Optical resonators based on vanadium dioxide gradient films
- Authors: Syrov A.A.1, Lyashko S.D.1, Kudryashov A.L.1, Nauhatsky I.A.1, Berzhansky V.N.1, Tomilin S.V.1
-
Affiliations:
- V. I. Vernadsky Crimean Federal University
- Issue: Vol 125, No 12 (2024)
- Pages: 1494-1500
- Section: ЭЛЕКТРИЧЕСКИЕ И МАГНИТНЫЕ СВОЙСТВА
- URL: https://ogarev-online.ru/0015-3230/article/view/283741
- DOI: https://doi.org/10.31857/S0015323024120049
- EDN: https://elibrary.ru/IJLPFM
- ID: 283741
Cite item
Full Text
Abstract
The article presents experimental results of the synthesis and study of thin films of polycrystalline vanadium dioxide (VO2), as well as multilayer optoresonance structures based on them. The role of the influence of thermal annealing on the structural, electrical and optical properties of VO2 films is shown. Based on these films, photonic crystal heterostructures were fabricated, in which excitation of optical resonance modes of the Fabry–Perot type is observed. A study of the optical transmission of such a structure showed that the spectral position of the Fabry–Perot mode can be controlled by varying the thickness of the VO2 gradient optical layer. It is shown that the first-order semiconductor-metal phase transition, which occurs in VO2 films and is accompanied by a change in their electrical conductivity by 3–5 orders of magnitude, leads to a change in the optical parameters of both the films themselves and multilayer optoresonance structures.
Full Text
ВВЕДЕНИЕ
Системы с перестраиваемыми свойствами представляют большой фундаментальный и прикладной интерес. В таких системах изменение электронной структуры под действием внутренних и внешних факторов приводит к изменению электрических, оптических и других характеристик [1]. Не меньший интерес представляют системы с сильной анизотропией оптических, магнитных свойств [2, 3], а также системы, в которых реализуются фазовые переходы “металл — изолятор” (например, перколяционный переход в композитных системах [4]). Непосредственный фазовый переход “металл — изолятор” (“металл — полупроводник”), связанный с изменением кристаллической и электронной структуры, демонстрирует диоксид ванадия VO2.
В последнее десятилетие мировой научный интерес к диоксиду ванадия (VO2) обусловлен исследованиями интеграции материалов с перестраиваемыми электрическими или оптическими свойствами, позволяющими дополнительно контролировать характеристики материалов. Оксид ванадия является перспективным материалом, в котором наблюдается резкое изменение физических характеристик, возникающее в результате обратимого структурно-фазового перехода первого рода “полупроводник – металл” в этом материале при температуре около 67°C [5]. Суть данного фазового перехода в диоксиде ванадия VO2 заключается в изменении типа кристаллической решетки с моноклинной (низкотемпературная полупроводниковая фаза) на тетрагональную (высокотемпературная металлическая фаза) [6]. Это свойство диоксида ванадия открывает множество возможностей в прикладном и фундаментальном плане. Нелинейные эффекты в оптике находят применение в широком спектре практических задач, от узкополосного радиочастотного зондирования до оптической коммутации. В частности, для широкого применения в устройствах передачи данных, электромеханических системах, системах генерации тепловых модуляций и для задач формирования волнового фронта [6–12].
При фазовом переходе первого рода в тонких пленках VO2 симметрия кристаллической решетки изменяется, в результате чего происходит изменение энергетической зонной структуры кристалла, что приводит к изменению электрических и оптических постоянные материала. Точку фазового перехода можно изменять с помощью легирования или за счет интеграции наночастиц [6]. Во время фазового перехода электропроводность пленок VO2 увеличивается на 3–5 порядков. При этом изменяются и оптические свойства: показатель преломления уменьшается от 2.5 до 2 [5].
Температура фазового перехода, температурная ширина перехода и гистерезис в тонкой пленке VO2 будут сильно зависеть от микроструктуры (в частности, ориентации зерен) и от напряжений, вызванных механическими и температурными деформациями [13].
Подобные уникальные свойства диоксида ванадия позволяют использовать его в виде термоуправляемых оптических слоев в фотонных резонаторах (фотонных кристаллах). Слои VO2 могут как встраиваться в периодическую структуру фотонного кристалла [14, 15], так и выступать в качестве оптического функционального слоя в резонаторах типа Фабри–Перо [16]. Теоретическое исследование свойств подобных фотонно-кристаллических структур с использованием моделей эффективной среды [14, 15] и метода матриц переноса [16] показывает возможность термоуправления характеристиками таких структур за счет изменения свойств функциональных слоев VO2 при фазовом переходе “полупроводник – металл”. Практическая же реализация подобных оптических резонаторов на основе тонких слоев диоксида ванадия для микро- и нанофотоники является актуальной прикладной задачей.
Соответственно, настоящая работа посвящена экспериментальному синтезу и исследованию свойств функциональных слоев диоксида ванадия (VO2) и оптических резонаторов типа Фабри–Перо на их основе.
ЭКСПЕРИМЕНТАЛЬНЫЙ СИНТЕЗ
В настоящей работе синтез образцов диоксида ванадия и функциональных оптических слоев выполнен на вакуумной установке для нанесения слоев методом магнетронного распыления “МВУ ТМ Магна 09” (НИИ ТМ, Зеленоград). Распыление мишеней исходного материала VO2, SiO2 и TiO2 (диаметр 76 мм, чистота 99.95%) проводили с помощью ВЧ-магнетронов (13.6 МГц, 150 Вт) в плазме Ar+ (6.6 ∙ 10−1 Па). Для отработки методики и исследования свойств функциональных слоев VO2 осаждение осуществляли на разогретые сапфировые подложки (Al2O3, ориентация [–1, 1, –2] с двусторонней полировкой) при температурах 475 и 550°C, скорость осаждения 2.5 нм/мин, толщина слоев 220 нм. Нагрев подложек реализован бесконтактно с помощью галогенных ламп мощностью 600 Вт.
Для получения оптимальных однородных кристаллизованных структур VO2 и улучшения электрофизических и оптических свойств, а также релаксации внутренних напряжений пленки, после осаждения проводили послеростовой термический отжиг образцов в течение 120 мин в атмосфере O2 (P = 6·10-3 Па) при температуре 475 и 550°C, аналогично температуре подложки при осаждении.
Исследование фазового перехода “полупроводник–металл” в синтезированных тонких пленках VO2 проводили путем измерения температурной зависимости электропроводности по стандартной двухзондовой методике. Экспериментальный измерительный стенд с прижимными протяженными контактами Au обеспечивает измерение сопротивления пленки при ее циклическом нагреве от комнатной температуры до 100°C с шагом 2°С, с последующим остыванием, что позволяет оценить температуру фазового перехода и исследовать температурный гистерезис проводимости.
Непосредственно кристаллизация пленки VO2 в моноклинную фазу в результате послеростового отжига экспериментально подтверждена результатами рентгенофазового анализа на дифрактометре ДРОН-3 с цифровым интерфейсом.
Оптические свойства пленок VO2 и фотонных резонаторов на их основе исследовали на спектрофотометре КФК-3 на основе оптической схемы Черни–Тернера (диапазон 400 – 950 нм, разрешение 2 нм).
ИССЛЕДОВАНИЕ ТОНКИХ ПЛЕНОК VO2
Для исследования влияния фазового перехода на электрофизические параметры в полученных образцах тонких пленок VO2 измерена температурная зависимость электропроводности (рис. 1).
Рис. 1. Температурный гистерезис электропроводности в пленке VO2 толщиной 220 нм: а — после вакуумного напыления, б — после кристаллизационного отжига.
Как показано на рис. 1а, для пленки непосредственно после напыления, которую не подвергали термическому отжигу, изменение электропроводности составляет всего 1.5 порядка величины, при этом точка фазового превращения при характерной температуре 68–69°С явно не выражена. Видно, что при циклическом нагреве–охлаждении образца наблюдается петля температурного гистерезиса проводимости шириной примерно 6°С.
На рис. 1б показана петля термогистерезиса электропроводности в пленке VO2 после термической обработки. Можно видеть, что изменение электропроводности в точке фазового перехода составляет более четырех порядков величины: от 0.01 мС при 70°С до 100 мС при 90°С и более. Ширина петли гистерезиса после отжига сохранилась в пределах 6–7°C.
Увеличение скачка проводимости в точке фазового перехода вызвано изменением его структурно-фазового состава в результате отжига в окислительной среде, который приводит к рекристаллизации пленки. Авторы [13, 17] связывают величину скачка проводимости при фазовом переходе с ростом размеров кристаллитов и, как следствие, понижением внутреннего напряжения в пленке.
На рис. 2 представлены результаты рентгеновского дифракционного анализа пленки VO2 на подложке Al2O3 до и после кристаллизационного отжига. Для сравнения представлена также рентгенограмма чистой сапфировой подложки.
Рис. 2. Результаты рентгеновского дифракционного анализа пленки VO2 на подложке Al2O3 (λ = 1.78897 Å, Kα1, анод Co).
Характерные пики на 29.78 и 61.86 градусах соответствуют дифракции от монокристаллической сапфировой подложки и соответствуют семействам плоскостей отражения [–1, 1, –2] и [–2, 2, –4]. Пик на 45.79 градуса соответствует семейству плоскостей [–3, –1, –1] в пленке VO2 [18]. Данный пик отсутствует на рентгенограмме чистой подложки Al2O3 (все остальные пики присутствуют на всех рентгенограммах). Видно, что в пленке оксида ванадия непосредственно после напыления присутствует слабый рефлекс [–3, –1, –1], который становится существенно более выраженным после кристаллизационного отжига. Данная симметрия относится к моноклинной сингонии, характерной для низкотемпературной полупроводниковой фазы VO2.
Анализ средних размеров кристаллитов по ширине рефлекса на полувысоте дал значения 22.8 нм для неотожженной пленки и 51.5 нм для отожженной. Данный результат хорошо коррелирует с результатами работ [13, 17].
В табл. 1 приведены сравнительные параметры для двух образцов тонких пленок VO2. В данном случае толщина пленок была одинаковой, но отличалась температура синтеза. Видно, что при меньшей температуре синтеза и отжига (475°С) величина изменения проводимости при фазовом переходе на порядок меньше, чем при большей температуре (550°С).
Таблица 1. Параметры синтезированных образцов тонких пленок VO2
Образец | Синтез Ts, °С | σmin, мС | σmax, мС | σmax/σmin | Гистерезис ∆T,°С |
475 (до отжига) | 475 | 11.3 | 571.4 | 50.6 | 10 |
475_120 (после отжига) | 1.4·10−3 | 8.2 | 5.9·103 | 6 | |
550 (до отжига) | 550 | 3.7 | 86.1 | 23.3 | 6 |
550_120 (после отжига) | 1.5·10−3 | 91.4 | 6.1·104 | 6 |
На рис. 3 показаны спектры оптического пропускания образца пленки VO2 толщиной 220 нм на подложке Al2O3 до отжига (сплошная линия) и отожженного (пунктирная линия). Спектры пропускания показывают увеличение коэффициента пропускания Т в 1.35 раза на краю видимой области и дальнейшее его увеличение в длинноволновой области спектра.
Рис. 3. Спектры пропускания тонкой пленки VO2 до отжига (сплошная линия) и после отжига (штриховая линия).
ОПТИЧЕСКИЕ РЕЗОНАТОРЫ
На основе функциональных слоев VO2 синтезированы многослойные структуры типа фотонных кристаллов (ФК), в которых слой VO2 заключен между двумя зеркалами Брэгга и играет роль оптического дефекта. Толщина слоя VO2 составляет половину длины волны света и нарушает четвертьволновую периодичность фотонного кристалла. Синтез ФК проводили методом вакуумного напыления, при котором четыре пары слоев SiO2/TiO2 осаждали на полированную подложку из монокристалла гадолиний галлиевого граната Gd3Ga5O12 (GGG), формируя нижнее зеркало Брэгга. Толщины структурных слоев брэгговских зеркал для SiO2 и TiO2 соответственно равны 110 нм и 71 нм.
Поверх нижнего брэгговского зеркала напыляли слой VO2. В процессе напыления функционального слоя VO2 применяли методику синтеза покрытия с градиентом толщины вдоль выбранного направления, что позволяет получать на различных участках образца различную толщину слоя [19]. В данной методике градиент толщины покрытия формируется в результате напыления в неоднородном потоке вещества, который образуется при огибании механических препятствий. Толщина VO2 в пределах образца на длине 10 мм варьировалась от 125 до 135 нм, что соответствует градиенту толщины 1 нм/мм. Кристаллизацию слоя VO2 осуществляли посредством отжига в атмосфере O2 (P = 6·10−3 Па) при температуре 550°C в течение 120 мин.
Результаты исследования температурного гистерезиса проводимости при фазовом переходе в оптическом слое VO2 на разных участках градиента толщины показаны на рис. 4.
Рис. 4. Температурные петли гистерезиса электропроводности оптического слоя VO2 в различных участках градиента толщины: а – h = 134 нм; б — h = 131 нм; в — h = 128 нм.
Видно, что изменение электропроводности функционального слоя VO2 на всех участках градиента толщины в области фазового перехода (от 70 до 85°С) составляет около трех порядков величины. Ширина петли температурного гистерезиса проводимости практически не зависит от толщины слоя VO2 и составляет 10 – 11°С. Различия наблюдаются лишь в абсолютном значении проводимости на различных участках градиента, что обусловлено толщиной проводящего слоя.
Поверх кристаллизованного слоя VO2 формировали второе 4-парное зеркало Брэгга TiO2/SiO2 с параметрами, аналогичными нижнему зеркалу. Таким образом, структура фотонного кристалла с оптическим дефектом VO2 может быть описана формулой GGG/[SiO2/TiO2]4/VO2/[TiO2/SiO2]4. В таком виде фотонный кристалл представляет собой оптический резонатор Фабри–Перо.
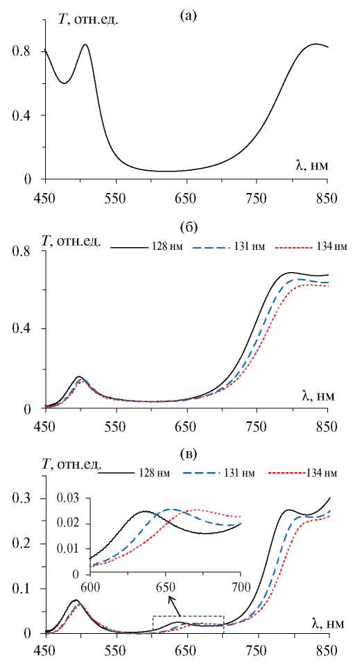
На рис. 5 показаны спектры оптического пропускания фотонного резонатора Фабри–Перо GGG/[SiO2/TiO2]4/VO2/[TiO2/SiO2]4 на всех стадиях синтеза. Так, на рис. 5а показан спектр пропускания “нижнего” зеркала Брэгга GGG/[SiO2/TiO2]4 до напыления слоя VO2. Видно, что в спектре присутствует четко выраженная фотонная запрещенная зона (ФЗЗ) на спектральном участке 500–800 нм.
Рис. 5. Спектры пропускания фотонно-кристаллической структуры с оптическим дефектом GGG/[SiO2/TiO2]4/VO2/[TiO2/SiO2]4 на разных этапах синтеза при комнатной температуре: а — 4-парное зеркало Брэгга GGG/[SiO2/TiO2]4; б — структура с оптическим слоем GGG/[SiO2/TiO2]4/VO2; в — фотонный кристалл с оптическим дефектом в различных участках градиента толщины VO2 (на вставке показан участок в увеличенном масштабе).
После нанесения поверх зеркала Брэгга оптического слоя VO2 (рис. 5б) левый край ФЗЗ стал существенно ниже, чем правый, что связано с сильным поглощением в слое VO2 (см. рис. 3).
При этом внутри самой ФЗЗ какие-либо изменения (резонансные моды) отсутствуют. После нанесения второго зеркала Брэгга, состоящего из 4 пар слоев TiO2/SiO2, в спектрах пропускания в видимой и ближней ИК-области фотонного кристалла GGG/[SiO2/TiO2]4/VO2/[TiO2/SiO2]4 с оптическим дефектом наблюдаются следующие изменения (рис. 5в). Внутри ФЗЗ появляются разрешенные оптические состояния (пики пропускания), связанные с возбуждением резонансных мод типа Фабри–Перо на длинах волн 635, 651 и 667 нм.
Спектральное положение пика такой микрорезонаторной моды определяется толщиной оптического слоя (дефекта) VO2 и связано с условием формирования стоячей волны внутри слоя. Соответственно увеличение толщины слоя VO2 приводит к “красному” спектральному сдвигу резонансного пика моды Фабри–Перо.
ВЫВОДЫ
В работе представлены экспериментальные результаты синтеза тонких пленок диоксида ванадия VO2, которые при нагревании испытывают фазовый переход I рода “полупроводник–металл”, сопровождающийся изменением электропроводности пленки на 3 – 5 порядков величины и, как следствие, изменением оптических параметров.
На основе градиентной пленки VO2 изготовлена фотонно-кристаллическая структура с оптическим дефектом (оптический резонатор Фабри–Перо), в которой наблюдается возбуждение резонансных мод в виде стоячих волн внутри оптического слоя VO2. Исследование оптического пропускания такой структуры показало, что спектральным положением моды Фабри–Перо можно управлять за счет варьирования толщины оптического слоя-дефекта VO2 при пространственном перемещении оптического луча вдоль градиента толщины.
Практический интерес может представлять возможность температурного управления модами Фабри–Перо за счет изменения проводимости оптического слоя VO2 и связанной с ней диэлектрической проницаемости при фазовом переходе, что приведет к изменению оптической толщины слоя и спектральному сдвигу резонанса.
Работа выполнена при финансовой поддержке гранта Государственного Совета Республики Крым, постановление № п653-2/23 от 30.01.2023.
Авторы данной работы заявляют, что у них нет конфликта интересов.
About the authors
A. A. Syrov
V. I. Vernadsky Crimean Federal University
Author for correspondence.
Email: anatoly199824@rambler.ru
Russian Federation, Simferopol
S. D. Lyashko
V. I. Vernadsky Crimean Federal University
Email: anatoly199824@rambler.ru
Russian Federation, Simferopol
A. L. Kudryashov
V. I. Vernadsky Crimean Federal University
Email: anatoly199824@rambler.ru
Russian Federation, Simferopol
I. A. Nauhatsky
V. I. Vernadsky Crimean Federal University
Email: anatoly199824@rambler.ru
Russian Federation, Simferopol
V. N. Berzhansky
V. I. Vernadsky Crimean Federal University
Email: anatoly199824@rambler.ru
Russian Federation, Simferopol
S. V. Tomilin
V. I. Vernadsky Crimean Federal University
Email: anatoly199824@rambler.ru
Russian Federation, Simferopol
References
- Силантьев А.В. Влияние деформации на энергетический спектр и оптические свойства фуллерена C20 в модели Хаббарда // ФММ. 2018. Т. 119. Вып. 6. С. 541–549.
- Махнев А.А., Номерованная Л.В. Анизотропия оптических свойств гексагональных манганитов RMnO3 (R = Ho, Er, Tm, Yb) // ФММ. 2013. Т. 114. Вып. 11. С. 988–996.
- Кодесс Б.Н., Сидоренко Ф.А. Анизотропия магнитной восприимчивости силицида V3Si // Физика металлов и металловедение. 2021. Т. 122. Вып. 4. С. 370–376.
- Старостенко С.Н., Розанов К.Н., Лагарьков А.Н. Электрические и магнитные свойства “модели смешения бинарных гетерогенных систем” // ФММ. 2021. Т. 122. Вып. 4. С. 347–369.
- Sangwook L., Kedar H., Fan Y., Jiawang H., Changhyun K., Joonki S., Kai L., Kevin W., Jeffrey U.J. Anomalously low electronic thermal conductivity in metallic vanadium dioxide // Science. 2017. V. 355. P. 371–374.
- Мутилин С.В., Гайдук А.Е., Яковкина Л.В., Комонов А.И., Соотс Р.А., Капогузов К.Е., Голод С.В., Принц В.Я. Электрические и оптические переключения в наноструктурах диоксида ванадия, декорированных наночастицами золота // Сибирский физич. журнал. 2023. Т. 18. Вып. 3. С. 71–82.
- Ilinskiy A.V., Nikulin E.I., Shadrin E.B. Comparative analysis of semiconductor-metal phase transition mechanisms in vanadium oxides (V2O3 and VO2) // Physics of Complex Systems. 2020. V. 1 (3). Р. 113–122.
- Неустроев И.Д., Легкова Т.К., Цымбалюк А.А., Комлев А.Е. Тонкие пленки диоксида ванадия для применения в СВЧ-ключах с электрическим управлением // Изв. вузов. Радиоэлектроника. 2023. T. 26. Вып. 3. С. 48–57.
- Кузьмин Д.А., Усик М.О., Бычков И.В., Вахитов М.Г., Клыгач Д.С. Отражение СВЧ-волн от слоя композита VO2–SiO2 в окрестности фазового перехода // Челябинский физико-математический журнал. 2023. T. 8. Вып. 2. С. 271–279.
- Cueff S., John J., Zhang Zh., Parra J., Sun J., Orobtchouk R., Ramanathan Sh., Sanchis P. VO2 nanophotonics // APL Photon. 2020. V. 5. P. 110901.
- Cakir M.C., Kocer H., Durna Y., Yildirim D.U., Ghobadi A., Hajian H., Aydin K., Kurt H., Saglam N., Ozbay E. Unveiling the optical parameters of vanadium dioxide in the phase transition region: a hybrid modeling approach // RSC Advances. 2020. V. 10. P. 29945.
- Grandi F., Amaricci A., Fabrizio M. Unraveling the Mott-Peierls intrigue in vanadium dioxide // Phys. Rev. Research. 2020. V. 2. P. 013298.
- Алиев Р.А., Андреев В.Н., Капралова В.М., Климов В.А., Соболев А.И., Шадрин Е.Б. Влияние размера зерен на фазовый переход металл–полупроводник в тонких поликристаллических пленках диоксида ванадия // ФТТ. 2006. Т. 48. Вып. 5. С. 874–879.
- Gnawali R., Haus J.W., Reshetnyak V., Banerjee P.P., Evans D.R. Optical properties of titanium dioxide — vanadium dioxide multilayer thin-film structures // IEEE Research and Applications of Photonics In Defense Conference. 2018. Р. 91–92.
- Певцов А.Б., Грудинкин С.А., Поддубный А.Н., Каплан С.Ф., Курдюков Д.А., Голубев В.Г. Переключение фотонной запрещенной зоны в трехмерных пленочных фотонных кристаллах на основе композитов опал − VO2 в спектральной области 1.3 − 1.6 мкм // Физика и техника полупроводников. 2010. Т. 44. Вып. 12. С. 1585–1590.
- Scotognella F. Vanadium oxide metal-insulator phase transition in different types of one-dimensional photonic microcavities // Front. Photonics. 2023. V. 4. Р. 1081521.
- Bruckner W., Opperman H., Reichelt W.F., Terukov E.I., Tschudnovskii F.A. Vanadium Dioxide. Berlin: Akademie-Verlag, 1994. V. 1983. 252 p.
- Ho D.J., Seob H.S., Hee K.K., Woo J.P., Hosun L. Electrical and optical properties of VO2 thin films grown on various sapphire substrates by using RF sputtering deposition // Journal of the Korean Physical Society. 2016. V. 69 (12). Р. 1787–1797.
- Tomilin S.V., Berzhansky V.N., Yanovsky A.S., Tomilina O.A. Features of the Electrical Conductivity of Fe, Ni, Ti, and Pt Nanoisland Films: Hysteresis and Ion-Field Processes // J. Surf. Investigation: X-ray, Synchrotron and Neutron Techniques. 2016. V. 10 (4). P. 868.
Supplementary files






