Regularities and features in the behavior of electrical and magnetic properties of Co2FeZ (Z = Al, Si, Ga, Ge, Sn, Sb) half-metallic ferromagnetic heusler alloys
- Authors: Perevozchikova Y.A.1, Irkhin V.Y.1, Semiannikova A.A.1, Marchenkov V.V.1
-
Affiliations:
- Mikheev Institute of Metal Physics, Ural Branch, Russian Academy of Sciences
- Issue: Vol 125, No 12 (2024)
- Pages: 1589-1598
- Section: ЭЛЕКТРИЧЕСКИЕ И МАГНИТНЫЕ СВОЙСТВА
- URL: https://ogarev-online.ru/0015-3230/article/view/283811
- DOI: https://doi.org/10.31857/S0015323024120111
- EDN: https://elibrary.ru/IIHLPS
- ID: 283811
Cite item
Full Text
Abstract
The electrical resistivity, magnetization, and Hall effect in Co2FeZ (Z = Al, Si, Ga, Ge, Sn, Sb) ferromagnetic Heusler alloys have been investigated. It has been demonstrated that there are a number of correlations between the electronic and magnetic characteristics of the alloys under study, which are manifested by changes in the atomic number of the Z component. For Co2FeAl and Co2FeSi alloys, which are HMFs, the magnetization value agrees with the Slater–Pauling rule. The electrical resistivity of Co2FeAl, Co2FeSi, and Co2FeGe compounds exhibits quadratic temperature dependence at temperatures below 30 K and above 65 K. In the range of intermediate temperatures (40 to 65 K), a power-law dependence of ~Tb with an exponent of 3.5 ≤ b ≤ 4 has been revealed, which may be attributed to two-magnon scattering processes.
Full Text
1. ВВЕДЕНИЕ
В настоящее время перспективными материалами для спинтроники, например, для магнитооптической записи информации или в качестве спиновых инжекторов, являются полуметаллические ферромагнетики (ПМФ) [1–4]. Предсказано [1–4], что в основном состоянии при Т = 0 K в них можно реализовать почти 100% спиновую поляризацию носителей заряда из-за их необычной зонной структуры (рис. 1): для одного направления спина (против направления намагниченности, спин вниз) на уровне Ферми наблюдается энергетическая щель, а для другого направления спина — щель отсутствует. ПМФ-состояние может быть реализовано в широком классе соединений Гейслера на основе Co, Mn, Fe и др., например, в системах Fe2MeZ, Co2MeZ или Mn2MeZ, где Me — переходные 3d-элементы (Ti, V, Cr и др.), а Z — p-элементы Периодической таблицы Д.И. Менделеева [см., напр., 5–8]. Согласно теоретическим расчетам [8–10], соединения Co2FeAl, Co2FeSi и Co2FeGe являются ПМФ с полной поляризацией носителей заряда на уровне Ферми.
Рис. 1. Схематическое изображение плотности состояний полуметаллического ферромагнетика. Стрелками обозначены направления спинов для электронных состояний, пунктиром отмечен уровень Ферми EF.
Из экспериментальных и теоретических работ известно [5–8], что при варьировании состава гейслеровых сплавов путем изменения 3d-элементов, происходят сильные изменения в плотности состояний на уровне Ферми EF, а следовательно, и в их электронных транспортных и магнитных свойствах. Поэтому представляет интерес проследить за изменениями электронных и магнитных характеристик сплавов Гейслера при изменении p-элементов, т.е. Z-компоненты.
В качестве объектов исследования были выбраны сплавы системы Co2FeZ (Z = Al, Si, Ga, Ge, Sn, Sb). Входящие в эту группу соединения Co2FeAl, Co2FeSi и Co2FeGe являются ПМФ с высокой спиновой поляризацией [8–10], а температура Кюри этих сплавов много выше комнатной температуры (около 1000 К). Таким образом, высокая спиновая поляризация в этих соединениях может сохраняться и при комнатной температуре.
В данной работе исследованы электросопротивление, намагниченность и эффект Холла гейслеровых сплавов Co2FeZ (Z = Al, Si, Ga, Ge, Sn, Sb) с целью установления закономерностей поведения их электронных и магнитных характеристик при изменении атомного номера Z-компоненты, т.е. при варьировании p-элементов.
2. ОБРАЗЦЫ И МЕТОДИКА ЭКСПЕРИМЕНТА
Сплавы Гейслера Co2FeZ (Z = Al, Si, Ga, Ge, Sn, Sb) были синтезированы методом дуговой плавки в атмосфере очищенного аргона с последующим отжигом при 773 К в течение 120 ч в атмосфере очищенного аргона и охлаждением до комнатной температуры со скоростью ~100 K/час, а также дополнительным отжигом при 873 K (1073 K для Co2FeGa, Co2FeSn) в течение 7 дней с последующей закалкой в ледяную воду для гомогенизации и получения необходимой фазы. Атомное содержание элементов в поликристаллическом сплаве контролировали с помощью растрового электронного микроскопа FEI Company Quanta 200, оборудованного устройством рентгеновского микроанализа EDAX. Результаты анализа представлены в табл. 1. Отклонение от стехиометрического состава во всех образцах оказалось незначительным. Структурная аттестация показала, что во всех исследованных сплавах основной является фаза L21.
Таблица 1. Результаты элементного анализа образцов
Соединение | Состав по данным EDAX |
Co2FeAl | Co2.04Fe1.07Al0.89 |
Co2FeSi | Co1.97Fe0.98Si1.05 |
Сo2FeGa | Co1.86Fe1.13Ga1.01 |
Co2FeGe | Co2.15Fe1.09Ge0.76 |
Co2FeSn | Co1.90Fe1.04Sn1.06 |
Co2FeSb | Co1.98Fe1.04Sb0.98 |
Намагниченность измеряли на СКВИД-магнитометре MPMS-XL-5 фирмы Quantum Design. Электросопротивление и эффект Холла измеряли стандартным четырехзондовым методом на постоянном токе с коммутацией электрического тока, протекающего через образец. Исследования структуры и магнитных свойств выполнены в Центре коллективного пользования “Испытательный центр нанотехнологий и перспективных материалов” ИФМ УрО РАН.
3. РЕЗУЛЬТАТЫ И ОБСУЖДЕНИЕ
3.1. Электросопротивление
Температурные зависимости удельного электросопротивления ρ(T) исследованных сплавов представлены на рис. 2. Видно, что ρ(T) всех сплавов монотонно возрастает с ростом температуры, т.е. имеет металлический вид. Остаточное сопротивление варьируется в диапазоне от ~ 9 мкОм·см для Co2FeGa и Co2FeSb до ~ 43 мкОм·см для Co2FeAl (табл. 2).
Рис. 2. Температурные зависимости удельного электросопротивления сплавов Co2FeZ (Z = Al, Si, Ga, Ge, Sn, Sb).
Таблица 2. Атомный номер элемента z, остаточное электросопротивление r0, экспериментальное и литературное (расчетное или экспериментальное) значение магнитного момента, соответствующего намагниченности насыщения MS экс и MS ref, магнитный момент, рассчитанный по правилу Слэтера–Полинга MSl-Pol, температура Кюри TC для системы сплавов Co2FeZ (Z = Al, Si, Ga, Ge, Sn, Sb)
Соединение | Ат. номер z (Al, Si, Ga, Ge, Sn, Sb) | r0, мкОм∙cм | MS экс, µB/ф.е., Т = 4.2 K | MSl-Pol., µB/ф.е. | MS ref., µB/ф.е. | TC, K |
Co2FeAl | 13 | 42.7 | 5.4 | 5 | экспер.: 5.27 [15] теор.: 4.99 [16] 4.86–5.22 [17] | экспер.: 1098 [15] 1000 [17] ≥ 1100 [18] теор.: 575–1275 [17] |
Co2FeSi | 14 | 10.02 | 5.8 | 6 | экспер.: 5.87 [15] 5.97 [19] теор.: 5.09–5.98 [17] 5.75 [19] | экспер.: 1039 [15] 1100 [17] 1030 [18] 1100±20 [19] теор.: 650–1450 [17] |
Сo2FeGa | 31 | 9.25 | 6.4 | 5 | экспер.: 5.17 [15] 3.25–5.4 [20] теор.: 5.02 [16] 4.93–5.4 [17] 5 [21] 5.06 [22] | экспер.: 1093 [15] 1056 [18] 1080 [23] теор.: 550–1225 [17] 1252–1369 [19] 1190–1330 [24] |
Co2FeGe | 32 | 14.43 | 7.3 | 6 | экспер.: 5.74 (БЗР ленты) [26] теор.: 5.29–5.98 [17] 5.39; 5.7; 5.99 [25] 5.61 [26] | экспер.: 1060 [18] 1000 [23] 981 (БЗР ленты) [26] теор.: 475–1350 [17] 972–1141 [19] |
Co2FeSn | 50 | 19.87 | 5.1 | 6 | экспер.: 4.3 (82 emu/g при комн. темп., наночастицы) [27] | экспер.: 968 [18] |
Co2FeSb | 51 | 9.13 | 5.4 | 7 | – | экспер.: ≥ 1100 [18] |
Согласно теоретическим представлениям [11] в ПМФ-состоянии одномагнонные процессы рассеяния подавлены и могут проявляться двухмагнонные процессы рассеяния, приводящие к степенной зависимости электросопротивления от температуры ρд-м. ~ T b, 7/2 < b < 9/2. Подобные вклады в электросопротивление были обнаружены экспериментально в [12, 13]. С другой стороны, в монокристалле Co2FeSi, находящемся в ПМФ-состоянии, наблюдали температурную зависимость ρ(T), близкую к квадратичной в области низких температур [14]. Поэтому представляет интерес проанализировать вид зависимостей ρ(T) в исследуемых сплавах.
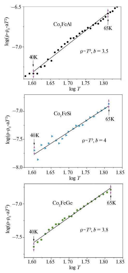
На рис. 3 показаны результаты анализа температурной зависимости электросопротивления от 4.2 K до 75 K. Видно, что при низких температурах для всех соединений наблюдается квадратичная температурная зависимость, которая может быть обусловлена как одномагнонным, так и электрон-электронным рассеянием. При этом для сплавов Co2FeAl, Co2FeSi и Co2FeGe при температуре выше 30 K наблюдаются сильные отклонения от закона Т 2, которые могут быть описаны степенными зависимостями с более высокими показателями b. Такие отклонения практически отсутствуют в Co2FeSn и Co2FeSb. Чтобы определить показатель степени при более высоких температурах, для сплавов Co2FeAl, Co2FeSi и Co2FeGe были построены соответствующие зависимости в логарифмических координатах log(ρ–ρ0–aT2) = f(logT). Здесь ρ0 — остаточное электросопротивление, коэффициент a при T2 определяли из эксперимента в интервале от 4.2 до 30 K. Видно (рис. 4), что b > 2 и равен: b = 3.5 для Co2FeAl, b = 4 для Co2FeSi и b = 3.8 для Co2FeGe в интервале температур от 40 до 65 K. Именно в таком температурном интервале наблюдали вклад в сопротивление, пропорциональный T b, где b = 4, в монокристалле Co2FeSi [13]. Это может быть одним из проявлений двухмагнонных процессов рассеяния, предсказанных в [11]. Недавно аналогичное поведение было найдено в ПМФ-сплаве Co2MnGe [28].
Рис. 3. Зависимости электросопротивления сплавов Co2FeZ (Z = Al, Si, Ga, Ge, Sn, Sb) от квадрата температуры в интервале от 4.2 K до 75 K.
Рис. 4. Зависимости логарифма log(ρ–ρ0–aT2) от логарифма температуры log(T) для Co2FeAl, Co2FeSi и Co2FeGe в интервале температур от 40 K до 65 K.
В сплавах Co2FeGa, Co2FeSn и Co2FeSb степенных зависимостей электросопротивления от температуры с показателем b > 2 не наблюдали. В сплаве Co2FeGa происходит переход от “низкотемпературной” (до ~25 K) к “высокотемпературной” (выше ~37 K) квадратичной температурной зависимости электросопротивления.
Согласно расчетам [19], Co2FeGa близок к состоянию полуметаллического ферромагнетика, однако по данным работы [29] электросопротивление хорошо описывается законом Т 2.1; впрочем, выделение высших по температуре членов в ней не выполняли. Таким образом, эта ситуация требует дальнейших исследований.
3.2. Намагниченность
Полевые зависимости намагниченности сплавов при T = 4.2 K приведены на рис. 5. Исследованные сплавы являются ферромагнитными вплоть до ТС, а в полях свыше 20 кЭ их намагниченность выходит на насыщение. Значения намагниченности насыщения MS экс, которые определяли как значения M в поле 50 кЭ при T = 4.2 K, представлены в табл. 2. Для сравнения, в таблице представлены данные работ [15–27] по намагниченности насыщения MS ref. Согласно правилу Слэтера–Полинга, полный спиновый магнитный момент Mt связан с общим числом валентных электронов Zt простым выражением: Mt = Zt-24 [30]. Тогда магнитный момент для сплавов Co2FeAl, Co2FeGa должен быть равен 5 µB/ф.е., для Co2FeSi, Co2FeGe, Co2FeSn — 6 µB/ф.е., а для Co2FeSb — 7 µB/ф.е. (табл. 2). Однако значения намагниченности насыщения близки к теоретическим только для Co2FeAl и Co2FeSi. Возможно, определенная из эксперимента намагниченность не совпадает с предсказаниями [30] из-за отклонений от стехиометрии и неоднородностей в составах образцов Co2FeGa и Co2FeGe. Согласно данным [29], для Co2FeGa намагниченность равна ≈120 эме/г, что соответствует магнитному моменту ~5.2 μB/ф.е.
Рис. 5. Полевые зависимости намагниченности исследованных сплавов при Т= 4.2 K.
3.3. Эффект Холла
На рис. 6 показаны полевые зависимости сопротивления Холла ρH. Из них были определены коэффициенты нормального и аномального эффектов Холла, а затем оценены тип основных носителей заряда (дырки для Co2FeSi и Co2FeGe, для остальных — электроны), их концентрация и подвижность, используя однозонную модель и методику, описанную в работе [31]. Результаты оценок приведены в табл. 3. Стоит отметить, что измерения выполнены на поликристаллических образцах, поэтому оценки концентрации и подвижности носителей заряда являются качественными. Тем не менее, даже такие качественные оценки позволяют проследить за изменениями электронных характеристик при изменении Z-компоненты в сплавах Гейслера X2YZ (см., напр., [5, 6, 18]).
Рис. 6. Полевые зависимости холловского сопротивления исследованных сплавов при Т = 4.2 K.
Таблица 3. Атомный номер элемента z, тип основных носителей заряда, коэффициент нормального эффекта Холла R0, коэффициент аномального эффекта Холла RS, концентрация n и подвижность μ носителей заряда
Соединение | Ат. номер z (Al, Si, Ga, Ge, Sn, Sb) | Тип основных носителей заряда (электроны или дырки) | R0, 10−5 см3/Кл | RS, 10−5 см3/Кл | n, 1022 см−3 | μ, см2/(В ∙ с) |
Co2FeAl | 13 | электроны | −9 | 244 | 7 | 2 |
Co2FeSi | 14 | дырки | 7 | 21 | 9 | 7 |
Сo2FeGa | 31 | электроны | −10 | 29 | 6.5 | 10.6 |
Co2FeGe | 32 | дырки | 4 | 22 | 17 | 2.6 |
Co2FeSn | 50 | электроны | −9 | 36 | 7 | 4.5 |
Co2FeSb | 51 | электроны | −3 | 18 | 19 | 3.6 |
Согласно теории аномального эффекта Холла [31], аномальный коэффициент Холла RS содержит вклады различных механизмов рассеяния — на примесях, фононах и спиновых неоднородностях, которые приводят как к линейным, так и к квадратичным членам в зависимости RS от электросопротивления ρ. Как видно из рис. 7, эта зависимость для исследованных сплавов Co2FeZ (Z = Al, Si, Ga, Ge, Sn, Sb) может быть описана как RS ~ ρk, где k = 2.06 ± 0.18.
Рис. 7. Зависимость коэффициента аномального эффекта Холла RS от квадрата остаточного электросопротивления ρ02.
3.4. Зависимости электронных и магнитных характеристик от атомного номера Z-компоненты
При изменении Z-компоненты в системе сплавов Co2FeZ (Z = Al, Si, Ga, Ge, Sn, Sb), меняются их магнитные и электронные свойства. Для визуализации этих изменений на рис. 8 показаны зависимости остаточного электросопротивления, намагниченности насыщения, коэффициентов нормального и аномального эффектов Холла от атомного номера компонента z.
Рис. 8. Зависимости (а) остаточного электросопротивления ρ0, (б) обратного произведения концентрации на подвижность 1/(n·μ), коэффициентов (в) аномального RS и (г) нормального R0 эффекта Холла, (д) намагниченности насыщения MS от атомного номера элемента Z.
Остаточное электросопротивление максимально для Co2FeAl. С увеличением атомного номера оно уменьшается для Co2FeSi и Co2FeGa, затем вновь увеличивается, выходя на локальный максимум для Co2FeSn, и уменьшается для Co2FeSb (рис. 8а).
В простейшей однозонной модели проводимость σ (т.е. обратное электросопротивление 1/ρ) пропорциональна концентрации носителей заряда n и их подвижности µ. Используя определенные из эксперимента значения концентрации и подвижности носителей тока (табл. 3), были построены зависимости (µ·n)−1 = f(z) для всех сплавов (рис. 8б). Видно, что имеет место хорошее качественное согласие между поведением ρ и (µ·n)−1 при изменении атомного номера Z-компоненты сплавов Co2FeZ.
Как между электросопротивлением и обоими коэффициентами Холла, так и между последними также наблюдаются определенные корреляции. Для Co2FeAl имеет место максимальное значение электросопротивления и аномального коэффициента Холла (рис. 8а и 8в). Локальный максимум электросопротивления совпадает с таковым для аномального Холла в сплаве Co2FeSn. При дальнейшем увеличении атомного номера — при переходе к Co2FeSb — наблюдается уменьшение как электросопротивления, так и аномального коэффициента Холла (рис. 8а и 8в). Из сравнения аномального (рис. 8в) и нормального (рис. 8г) коэффициентов Холла видно, что максимальным значениям RS соответствуют минимальные величины R0 и наоборот.
Из рис. 8д видно, что значения магнитного момента, полученные в настоящем исследовании, а также экспериментальные данные и теоретические расчеты других авторов сильно различаются, за исключением магнитных моментов для Co2FeAl и Co2FeSi. Магнитный момент исследованных нами сплавов монотонно возрастает от 5.4 µB/ф.е. для Co2FeAl до 7.2 µB/ф.е. для Co2FeGe, уменьшаясь затем до 5.1 µB/ф.е. и 5.3 µB/ф.е. для Co2FeSn и Co2FeSb соответственно.
Тенденции изменения с атомным номером элемента Z магнитного момента в ПМФ как интегральной характеристики определяются правилом Слэтера–Полинга. Аналогично, в простой однозонной модели нормальный коэффициент Холла определяется лишь числом носителей заряда. В то же время другие кинетические характеристики существенно зависят от деталей процессов рассеяния, а следовательно, от спектра электронных состояний вблизи уровня Ферми. Поэтому объяснение соответствующих корреляций является более сложным. В работе [18] продемонстрировано, что удельное электросопротивление с увеличением температуры ведет себя как квадрат спонтанной намагниченности, зависящей от числа носителей заряда (в данных сплавах значения Mspont близки с значениями MS exp).
4. ЗАКЛЮЧЕНИЕ
В результате проведенных исследований магнитных и электрических характеристик соединений Гейслера Co2FeZ (Z = Al, Si, Ga, Ge, Sn, Sb) можно сделать следующие выводы.
Обнаружено, что для сплавов Co2FeAl, Co2FeSi и Co2FeGe наблюдается квадратичная температурная зависимость электросопротивления при Т < 30 K, а в области промежуточных температур (от 40 K до 65 K) возникает степенная зависимость ~T b с показателем 3.5 ≤ b ≤ 4. Это может быть проявлением двухмагнонных процессов рассеяния, преобладающих в ПМФ-материалах [11].
Установлено, что аномальный коэффициент Холла RS приближенно пропорционален квадрату электросопротивления ρ2, что согласуется с теоретическими представлениями [31].
Показано, что значения намагниченности насыщения близки к теоретическим только для Co2FeAl и Co2FeSi. Для других сплавов они сильно отличаются от теоретических, но неплохо согласуются с некоторыми литературными данными. Возможными причинами отличия полученных в эксперименте величин от теоретических предсказаний [30] могут быть отклонение от стехиометрии и наличие неоднородностей в составах образцов Co2FeGa и Co2FeGe.
Продемонстрировано, что между электронными и магнитными характеристиками изученных сплавов существует ряд корреляций, проявляющихся при изменении атомного номера Z-компоненты, т.е. при варьировании p-элементов.
Полученные данные могут быть использованы при подборе материалов с оптимальными характеристиками устройств спинтроники, для которых наиболее благоприятно состояние полуметаллического ферромагнетизма. Из полученных соединений можно выделить сплав Co2FeSi в качестве перспективного для практического применения, поскольку в нем экспериментально наблюдали достаточно высокую спиновую поляризацию носителей заряда [32, 33]) с относительно малым значением остаточного электросопротивления и достаточно высоким магнитным моментом.
Работа выполнена в рамках государственного задания Минобрнауки России (темы “Спин” № 122021000036-3 и “Квант” № 122021000038-7). Авторы благодарят Е.Б. Марченкову за помощь при выполнении данной работы.
Авторы заявляют, что у них нет конфликта интересов.
About the authors
Yu. A. Perevozchikova
Mikheev Institute of Metal Physics, Ural Branch, Russian Academy of Sciences
Author for correspondence.
Email: yu.perevozchikova@imp.uran.ru
Russian Federation, Ekaterinburg
V. Yu. Irkhin
Mikheev Institute of Metal Physics, Ural Branch, Russian Academy of Sciences
Email: yu.perevozchikova@imp.uran.ru
Russian Federation, Ekaterinburg
A. A. Semiannikova
Mikheev Institute of Metal Physics, Ural Branch, Russian Academy of Sciences
Email: yu.perevozchikova@imp.uran.ru
Russian Federation, Ekaterinburg
V. V. Marchenkov
Mikheev Institute of Metal Physics, Ural Branch, Russian Academy of Sciences
Email: march@imp.uran.ru
Russian Federation, Ekaterinburg
References
- Марченков В.В., Ирхин В.Ю. Полуметаллические ферромагнетики, спиновые бесщелевые полупроводники и топологические полуметаллы на основе сплавов Гейслера: теория и эксперимент // ФММ. 2021. Т. 122. № 12. С. 1221–1246.
- Marchenkov V.V., Irkhin V.Yu., Semiannikova A.A. Unusual kinetic properties of usual Heusler alloys // J. Supercond. Novel Magn. 2022. V. 35. P. 2153–2168.
- Hirohata A., Lloyd D.C. Heusler alloys for metal spintronics // MRS Bulletin. 2022. V. 47. P. 593–599.
- Elphick K., Frost W., Samiepour M., Kubota T., Takanashi K., Sukegawa H., Mitani S., Hirohata A. Heusler alloys for spintronic devices: review on recent development and future perspectives // STAM. 2021. V. 22. № 1. P. 235–271.
- Marchenkov V.V., Irkhin V.Yu. Magnetic states and electronic properties of manganese-based intermetallic compounds Mn2YAl and Mn3Z (Y = V, Cr, Fe, Co, Ni; Z = Al, Ge, Sn, Si, Pt) // Materials. 2023. V. 16. № 19. P. 6351.
- Semiannikova A.A., Perevozchikova Yu.A., Irkhin V.Yu., Marchenkova E.B., Korenistov P.S., Marchenkov V.V. Electronic, magnetic and galvanomagnetic properties of Co-based Heusler alloys: possible states of a half-metallic ferromagnet and spin gapless semiconductor // AIP Adv. 2021. V. 11. P. 015139.
- Sunmonu R.S., Akinlami J.O., Dare E.O., Adebayo G.A. Effects of Y atom substitution on the structural, magnetic, electronic, elastic, mechanical, thermodynamic and thermoelectric properties of Co2YAl (Y = Cr, Mn) full Heusler alloys from first principles investigations // Comp. Condensed Matter. 2019. V. 21. P. e00412.
- Fadila B., Ameri M., Bensaid D., Noureddine M., Ameri I., Mesbah S., Al-Douri Y. Structural, magnetic, electronic and mechanical properties of full-Heusler alloys Co2YAl (Y = Fe, Ti): First principles calculations with different exchange-correlation potentials // JMMM. 2018. V. 448. P. 208–220.
- Amari S., Dahmane F., Bin Omran S., Doumi B., Yahiaoui I.E., Tadjer A., Khenata R. Theoretical investigation of the structural, magnetic and band structure characteristics of Co2FeGe1-xSix (x = 0, 0.5, 1) full-Heusler alloys // J. Korean Phys. Society. 2016. V. 69. № 9. P. 1462–1468.
- Siakeng L., Mikhailov G.M., Rai D.P. Electronic, elastic and X-ray spectroscopic properties of direct and inverse full Heusler compounds Co2FeAl and Fe2CoAl, promising materials for spintronic applications: a DFT+U approach // J. Mater. Chem. C. 2018. V. 6. P. 10341–10349.
- Irkhin V., Katsnelson M. Temperature dependences of resistivity and magnetoresistivity for half-metallic ferromagnets // Eur. Phys. J. B. 2002. V. 30. P. 481–486.
- Srinivas K., Raja M.M., Kamat S.V. Effect of partial substitution of silicon by other sp-valent elements on structure, magnetic properties and electrical resistivity of Co2FeSi Heusler alloys // J. Alloys Compd. 2015. V. 619. P. 177.
- Marchenkov V.V., Kourov N.I., Irkhin V.Yu. Half-metallic ferromagnets and spin gapless semiconductors // Phys. Met. Metallogr. 2018. V. 119. P. 1321.
- Bombor D., Blum C.G.F., Volkonskiy O., Rodan S., Wurmehl S., Hess C., Buchner B. Half-metallic ferromagnetism with unexpectedly small spin splitting in the Heusler compound Co2FeSi // PRL. 2013. V. 110. P. 066601.
- Umetsu R.Y., Okubo A., Fujita A., Kanomata T., Ishida K., Kainuma R. Spin wave-stiffness constants of half-metallic ferromagnets Co2YZ (Y = Cr, Mn, and Fe, Z = Ga, Al, and Si) Heusler alloys // IEEE Trans. Magn. 2011. V. 47. № 10. P. 2451–2454.
- Ram S., Kanchana V. Fermi surface studies of Co-based Heusler alloys: Ab-initio study // AIP Conf. Proceed. 2013. V. 1512. P. 1102–1103.
- Chico J., Keshavarz S., Kvashnin Y., Pereiro M., Di Marco I., Etz C., Eriksson O., Bergman A., Bergqvist L. First-principles studies of the Gilbert damping and exchange interactions for half-metallic Heuslers alloys // Phys. Rev. B. 2016. V. 93. P. 214439.
- Коуров Н.И., Марченков В.В., Перевозчикова Ю.А., Weber H.W. Роль особенностей электронной структуры в электросопротивлении зонных ферромагнетиков Co2FeZ (Z = Al, Si, Ga, Ge, In, Sn, Sb) // ФТТ. 2017. Т. 59. № 5. С. 878–882.
- Balke B., Wurmehl S., Fecher G.H., Felser C., Kübler J. Rational design of new materials for spintronics: Co2FeZ (Z=Al, Ga, Si, Ge) // STAM. 2008. V. 9. P. 014102.
- Kukusta D.A., Antonov V.N., Yaresko A.N. X-ray magnetic circular dichroism in Co2FeGa: First-principles calculations // Low Temp. Phys. 2011. V. 37. P. 684.
- Ahmadian F., Boochani A. Half-metallic properties of the Co2Ti1-xFexGa Heusler alloys and Co2Ti0.5Fe0.5Ga (001) surface // Physica B. 2011. V. 406. P. 2865–2870.
- Gao Q. Pressure-induced tunable magnetism and half-metallic stability in Co2FeGa Heusler alloy // Applied Mechanics and Materials. 2014. V. 477–478. P. 1303–1306.
- Varaprasad B.S.D.Ch.S., Srinivasan A., Takahashi Y.K., Hayashi M., Rajanikanth A., Hono K. Spin polarization and Gilbert damping of Co2Fe(GaxGe1-x) Heusler alloys // Acta Mater. 2012. V. 60. P. 6257–6265.
- Liu X.B., Altounian Z. Volume dependence of the exchange interaction and Curie temperature in Co2MGa (M = Ti and Fe): A first-principles study // J. Appl. Phys. 2011. V. 109. P. 07B108.
- Rai D.P., Shankar A., Sandeep, Ghimire M.P., Thapa R.K. A comparative study of a Heusler alloy Co2FeGe using LSDA and LSDA+U // Physica B. 2012. V. 407. P. 3689–3693.
- Kumar K.R., Bharathi K.K., Chelvane J.A., Venkatesh S., Markandeyulu G., Harishkumar N. First-principles calculation and experimental investigations on full-Heusler alloy Co2FeGe // IEEE Trans. Magn. 2009. V. 45. № 10. P. 3997–3999.
- Li T., Duan J., Yang C., Kou X. Synthesis, microstructure and magnetic properties of Heusler Co2FeSn nanoparticles // Micro and Nano Lett. 2013. V. 8. № 3. P. 143–146.
- Yadava E., Kumar S. Intrinsically dominated anomalous Hall effect in pulsed laser deposited epitaxial Co2MnGe ferromagnetic full Heusler alloy thin films // RSC Adv. 2023. V. 13. P. 30101.
- Zhang M., Bruck E., de Boer F.R., Li Z., Wu G. The magnetic and transport properties of the Co2FeGa Heusler alloy // J. Phys. D: Appl. Phys. 2004. V. 37. P. 2049–2053.
- Galanakis I. Slater–Pauling behavior in half-metallic Heusler compounds // Nanomaterials. 2023. V. 13. P. 2010.
- Ирхин В.Ю., Ирхин Ю.П. Электронная структура, физические свойства и корреляционные эффекты в d- и f-металлах и их соединениях. Екатеринбург: Изд-во УрО РАН, 2004. 472 с.
- Karthik S.V., Rajanikanth A., Nakatani T.M., Gercsi Z., Takahashi Y.K., Furubayashi T., Inomata K., Hono K. Effect of Cr substitution for Fe on the spin polarization of Co2CrxFe1-xSi Heusler alloys // J. Appl. Phys. 2007. V. 102. P. 043903.
- Makinistian L., Faiz M.M., Panguluri R.P., Balke B., Wurmehl S., Felser C., Albanesi E.A., Petukhov A.G., Nadgorny B. On the half-metallicity of Co2FeSi Heusler alloy: Point-contact Andreev reflection spectroscopy and ab initio study // Phys. Rev. B. 2013. V. 87. P. 220402(R).
Supplementary files









