сплавах в значительной степени определяет развитие процессов накопления и диссипации энергии при деформировании.
Авторы выражают благодарность профессору В.П. Вавилову (ТПУ), профессору В.А. Скрипняку (ТГУ) за организацию, участие и обсуждение экспериментов, J. Schmid (ITD) за предоставление образцов магниевого сплава, И.А. Глухову за помощь в проведении ПЭМ-исследований.
Работа выполнена в рамках государственного задания Института физики прочности и материаловедения Сибирского отделения Российской академии и наук, тема FWRW-2021-0004.
Авторы данной работы заявляют, что у них нет конфликта интересов.
About the authors
Y. Р. Sharkeev
Institute of Strength Physics and Materials Science (ISPMS) SB RAS; The National Research Tomsk Polytechnic University
Email: eroshenko@ispms.ru
Russian Federation, Tomsk, 634055; Tomsk, 634050
Е. V. Legostaeva
Institute of Strength Physics and Materials Science (ISPMS) SB RAS
Email: eroshenko@ispms.ru
Russian Federation, Tomsk, 634055
А. Y. Eroshenko
Institute of Strength Physics and Materials Science (ISPMS) SB RAS
Author for correspondence.
Email: eroshenko@ispms.ru
Russian Federation, Tomsk, 634055
N. А. Luginin
Institute of Strength Physics and Materials Science (ISPMS) SB RAS; The National Research Tomsk Polytechnic University
Email: eroshenko@ispms.ru
Russian Federation, Tomsk, 634055; Tomsk, 634050
A. I. Tolmachev
Institute of Strength Physics and Materials Science (ISPMS) SB RAS
Email: eroshenko@ispms.ru
Russian Federation, Tomsk, 634055
P. V. Uvarkin
Institute of Strength Physics and Materials Science (ISPMS) SB RAS
Email: eroshenko@ispms.ru
Russian Federation, Tomsk, 634055
References
- Kaur M., Singh K. Review on titanium and titanium-based alloys as biomaterials for orthopedic applications // Mater. Sci. Eng. 2019. V. 102. P. 844–862.
- Xiaotian L., Shuyang C., Regen K.H. Binary titanium alloys as dental implant materials — a review. // Biomater. 2017. V. 4. № 5. P. 315–323.
- Valiev R.Z., Zhilyaev A.P., and Langdon T.G., Bulk Nanostructured Materials: Fundamentals and Applications. New Jersey: John Wiley & Sons, 2014. 440 p.
- Glezer A.M., Kozlov E.V., Koneva N.A., Popova N.A., Kurzina I.A. Plastic Deformation of Nanostructured Materials. Boca Raton, FL, USA: CRC Press, 2017. 334 p.
- Moyseychik E., Vavilov V., Kuimova M. Infrared thermographic assessment of heat release phenomena in steel parts subjected to quasi-static deformation // Measurement. 2021. V. 185. P. 110117.
- Oliferuk W., Gadaj S.P., Grabski M.W. Energy storage during the tensile deformation of Armco iron and austenitic steel // Mater. Sci. Eng. A. 1985. V. 70. P. 131–141.
- Bagavathiappan S., Lahiri B., Saravanan T., Philip J., Jayakumar T. Infrared thermography for condition monitoring — A review //Infrared Phys. Technol. 2013. V. 60. P. 35–55.
- Golasi´nski K.M., Staszczak M., Pieczyska E.A. Energy Storage and Dissipation in Consecutive Tensile Load-Unload Cycles of Gum Metal // Materials. 2023. V. 16. P. 3288.
- Sharkeev Yu., Eroshenko A., Legostaeva E., Kovalevskaya Z., Belyavskaya O., Khimich M., Epple M., Prymak O., Sokolova V., Zhu Q., Sun Z., Zhang H. Development of Ultrafine–Grained and Nanostructured Bioinert Alloys Based on Titanium, Zirconium and Niobium and Their Microstructure, Mechanical and Biological Properties // Metals. 2022. V. 12. № 7. P. 1136.
- Eroshenko A. Yu., Luginin N.A., Legostaeva E.V., Tolmachev A.I., Glukhov I.A., Uvarkin P.V., Sharkeev Yu.P., Schmidt J. Effect of Severe Plastic Deformation on Structure and Mechanical Properties of Magnesium Alloy Mg–Ca // AIP Conference Proceedings. 2022. V. 2509. P. 020068–1–020068–5.
- Sharkeev Y.P., Vavilov V.P., Chulkov A.O., Legostaeva E.V., Eroshenko A.Y., Belyavskaya O.A., Ustinov A.M., Skrypnyak V.A., Klopotov A.A., Kozulin A.A., Skrypnyak V.V., Zhilyakov A.Y., Kouznetsov V.P., Kuimova M.V. Research on the processes of deformation and failure in coarse- and ultrafine-grain states of Zr1–Nb alloys by digital image correlation and infrared thermography // Mater. Sci. Eng. A. 2020. V. 784. P. 139203.
- Martynenko N.S., Lukyanova E.A., Serebryany V.N. Increasing strength and ductility of magnesium alloy WE43 by equal-channel angular pressing // Mater. Sci. Eng. A. 2018. V. 712. P. 625–629.
- Плехов О., Чудинов В., Леонтьев В., Наймарк О. Экспериментальное исследование закономерностей диссипации энергии при динамическом деформировании нанокристаллического титана // ПЖТФ. 2009. T. 35. № 2. С. 82–90.
- Legostaeva E., Eroshenko A., Vavilov V., Skripnyak V.A., Chulkov A., Kozulin A., Skripnyak V.V., Glukhov I., Sharkeev Y. Comparative Investigation of the Influence of Ultrafine-Grained State on Deformation and Temperature Behavior and Microstructure Formed during Quasi-Static Tension of Pure Titanium and Ti-45Nb Alloy by Means of Infrared Thermography // Materials. 2022. V. 15. P. 8480.
- Ivanov A.M., Lukin E.S., Petrova N.D. Regularities of Deformation and Fracture of Steels Subjected to Equal Channel Angular Pressing and Thermal Processing // Mater. Sci. Forum. 2008. V. 584–586. P. 6436–6448.
- Gadaj S.P., Nowacki W.K., Pieczyska E.A. Changes of temperature during the simple shear test of stainless steel // Arch. Mech. 1996. V. 48. № 4. P. 779–788.
- Taylor G.I., Quinney H. The latent energy remaining in a metal after cold working // Proc. R. Soc. London, Ser. A. 1934. V. 143. P. 307–326.
Supplementary files






