Магнитные свойства бислойной пленки с решеткой антиточек: монте-карло-моделирование
- Авторы: Белим С.В.1, Симакова С.С.1, Тихомиров И.В.1
-
Учреждения:
- Омский государственный технический университет
- Выпуск: Том 125, № 12 (2024)
- Страницы: 1512-1521
- Раздел: ЭЛЕКТРИЧЕСКИЕ И МАГНИТНЫЕ СВОЙСТВА
- URL: https://ogarev-online.ru/0015-3230/article/view/283792
- DOI: https://doi.org/10.31857/S0015323024120063
- EDN: https://elibrary.ru/IJAOPE
- ID: 283792
Цитировать
Полный текст
Аннотация
Методом Монте-Карло моделируются магнитные свойства бислойной пленки с решеткой антиточек. Рассматриваемая система состоит из двух пленок с различной магнитной восприимчивостью (магнитомягкий и магнитотвердый слои). Толщина магнитотвердого слоя остается постоянной, а толщина магнитомягкого слоя варьируется. В пленке формируется решетка антиточек, как массив квадратных пор, расположенных в узлах регулярной сетки. Для описания магнитных свойств используется модель Изинга. В рассматриваемой модели слои пленки имеют различные обменные константы. Исследуется зависимость температуры Кюри системы от толщины магнитомягкого слоя и периода решетки антиточек. Температура фазового перехода нелинейно зависит от обоих параметров. На втором этапе изучается процесс перемагничивания пленки. Решетка антиточек и магнитомягкий слой искажают петлю гистерезиса. Исследована зависимость коэрцитивной силы и энергии перемагничивания от параметров системы.
Полный текст
ВВЕДЕНИЕ
Тонкие ферромагнитные пленки служат основой большого количества устройств спинтроники. В связи с этим важной является задача регулирования их магнитных свойств. Температура Кюри и коэрцитивная сила тонких пленок может зависеть от толщины пленки [1], структуры подложки [2] и деформаций подложки [3]. Отдельной задачей стоит создание тонких пленок с заданными магнитными свойствами. В этом направлении существует большое количество технологических методов. Особый интерес в регулировании магнитных свойств тонких пленок представляют два подхода. Первый состоит в создании бислойных ферромагнитных пленок [4–6]. Данные материалы представляют собой две эпитаксиальные пленки, выполненные из материалов с различными магнитными свойствами. Первый слой выполнен из магнитомягкого материала и обладает низкой коэрцитивной силой. Второй слой изготавливается из магнитотвердого материала с высокой коэрцитивностью. Взаимодействие пленок на интерфейсе обеспечивает их взаимное влияние. Магнитотвердый слой оказывает упорядочивающее влияние на магнитомягкую составляющую. Магнитомягкая пленка, в свою очередь, может приводить к понижению намагниченности магнитотвердого слоя. Магнитные свойства бислойной пленки можно регулировать за счет выбора толщины двух составляющих.
Второй подход по влиянию на магнитные свойства состоит в формировании решетки антиточек в тонкой бислойной пленке. Решетка антиточек представляет собой массив пор нанометрового размера, размещенный в узлах прямоугольной или гексагональной сетки [7–10]. Магнитные свойства таких пленок можно изменять в широком диапазоне путем выбора размеров пор и расстояния между ними. Влияние антиточек состоит в создании локальных мест закрепления намагниченности [11–13].
Оба этих подхода могут значительно изменять температуру Кюри и коэрцитивную силу ферромагнитной пленки. В связи с этим интерес представляет изучение их совместного влияния на свойства пленок. С технологической точки зрения перспективными являются бислойные пленки с перпендикулярной анизотропией [14, 15]. Такие системы позволяют создавать устройства памяти с высокой емкостью, так как снижают площадь поля записи [16, 17].
Экспериментальное исследование бислойных пленок с решеткой антиточек выполнено преимущественно для системы Co/Py [18, 19]. Изучение процесса перемагничивания показало, что петля гистерезиса изменяет свою формы и размеры как при изменении толщины мягнитомягкого слоя, так и при варьировании размеров антиточек и расстояния между ними.
Компьютерное моделирование методом Монте-Карло показало [20, 21], что решетка антиточек в однослойных системах изменяет как температуру Кюри, так и коэрцитивную силу. При фиксированном размере пор температура фазового перехода растет логарифмически при увеличении периода решетки. Также нелинейным является рост коэрцитивной силы.
Данная статья посвящена компьютерному моделированию бислойных пленок с решеткой антиточек квадратной формы.
МОДЕЛЬ
Бислойная пленка включает две составляющие. Первый слой, толщиной D1, состоит из магнитотвердого материала. Второй слой, толщиной D2, состоит из магнитомягкого материала. Пленки расположены параллельно плоскости OXY. Первая пленка ограничена плоскостями z=0 и z=D1–1. Вторая пленка ограничена плоскостями z=D1 и z=D1+D2–1. Геометрия исследуемой системы представлена на рис. 1.
Рис. 1. Геометрические параметры системы.
Для описания магнитных свойств системы будем использовать модель Изинга. В данной модели каждому атому с номером i сопоставляется спин Si, который может принимать одно из двух значений (+1/2 или –1/2). Спины атомов направлены перпендикулярно плоскости пленки. Такая конфигурация модели описывает внеплоскостную намагниченность в бислойной пленке. Моделирование ограничивается простой кубической решеткой, для которой можно получить все основные закономерности поведения системы. Переход к другим кристаллическим решеткам вносит поправки в результаты, полученные для кубической решетки, не изменяя основных закономерностей. В каждой из пленок взаимодействие между атомами задается своим значением обменного интеграла. В магнитотвердой пленке обменный интеграл равен J1, а в магнитомягкой пленке J2. При этом выполняется неравенство J1>J2.
Гамильтониан такой системы состоит из суммы парных взаимодействий спинов системы:
(1)
Первое слагаемое гамильтониана описывает энергию взаимодействия в магнитотвердой пленке. Второе слагаемое определяет обменную энергию во второй пленке. Третье слагаемое определяет взаимодействие на интерфейсе пленок. Для обменного интеграла на интерфейсе использовано правило объединения Лоренца–Бертло [22]. Суммирование в первых трех слагаемых выполняется по парам ближайших соседей <i, j>. Четвертое слагаемое описывает взаимодействие с внешним магнитным полем напряженностью h0, mB — магнетон Бора.
При компьютерном моделировании более удобными являются относительные величины. Гамильтониан системы будем записывать в единицах обменного интеграла магнитотвердой составляющей J1:
(2)
Для отношения обменных интегралов выполняется неравенство R<1.
Система исследуется при различных температурах. Для удобства моделирования температуру T также будем измерять в относительных единицах:
(3)
Здесь t — термодинамическая температура, kB – постоянная Больцмана.
Для описания магнитного упорядочивания в пленках введем их намагниченности, которые играют роль параметров порядка при фазовых переходах. Намагниченность вычисляется как среднее значение спина пленки. Намагниченность магнитотвердой пленки обозначим m1, магнитомягкой — m2:
(4)
L — линейные размеры пленки вдоль осей OX и OY. Вдоль этих осей накладываются периодические граничные условия.
Для описания фазового перехода второго рода необходимо рассматривать бесконечные системы. Компьютерное моделирование позволяет описывать только системы конечного размера L. Для получения свойств неограниченных систем используется теория конечно-размерного скейлинга [23]. В данном подходе исследуются системы различного конечного размера, после чего результаты аппроксимируются на бесконечные системы.
Для исследования термодинамических характеристик системы использован алгоритм Метрополиса [24]. Конфигурации спинов формируются методом Монте-Карло при различных температурах T. Для вычисления термодинамических функций проводится усреднение параметров по спиновым конфигурациям. Наиболее точный метод определения температуры фазового перехода основан на вычислении кумулянтов Биндера четвертого порядка U1 и U2 [23]:
(5)
Угловыми скобками обозначено усреднение по спиновым конфигурациям. Кумулянты Биндера имеют значение 2/3 в упорядоченной фазе и убывают до нулевого значения при переходе в неупорядоченную фазу. Согласно теории конечноразмерного скейлинга [24], при температуре фазового перехода значение кумулянта Биндера не зависит от линейных размеров системы L. Поэтому графики зависимости кумулянтов Биндера от температуры для систем различного размера будут пересекаться в одной точке, соответствующей температуре фазового перехода в ферромагнитную фазу. В компьютерном эксперименте рассчитываются кумулянты Биндера для обеих составляющих бислойной системы при различных температурах T для систем нескольких размеров L. Далее строятся графики зависимости U1(L,T) и U2(L,T), по пересечениям которых определяются температуры фазовых переходов T1 и T2.
Кроме этого, исследованы магнитные восприимчивости обеих пленок:
(6)
На графике зависимости магнитной восприимчивости от температуры наблюдаются резкие пики в точке фазового перехода.
Эти же действия выполнены для исследования бислойной пленки как целой системы. Для этого вычислена общая намагниченность m:
(7)
После чего вычисляли кумулянт Биндера U при различных температурах и размерах системы:
(8)
На основе точки пересечения графиков кумулянтов Биндера определена общая температура фазового перехода всей пленки TC.
Для всей бислойной пленки также вычислена зависимость магнитной восприимчивости от температуры:
(9)
Решетка антиточек реализована в виде пор, размещенных в узлах квадратной сетки с периодом d. Поры имеют квадратное сечение со стороной a. Внутри пор отсутствуют атомы, а, следовательно, спины имеют нулевое значение. В компьютерном эксперименте размеры пор оставались неизменными, а период решетки антиточек варьировали. Такой подход приводит к изменению общего количества спинов системы, что существенно сказывается на свойствах системы. Варьировали также толщину магнитомягкой пленки D2.
Для исследования перемагничивания системы рассчитывали намагниченность всей бислойной пленки m при различной напряженности внешнего магнитного поля h. Сначала систему приводили в состояние равновесия при температуре ниже точки Кюри всей бислойной пленки (T<TC) при большом значении внешнего магнитного поля hmax. После этого напряженность магнитного поля снижали на величину Dh и систему снова приводили в состояние равновесия и определяли ее намагниченность. Таким образом напряженность поля понижали до значения –hmax, после чего опять повышали до hmax. По полученным значениям намагниченности строили петлю гистерезиса в координатах m, h. Коэрцитивную силу определяли по точкам пересечения петли гистерезиса с осью абсцисс.
РЕЗУЛЬТАТЫ
Компьютерное моделирование проводили для пленок с фиксированной толщиной магнитотвердого слоя D1=8 ML (ML — моноатомный слой). Толщину магнитомягкого слоя изменяли от D2= 2 ML до D2=8 ML с шагом DD2=2 ML. Размеры системы изменяли от L=32 до L=96 с шагом DL=16. Отношение обменных интегралов варьировали от R=0.4 до R=0.8 с шагом DR=0.1. При моделировании пленки с решеткой антиточек использовали поры с линейными размерами a=2. Период решетки антиточек принимал значения: d=4, d=8, d=16. Количество шагов Монте-Карло на спин составляло 2×106. Половину шагов выполняли для приведения системы в состояние равновесия, а вторую половину — для усреднения термодинамических параметров. Для каждой решетки антиточек выполняли вычисление температур фазовых переходов в обеих пленках и всей бислойной пленке. На первом этапе исследовали температуры фазовых переходов в непрерывной пленке и пленке с решеткой антиточек. Температуры определяли с помощью кумулянтов Биндера четвертого порядка [25, 26]. Типичное поведение кумулянтов для пленки с толщиной слоев D1=8, D2=6 и периодом решетки антиточек d=8 представлены на рис. 2. На всех графиках присутствует точка пересечения, позволяющая определить температуру фазового перехода. При этом следует отметить, что для магнитомягкой составляющей кумулянты Биндера пересекаются вблизи нуля и определение температуры может представлять некоторую трудность. Данное поведение кумулянтов является типичным для спиновой системы во внешнем поле.
Рис. 2. Кумулянты Биндера для бислойной пленки с толщиной слоев D1=8, D2=6 и периодом решетки антиточек d=8: (a) для всей бислойной пленки; (б) для магнитотвердого слоя; (в) для магнитомягкого слоя.
Расчеты показали, что общая температура фазового перехода в бислойной пленке не зависит от толщины магнитомягкого слоя и практически совпадает с температурой Кюри магнитотвердого слоя. Эта закономерность наблюдается как для сплошной пленки, так и пленки с решеткой антиточек при любом периоде d. При этом температура Кюри зависит от периода решетки антиточек (рис. 3).
Рис. 3. Зависимость температуры фазового перехода TC бислойной пленки от периода решетки антиточек. Красной пунктирной линией показана температура непрерывной пленки без решетки антиточек.
Из рис. 3 видно, что температура фазового перехода нелинейно растет с увеличением периода решетки антиточек и стремится к значению, характерному для непрерывной пленки. На рис. 4 показана зависимость магнитной восприимчивости от температуры как для пленочных слоев, так и для пленки в целом. Расчеты показали, что в магнитомягком слое не происходит самостоятельного фазового перехода. поведение всех термодинамических функций в этом слое является характерным для тонких пленок во внешнем магнитном поле. Роль внешнего поля играет магнитотвердый слой. Поэтому температура фазового перехода бислойной пленки не зависит ни от толщины магнитомягкой составляющей, ни от значения обменного интеграла в ней.
Рис. 4. Зависимость магнитной восприимчивости от температуры как для слоев пленки, так и для двухслойной пленки в целом. (MH — график восприимчивости для магнитотвердого слоя; MS — график восприимчивости для магнитомягкого слоя; BL — график восприимчивости для бислойной пленки.)
На втором этапе компьютерного моделирования исследовали процесс перемагничивания в бислойной пленке с решеткой антиточек. расчеты выполняли при температуре T=2.5, что обеспечивает нахождение в ферромагнитной фазе обоих слоев пленки. Сначала была получена петля гистерезиса для сплошной бислойной пленки с различным отношением обменных интегралов R и различной толщиной магнитомягкого слоя D2. Результаты моделирования представлены на рис. 5.
Рис. 5. Петли гистерезиса для пленок с различной толщиной магнитомягкого слоя D2 и отношением обменных интегралов R: (a) R=0.4; (б) R=0.8.
Как видно из рис. 5, магнитомягкая составляющая пленки оказывает существенное влияние на процесс перемагничивания бислойной пленки только при значительном отличии их обменных интегралов. Если обменные интегралы слоев близки по значению (R ≥ 0.8), то форма петли гистерезиса не изменяется. При этом происходит небольшое снижение коэрцитивной силы с увеличением магнитомягкого слоя. Этот эффект объясняется упорядочиванием спинов в магнитомягком слое при более низких магнитных полях и его влиянием на магнитотвердый слой через интерфейс. При большом отличии величины обменных интегралов (R<0.5) наблюдается искажение формы петли гистерезиса и более значительное снижение коэрцитивной силы с увеличением толщины магнитомягкого слоя.
Бислойная пленка с решеткой антиточек ведет себя аналогично сплошной пленке. На рис. 6 представлены петли гистерезиса для пленки с решеткой антиточек при различной толщине магнитомягкого слоя и различных отношениях обменных интегралов.
Рис. 6. Петли гистерезиса для пленок с различной толщиной магнитомягкого слоя D2, отношением обменных интегралов R и периодом решетки антиточек d: (a) R=0.4, a=2, d=4; (б) R=0.4, a=2, d=8; (в) R=0.8, a=2, d=16; (г) R=0.8, a=2, d=16.
Как видно из рис. 6, при большом периоде решетки антиточек (d=16) относительная площадь пор на поверхности пленки является малой и свойства системы близки к непрерывной пленке. Если же период решетки антиточек уменьшается (d=4), то увеличивается число пор на единицу площади, что приводит к сужению петли гистерезиса. Искажение формы петли гистерезиса также становится меньше (рис. 6a).
На рис. 7 представлена зависимость коэрцитивной силы Hc от отношения обменных интегралов R при различной толщине магнитомягкой составляющей D2 для сплошной пленки и пленки с разными периодами решетки антиточек d.
Рис. 7. Зависимость коэрцитивной силы Hc от отношения обменных интегралов R при различной толщине магнитомягкой составляющей D2 для сплошной пленки и пленки с разными периодами решетки антиточек d: (a) сплошная пленка; (б) d=16; (в) d=8; (г) d=4.
Проведем сравнение коэрцитивной силы для пленок с различным периодом решетки антиточек и одинаковой толщиной магнитомягкого слоя (D2=6). Зависимости коэрцитивной силы от отношения обменных интегралов для пленок с различным периодом решетки антиточек и одинаковым магнитомягким слоем представлены на рис. 8.
Рис. 8. Зависимость коэрцитивной силы Hc от отношения обменных интегралов R для пленок с толщиной магнитомягкого слоя D2=6 и различным периодом решетки антиточек d.
Как видно из рис. 8, при уменьшении периода решетки антиточек снижается коэрцитивная сила. При этом общий характер зависимости остается неизменным. Это снижение можно объяснить уменьшением общего количества спинов в системе.При использовании тонких пленок в устройствах спинтроники важным параметром является не только величина коэрцитивной силы, но и энергия, необходимая для перемагничивания пленки, так как это напрямую влияет на потребление энергии устройством. Энергия перемагничивания пленки прямо пропорциональна площади петли гистерезиса. Площадь петли дает значение энергии перемагничивания Em в относительных единицах.
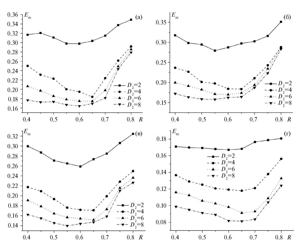
На рис. 9 представлены графики зависимости энергии перемагничивания двуслойной пленки от отношения обменных интегралов при различных значениях толщины магнитомягкого слоя и разных значениях периода решетки антиточек.
Рис. 9. Зависимость энергии перемагничивания Em от отношения обменных интегралов R при различной толщине магнитомягкой составляющей D2 для сплошной пленки и пленки с разными периодами решетки антиточек d: (a) сплошная пленка; (б) d=16; (в) d=8; (г) d=4.
Как видно из рис. 9, на графиках зависимости энергии перемагничивания от отношения обменных интегралов также присутствует минимум в интервале 0.6≤R≤0.7. При этом наблюдается снижение энергии перемагничивания при увеличении толщины магнитомягкого слоя.
Проведем сравнение энергии перемагничивания одинаковых по толщине пленок с различным периодом решетки антиточек, зависимость которой от отношения обменных интегралов при D2=6 приведена на рис. 10. Из рисунка видно, что уменьшение периода антиточек, т. е. увеличение плотности пор, приводит к существенному снижению энергии, необходимой для перемагничивания всей пленки.
Рис. 10. Зависимость энергии перемагничивания от отношения обменных интегралов при D2=6 и различном периоде решетки антиточек.
Результаты моделирования хорошо согласуются с экспериментальными данными. Бислойная пленка Co/Py толщиной 20 нм/27 нм с решеткой антиточек диаметром 35 нм и периодом 103 нм исследована с помощью комбинации магнитооптического эффекта Керра и метода кривой обращения первого порядка [18]. Исследования показывают анизотропию магнитных свойств перпендикулярно плоскости пленки. Зависимость коэрцитивной силы от периода решетки антидотов обнаружена экспериментально [2] для бислойной пленки из тех же материалов. Аналогичные изменения формы и размеров петли гистерезиса для бислойной системы FeNi(10 нм)/TbCo(30 нм) и решетки антиточек с периодом 75 нм и 105 нм [27].
ЗАКЛЮЧЕНИЕ
Методом Монте-Карло выполнено моделирование магнитных свойств бислойных пленок с решеткой антиточек. Результаты моделирования показывают, что определяющее влияние на температуру фазового перехода оказывает магнитотвердый слой. Магнитомягкий слой испытывает размытый фазовый переход под влиянием магнитотвердого слоя. Совпадение температур фазовых переходов в отдельных слоях и всей пленке в целом связан с достаточно сильным обменным взаимодействием на интерфейсе. Данное взаимодействие позволяет магнитотвердому слою оказывать сильное влияние на намагниченность магнитомягкого слоя. Уменьшение расстояния между порами при их фиксированном размере приводит к снижению температуры Кюри системы.
Магнитомягкая составляющая пленки влияет на форму петли гистерезиса при большом отличии обменных интегралов двух слоев, приводя к искажению ее формы. Одним из следствий данного искажения является снижение энергии перемагничивания системы. При отношении обменных интегралов в интервале от 0.6 до 0.7 на графике зависимости коэрцитивной силы от обменного интеграла присутствует четко выраженный минимум, положение которого зависит от толщины пленки. Эта закономерность наиболее ярко выражена для сплошной пленки. Минимум также присутствует в зависимости энергии перемагничивания от отношения обменных интегралов. Решетка антиточек приводит к сглаживанию кривой коэрцитивной силы вблизи минимального значения.
Исследования выполнены при финансовой поддержке Российского научного фонда, проект 23-29-00108. https://rscf.ru/project/23-29-00108/ ФГАОУ ВО “Омский государственный технический университет”, Омская обл.
Авторы заявляют, что у них нет конфликта интересов.
Об авторах
С. В. Белим
Омский государственный технический университет
Автор, ответственный за переписку.
Email: sbelim@mail.ru
Россия, Омск
С. С. Симакова
Омский государственный технический университет
Email: sbelim@mail.ru
Россия, Омск
И. В. Тихомиров
Омский государственный технический университет
Email: sbelim@mail.ru
Россия, Омск
Список литературы
- Krupinski M., Sobieszczyk P., Zieliński P., Marszałek M. Magnetic reversal in perpendicularly magnetized antidot arrays with intrinsic and extrinsic defects // Sci. Rep. 2019. V. 9. P. 13276.
- Belim S.V., Tikhomirov I.V. Computer simulation of Fe epitaxial films on a Cu(100) substrate // Physica Scripta. 2023. V. 98. P. 105973.
- Belim S.V. Investigation of Phase Transitions in Ferromagnetic Nanofilms on a Non-Magnetic Substrate by Computer Simulation // Materials 2022. V. 15. P. 2390.
- Kaidatzis A., del Real R.P., Alvaro R., Niarchos D., Vazquez M., García-Martín J.M. Nanopatterned hard/soft bilayer magnetic antidot arrays with long-range periodicity // J. Magn. Magn. Mater. 2020. V. 498. P. 166142.
- Salaheldeen M., Martínez-Goyeneche L., Álvarez-Alonso P., Fernández A. Enhancement the perpendicular magnetic anisotropy of nanopatterned hard/soft bilayer magnetic antidot arrays for spintronic application // Nanotechnology. 2020. V. 31. P. 485708.
- Challab N., Faurie D., Haboussi M., Adeyeye A.O., Zighem F. Differentiated Strain-Control of Localized Magnetic Modes in Antidot Arrays // ACS Appl. Mater. Interfaces. 2021. V. 13. P. 29906–29915.
- Ruiz-Feal I., Lopez-Diaz L., Hirohata A., Rothman J., Guertler C.M., Bland J.A.C., Garcia L.M., Torres J.M., Bartolome J., Bartolome F., Natali M., Decanini D., Chen Y. Geometric coercivity scaling in magnetic thin film antidot arrays // J. Magn. Magn. Mater. 2002. V. 242–245. P. 597–600.
- Vavassori P., Gubbiotti G., Zangani G., Yu C.T., Yin H., Jiang H., Mankey G.J. Lattice symmetry and magnetization reversal in micron-size antidot arrays in permalloy film // J. Appl. Phys. 2002. V. 91. P. 7992.
- Heyderman L.J., Nolting F., Backes D., Czekaj S., Lopez-Diaz L., Kläui M., Rüdiger U., Vaz C.A.F., Bland J.A.C., Matelon R.J., Volkmann U.G., Fischer P. Magnetization reversal in cobalt antidot arrays // Phys. Rev. B. 2006. V. 73. P. 214429.
- Brigneti E.V., Ramos C.A., Ureña E.B., Pirota K., Vázquez M., Prieto P., Sanz J.M. Ferromagnetic resonance and magnetization in permalloy films with nanostructured antidot arrays of variable size // J. Magn. Magn. Mater. 2008. V. 320. P. 257.
- Paul D.I. General theory of the coercive force due to domain wall pinning // J. Appl. Phys. 1982. V. 53. P. 2362.
- Barnard J.A., Fujiwara H., Inturi V.R., Jarratt J.D., Scharf T.W., Weston J.L. Nanostructured magnetic networks // Appl. Phys. Lett. 1996. V. 69. P. 2758.
- Tripathy D., Vavassori P., Porro J.M., Adeyeye A.O., Singh N. Magnetization reversal and anisotropic magnetoresistance behavior in bicomponent antidot nanostructures // Appl. Phys. Lett. 2010. V. 97. P. 042512.
- Suess D., Schrefl T., Fahler S., Kirschner M., Hrkac G., Dorfbauer F., Fidler J. Exchange spring media for perpendicular recording // Appl. Phys. Lett. 2005. V. 87. P. 012504.
- Asti G., Ghidini M., Pellicelli R., Pernechele C., Solzi M., Albertini F., Casoli F., Fabbrici S., Pareti L. Magnetic phase diagram and demagnetization processes in perpendicular exchange-spring multilayer // Phys. Rev. B. 2006. V. 73. P. 094406.
- Schmool D.S., Apolinario A., Casoli F., Albertini F. Ferromagnetic resonance study of Fe/FePt coupled films with perpendicular anisotropy // IEEE Trans. Magn. 2008. V. 44. P. 3087–3090.
- Navas D., Torrejon J., Béron F., Redondo C., Batallan F., Toperverg B.P., Devishvili A., Sierra B., Castaño F., Pirota K.R., Ross C.A. Magnetization reversal and exchange bias effects in hard/soft ferromagnetic bilayers with orthogonal anisotropies // New J. Phys. 2012. V. 14. P. 113001.
- Béron F., Kaidatzis A., Velo M.F., Arzuza L.C.C., Palmero E.M., del Real R.P., Niarchos D., Pirota K.R., García-Martín J.M. Nanometer Scale Hard/Soft Bilayer Magnetic Antidots // Nanoscale Res. Lett. 2016. V. 11. P. 86.
- Salaheldeen M., Nafady A., Abu-Dief A.M., Díaz Crespo R., Fernández-García M.P., Andrés J.P., López Antón R., Blanco J.A. Enhancement of Exchange Bias and Perpendicular Magnetic Anisotropy in CoO/Co Multilayer Thin Films by Tuning the Alumina Template Nanohole Size // Nanomaterials. 2022. V. 12. P. 2544.
- Belim S.V., Belim S.S., Tikhomirov I.V., Bychkov I.V. Computer Simulation of Phase Transitions in Thin Films with an Antidote Lattice // Coatings. 2022. V. 12. P. 1526.
- Belim S.V., Simakova S.S., Tikhomirov I.V. Effect of disorder on phase transitions in antidote lattice thin films: computer simulations // Letters Mater. 2023. V. 13(4). P. 304–307.
- Waldman M., Hagler A.T. New combining rules for rare gas van der Waals parameters // J. Comput. Chem. 1993. V. 14. P. 1077–1084.
- Binder K. Critical Properties from Monte-Carlo Coarse-Graining and Renormalization // Phys. Rev. Lett. 1981. V. 47. P. 693.
- Landau D.P., Binder K. Phase Diagrams and Multicritical Behavior of a Three-Dimensional Anisotropic Heisenberg Antiferromagnet // Phys. Rev. B. 1978. V. 17. P. 2328–2342.
- Babaev A.B., Murtazaev A.K. The tricritical point of the site-diluted three-dimensional 5-state Potts model // J. Magn. Magn. Mater. 2022. V. 563. P. 169864.
- Бабаев А.Б., Муртазаев А.К. Моделирование трехкомпонентной модели Поттса на гексагональной решетке методом Монте–Карло // ФММ. 2023. Т. 124(7). С. 577–583.
- Kulesh N.A., Vázquez M., Lepalovskij V.N., Vas’kovskiy V.O. Antidot patterned single and bilayer thin films based on ferrimagnetic Tb–Co alloy with perpendicular magnetic anisotropy // Nanotechnology 2018. V. 29(6). P. 065301.
Дополнительные файлы












