Magnetic and Magnetocaloric Properties of Bulk and Rapidly Quenched GdTbDyHoEr high-entropy alloys
- Authors: Svalov A.V.1, Neznakhin D.S.2, Arkhipov A.V.1, Andreev S.V.2, Rusalina A.S.2, Medvedev A.I.3, Beketov I.V.2,3, Pasynkova A.A.2,4, Kurlyandskaya G.V.2
-
Affiliations:
- Ural Federal University named after the First President of Russia B. N. Yeltsin
- Ural Federal University
- Institute of Electrophysics, Ural Branch, Russian Academy of Sciences
- Mikheev Institute of Metal Physics, Ural Branch, Russian Academy of Sciences
- Issue: Vol 125, No 12 (2024)
- Pages: 1487-1493
- Section: ЭЛЕКТРИЧЕСКИЕ И МАГНИТНЫЕ СВОЙСТВА
- URL: https://ogarev-online.ru/0015-3230/article/view/283740
- DOI: https://doi.org/10.31857/S0015323024120037
- EDN: https://elibrary.ru/IJPGMU
- ID: 283740
Cite item
Full Text
Abstract
The bulk GdTbDyHoEr magnetic high-entropy alloy is prepared by induction melting; the same alloy in the form of ribbons is prepared by rapid quenching from the melt. Peculiarities of the structure and magnetic and magnetocaloric properties of these materials are analyzed. The both states of the alloy are characterized by the hexagonal structure. The magnetic entropy change ΔSM is determined using measured magnetic isotherms and Maxwell’s relations. The maximum ΔSM is observed at 175 K and, for a magnetic field change of 2 T, it is 1.8 and 2.6 J/kg К for the bulk and rapidly quenched alloys, respectively. Taking into account the determined parameters of magnetocaloric effect, the alloys show promise as materials for applications in magnetic refrigeration devices.
Full Text
ВВЕДЕНИЕ
Магнитное охлаждение рассматривается в качестве перспективной и востребованной технологии как с экономической, так и экологической точек зрения [1]. Процесс магнитного охлаждения осуществляется на основе магнитокалорического эффекта (МКЭ), заключающегося в обратимом изменении температуры магнитного материала под действием внешнего магнитного поля [2]. Эффективность магнитного охлаждения зависит от свойств материала, используемого в качестве твердотельного хладагента, основными из которых являются величина адиабатического изменения температуры, величина изменения магнитной части энтропии и хладоемкость [1–3]. В свою очередь, эти величины во многом определяются типом магнитного фазового перехода (первого или второго рода), происходящего в материале хладагента, и особенностями этого перехода [4]. Наиболее перспективными материалами с точки зрения МКЭ считаются тяжелые редкоземельные элементы, имеющие наибольшие значения магнитных моментов, а также системы на их основе [5, 6]. В последнее время разработка новых эффективных магнитокалорических материалов проводится и с учетом концепции высокоэнтропийных сплавов (ВЭС). В рамках данной концепции пять и более металлических компонентов, взятых в равных мольных долях, могут образовывать однофазный кристаллический сплав. При этом атомы разных типов располагаются в узлах кристаллической решетки случайным образом. ВЭС является разупорядоченным твердым раствором замещения, в котором для каждого типа атомов дальний порядок отсутствует. Неупорядоченное положение всех атомов в узлах кристаллической решетки приводит к повышенной конфигурационной энтропии такой фазы. Кроме того, высокоэнтропийные сплавы обладают улучшенными механическими свойствами [7]. Начавшиеся сравнительно недавно исследования магнитокалорических свойств ВЭС на основе тяжелых редкоземельных элементов продемонстрировали перспективность данных материалов как рабочего тела магнитных рефрижераторов в определенном интервале температур [8]. Этому способствуют как присущая редкоземельным элементам большая величина изменения магнитной части энтропии, так и, для некоторых из них, наличие двух последовательных фазовых переходов при уменьшении температуры: парамагнетик–геликоидальный антиферромагнетик и геликоидальный антиферромагнетик–ферромагнетик, следствием чего является увеличение хладоемкости [9–11]. В настоящее время предпринимаются попытки повысить эффективность МКЭ в высокоэнтропийных сплавах на основе тяжелых редкоземельных элементов путем варьирования их элементного состава [12–14].
Эффективность магнитного холодильника определяется не только материалом его рабочего тела, но и формой, в которой он представлен. Металлическая лента — одна из наиболее востребованных форм материала для конструирования рабочего тела, так как она позволяет достичь высокой эффективности теплообмена благодаря большой удельной площади поверхности [15–17]. Активно используемым способом получения металлических лент является метод спиннингования, позволяющий получать быстрозакаленные сплавы в виде ленты путем закалки из жидкого состояния на вращающийся охлаждающий диск [18, 19]. Однако, как это было показано на примере лент Dy, быстрая закалка тяжелых редкоземельных элементов может приводить к снижению температуры магнитных фазовых переходов и уменьшению максимального значения магнитокалорического эффекта. Возможной причиной этого называют большое количество интерфейсных атомов в нанокристаллических лентах с меньшим числом атомов ближайших соседей [20].
Настоящая работа посвящена сравнительному исследованию особенностей кристаллической структуры, магнитных и магнитокалорических свойств высокоэнтропийного сплава GdTbDyHoEr в объемном и быстрозакаленном состоянии.
ОБРАЗЦЫ И МЕТОДИКА ЭКСПЕРИМЕНТА
Высокоэнтропийный магнитный сплав GdTbDyHoEr был приготовлен индукционным плавлением в атмосфере аргона исходных металлических компонентов, взятых в равных долях. Быстрозакаленные ленты того же состава были получены методом спиннингования. Закалку проводили на поверхности медного диска в защитной атмосфере аргона. Линейная скорость вращения диска в момент разливки была 10 м/с. Ширина и толщина полученной ленты составляли 3 мм и 100 мкм, соответственно.
Рентгенофазовый анализ исходного (объемного) сплава GdTbDyHoEr и быстрозакаленной ленты того же состава осуществляли на дифрактометре D8 DISCOVER (излучение Cu Kα1,2, λ=1.542 Å), обработка дифрактограмм выполнена с использованием программы полнопрофильного анализа TOPAS 3 (Bruker, Германия).
Магнитные измерения проводили на базе измерительного комплекса РРМS DynaCool 9T. Измеряли как температурные зависимости намагниченности M(T), так и кривые намагничивания при разных температурах в температурном интервале от 25 до 220 K при амплитуде внешнего магнитного поля до 9 Тл.
РЕЗУЛЬТАТЫ И ОБСУЖДЕНИЕ
Рентгенофазовый анализ показал, что сплав GdTbDyHoEr в объемном состоянии имеет гексагональную структуру (пространственная группа P63/mmc) (рис. 1). Кроме того, на дифрактограмме присутствуют линии, относящиеся к другим фазам. Наиболее яркие из этих линий отмечены на дифрактограмме красными квадратами. Малая интенсивность линий не позволяет определить соответствующие им фазы. Это может быть твердый раствор редкоземельных элементов с симметрией Fm-3m [21]. Чаще же считается, что эти линии относятся к сложному оксиду редкоземельных металлов типа R2О3 [13]. Добавим, что содержание примесей не превышало 5 мас.%. Средний размер кристаллитов, определенный по формуле Шеррера с использованием параметров самого интенсивного пика (2q = 32.7°), составил 27 ± 3 нм.
Анализ дифрактограмм лент не выявил заметных изменений структуры сплава GdTbDyHoEr в быстрозакаленном состоянии (рис. 1), только величина среднего размера кристаллитов уменьшилась до 21 ± 2 нм.
Рис. 1. Дифрактограмма сплава GdTbDyHoEr в объемном (1) и быстрозакаленном состоянии (2). Красными квадратами обозначены наиболее интенсивные линии неустановленной фазы.
На рис. 2 показаны температурные зависимости намагниченности M(T) сплава, измеренные при охлаждении образцов от температуры 300 K в поле m0H = 0.01 Tл. На каждой зависимости наблюдается локальный максимум вблизи температуры T ≈ 175 K, обусловленный фазовым переходом второго рода из парамагнитного состояния (ПМ) в состояние геликоидального антиферромагнетика (ГАФМ) [9]. Указанная температура близка к температуре фазового ПМ–ГАФМ-перехода в диспрозии — температуре Нееля TN = 179 K [9, 11], а также значениям TN для сплава GdTbDyHoEr, полученным в других работах [8, 14].
Рис. 2. Зависимости магнитного момента от температуры сплава GdTbDyHoEr в объемном (1) и быстрозакаленном состояниях (2), измеренные при охлаждении образца в поле m0H = 0.01 Tл. На вставке более подробно показаны зависимости M(T) вблизи температуры магнитного фазового перехода “парамагнетик–геликоидальный антиферромагнетик”.
Для всех составляющих редкоземельных элементов данного сплава, за исключением Gd, известно, что при T < TN в отсутствие внешнего магнитного поля при определенной температуре происходит фазовый переход, который в первом приближении можно охарактеризовать как переход из ГАФМ в ферромагнитное (ФМ) состояние [22]. Внешнее магнитное поле способствует разрушению геликоидальной антиферромагнитной структуры и формированию ферромагнитной структуры. При этом температура ГАФМ–ФМ-перехода повышается при увеличении величины магнитного поля [9]. Кроме того, недавно было показано, что в упомянутых тяжелых редкоземельных элементах переход ГАФМ–ФМ осуществляется через формирование различных промежуточных магнитных фаз, температурный диапазон существования которых зависит от величины внешнего магнитного поля [23]. Таким образом, наблюдаемый рост намагниченности на зависимостях M(T) при T < 150 K (рис. 2) можно связать с размытым по температуре сложным фазовым переходом ГАФМ–ФМ.
Наличие магнитных фазовых переходов при изменении температуры подтверждается и особенностями на кривых намагничивания, измеренных при разных температурах. На рис. 3 показаны некоторые зависимости M(H) для объемного сплава GdTbDyHoEr. В интервале температур примерно от 150 K до 100 K на кривых намагничивания линейный участок в малых полях сменяется более быстрым увеличением намагниченности M в больших полях, свидетельствуя о метамагнитном переходе ГАФМ–ФМ, индуцированном внешним магнитным полем.
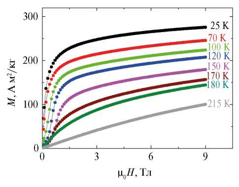
Рис. 3. Кривые намагничивания для объемного сплава GdTbDyHoEr, измеренные при разных температурах (а). Вид тех же кривых намагничивания в области относительно малых магнитных полей (б).
Рис. 4. Кривые намагничивания для сплава GdTbDyHoEr в быстрозакаленном состоянии, измеренные при разных температурах.
Аналогичная картина наблюдается для сплава GdTbDyHoEr в быстрозакаленном состоянии. На рис. 4 в качестве примера приведены кривые намагничивания M(H) для некоторых наиболее характерных температур. При этом в области температур метамагнитного перехода ГАФМ–ФМ воздействие внешнего магнитного поля в случае быстрозакаленной ленты оказывается более эффективным (рис. 5). На вставке рис. 5 показан способ определения величины критического поля Hcr, при которой начинает разрушаться магнитная структура ГАФМ, как точка пересечения двух прямых, являющихся экстраполяциями двух участков кривой намагничивания. При T = 150 K величина Hcr составила 0.7 Тл и 0.5 Тл для сплава GdTbDyHoEr в объемном и быстрозакаленном состояниях соответственно. Изменение магнитной части энтропии SM было определено по данным измерений магнитных изотерм на основе соотношения Максвелла:
, (1)
где Н — магнитное поле, М — намагниченность, Т — температура.
Рис. 5. Кривые намагничивания для сплава GdTbDyHoEr в объемном и быстрозакаленном состояниях, измеренные при T = 150 K. На вставке показан способ определения Hcr.
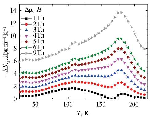
На рис. 6 представлены температурные зависимости –SM(T) объемного сплава GdTbDyHoEr для различных амплитуд изменения внешнего поля m0H. Видно, что при m0H < 4 Tл на кривых –SM(T) наблюдается локальный минимум при T ~ 160 K. Подобный характер зависимостей наблюдали для редкоземельных элементов, в частности, для Dy и Tm [9]. Пик вблизи TN связан с тем, что происходит выделение тепла вследствие возрастания степени магнитного порядка под действием внешнего магнитного поля и уменьшения энтропии магнитной подсистемы, что в свою очередь приводит к возрастанию энтропии кристаллической решетки. При более низких температурах внешнее поле способствует не только увеличению степени магнитного порядка, но и разрушению антиферромагнитной структуры, что сопровождается поглощением тепла. В интервале температур от TN до 160 K эффект разрушающего действия поля преобладает, что приводит к уменьшению величины –SM(T), а для m0H = 1 Tл в узком интервале температур наблюдается даже отрицательный МКЭ. При дальнейшем понижении температуры увеличение степени порядка в результате воздействия поля на разрушающуюся антиферромагнитную структуру становится преобладающим, и –SM(T) снова увеличивается. При m0H ≥ 4 Tл поле подавляет образование фазы ГАФМ, поэтому при понижении температуры реализуется фазовый переход ПМ–ФМ, минуя фазу ГАФМ, а зависимость –SM(T) приобретает типичный для такого фазового перехода вид с одним максимумом.
Рис. 6. Температурная зависимость изменения магнитной части энтропии объемного сплава GdTbDyHoEr.
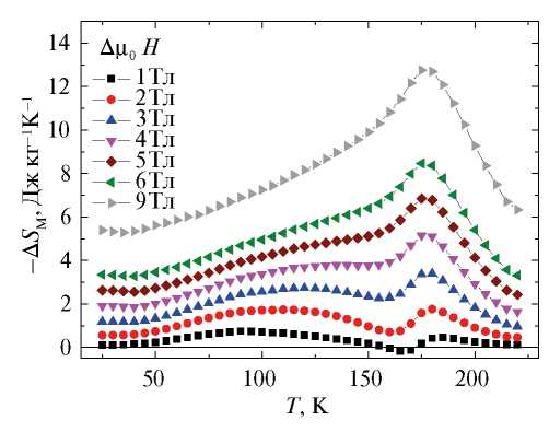
Температурные зависимости –DSM(T) сплава GdTbDyHoEr в быстрозакаленном состоянии характеризуются аналогичными особенностями, только величина поля, при которой исчезает локальный минимум вблизи T ~ 160 K уменьшается и составляет примерно 3 Тл (рис. 7). Кроме того, при m0H = 1 Tл наблюдается только положительный МКЭ, хотя при T ~ 160 K величина –SM(T) уменьшается до нуля. Полевые зависимости максимальной величины изменения магнитной части энтропии для сплава GdTbDyHoEr (рис. 8) свидетельствуют, что для быстрозакаленного состояния величина –SM max больше.
Рис. 7. Температурная зависимость изменения магнитной части энтропии сплава GdTbDyHoEr в быстрозакаленном состоянии.
Рис. 8. Полевые зависимости изменения магнитной части энтропии и хладоемкости сплава GdTbDyHoEr в объемном и быстрозакаленном состояниях.
Эффективность рабочего тела магнитного холодильника определяется не только величиной DSM max, но и так называемой хладоемкостью, RC, показывающей количество теплоты, передаваемое при охлаждении 1 кг материала за один термодинамический цикл при определенном изменении магнитного поля [1, 17]. Величина RC рассчитывается в процессе интегрирования как площадь под кривой –ΔSM(T). При этом пределами интегрирования служат температуры на половине высоты пика:
, (2)
где T1 и T2 — температуры, соответствующие величине –ΔSM(T) на половине высоты пика. Для быстрозакаленного состояния сплава величина RC также выше (рис. 8). Таким образом, быстрая закалка сплава GdTbDyHoEr не только не ухудшает, а даже повышает его показатели МКЭ. Кроме того, имеющиеся в литературе данные для RC ~630 Дж/кг [8, 14] при m0H = 5 Tл для объемного сплава GdTbDyHoEr позволяют констатировать, что полученная в нашей работе величина RC = 760 Дж/кг для быстрозакаленного сплава GdTbDyHoEr превосходит указанные величины. Превосходит она и значение RC, полученное для быстрозакаленных лент сплава GdTbHoEr (≤630 Дж/кг) [24]. С точки зрения практических применений и максимальных магнитных полей, создаваемых системами с использованием современных постоянных магнитов, логичнее оперировать параметрами, характеризующими величину магнитокалорического эффекта, при m0H ≤ 2 Tл [17]. В настоящей работе для быстрозакаленного сплава GdTbDyHoEr при m0H = 2 Tл была достигнута величина RC = = 300 Дж/кг, что примерно в полтора раза больше, чем для фольги Gd толщиной 0.215 мм, полученной холодной прокаткой [16]. При этом отметим, что температура 293 K, при которой наблюдается максимум на зависимости –SM(T) для фольги Gd, конечно же, гораздо более привлекательна с практической точки зрения, чем температура 175 K, при которой аналогичный пик наблюдается для высокоэнтропийного быстрозакаленного сплава GdTbDyHoEr, рассматриваемого в настоящем исследовании.
Таким образом, при переводе сплава GdTbDyHoEr в быстрозакаленное состояние сохраняется последовательность фазовых переходов ПМ–ГАФМ–ФМ при понижении температуры. Осуществление магнитных фазовых переходов через формирование различных промежуточных магнитных фаз, температурный диапазон существования которых зависит от величины внешнего магнитного поля, является причиной большой величины RC. Более высокие значения –SM(T) и RC для быстрозаленного сплава GdTbDyHoEr обусловлены, видимо, его более интенсивным откликом на действие внешнего магнитного поля, о чем свидетельствуют меньшая величина поля Hcr, при которой начинает разрушаться магнитная структура ГАФМ, и более крутой ход зависимости M(H) в области относительно малых полей (рис. 5). Два последних факта обусловлены, скорее всего, меньшей эффективной магнитной анизотропией сплава GdTbDyHoEr в быстрозакаленном состоянии в сравнении с объемным состоянием.
ЗАКЛЮЧЕНИЕ
Представленные в настоящей работе результаты дают характеристику структурных, магнитных и магнитокалорических свойств высокоэнтропийного сплава GdTbDyHoEr, полученного в объемном состоянии методом индукционной плавки и в быстрозакаленном состоянии методом спиннингования. Оба состояния сплава характеризуются существованием гексагональной структуры. Средний размер кристаллитов составил примерно 27 нм и 21 нм для объемного и быстрозакаленного состояний сплава, соответственно.
Показано, что величина критического магнитного поля, индуцирующего метамагнитный переход ГАФМ–ФМ, меньше, а такие показатели МКЭ как максимальное значение изменения магнитной части энтропии DSM и хладоемкости RC выше для быстрозакаленного сплава. Скорее всего, это обусловлено тем, что в быстрозакаленном состоянии сплав GdTbDyHoEr характеризуется меньшей эффективной магнитной анизотропией.
Величина RC для быстрозакаленного сплава превосходит аналогичную величину для объемных сплавов того же состава, имеющихся в литературе, а также для фольги Gd, полученной холодной прокаткой.
Таким образом, быстрозакаленные ленты сплава GdTbDyHoEr с учетом высоких параметров МКЭ и большой удельной площади поверхности могут рассматриваться как перспективный материал для рабочего тела магнитного рефрижератора.
Исследование выполнено за счет гранта Российского научного фонда № 24-29-00199, https://rscf.ru/project/24-29-00199/, ФГАОУ ВО “Уральский федеральный университет имени первого Президента России Б.Н. Ельцина”, Свердловская обл.
Авторы заявляют, что у них нет конфликта интересов.
About the authors
A. V. Svalov
Ural Federal University named after the First President of Russia B. N. Yeltsin
Author for correspondence.
Email: andrey.svalov@urfu.ru
Russian Federation, Ekaterinburg
D. S. Neznakhin
Ural Federal University
Email: andrey.svalov@urfu.ru
Russian Federation, Ekaterinburg
A. V. Arkhipov
Ural Federal University named after the First President of Russia B. N. Yeltsin
Email: andrey.svalov@urfu.ru
Russian Federation, Ekaterinburg
S. V. Andreev
Ural Federal University
Email: andrey.svalov@urfu.ru
Russian Federation, Екатеринбург
A. S. Rusalina
Ural Federal University
Email: andrey.svalov@urfu.ru
Russian Federation, Ekaterinburg
A. I. Medvedev
Institute of Electrophysics, Ural Branch, Russian Academy of Sciences
Email: andrey.svalov@urfu.ru
Russian Federation, Ekaterinburg
I. V. Beketov
Ural Federal University; Institute of Electrophysics, Ural Branch, Russian Academy of Sciences
Email: andrey.svalov@urfu.ru
Russian Federation, Ekaterinburg; Ekaterinburg
A. A. Pasynkova
Ural Federal University; Mikheev Institute of Metal Physics, Ural Branch, Russian Academy of Sciences
Email: andrey.svalov@urfu.ru
Russian Federation, Ekaterinburg; Ekaterinburg
G. V. Kurlyandskaya
Ural Federal University
Email: andrey.svalov@urfu.ru
Russian Federation, Ekaterinburg
References
- Tishin A.M., Spichkin Y.I. The Magnetocaloric Effect and Its Applications. Series in Condensed Matter Physics. Institute of Physics Publishing, 2003.
- Соколовский В.В., Мирошкина О.Н., Бучельников В.Д., Марченков В.В. Магнитокалорический эффект в металлах и сплавах // ФММ. 2022. Т. 123. № 4. С. 339–343.
- Кашин С.Н., Коплак О.В., Валеев Р.А., Пискорский В.П., Бурканов М.В., Моргунов Р.Б. Влияние механической деформации на магнитные свойства и магнитокалорический эффект в пленках Gd // ФТТ. 2023. Т. 65. Вып. 5. С. 782–789.
- Соколовский В.В., Загребин М.А., Бучельников В.Д., Марченков В.В. Современные магнитокалорические материалы: существующие проблемы и перспективы исследований // ФММ. 2023. Т. 124. № 11. С. 1019–1024.
- Панкратов Н.Ю., Терешинa И.С., Никитин С.А. Магнитокалорический эффект в редкозем ельных магнетиках // ФММ. 2023. Т. 124. № 11. С. 1093–1101.
- Taskaev S., Skokov K., Khovaylo V., Ulyanov M., Bataev D., Karpenkov D., Radulov I., Dyakonov A., Gutfleisch O. Magnetocaloric effect in cold rolled foils of Gd100-xInx (x = 0, 1, 3) // J. Magn. Magn. Mater. 2018. V. 459. P. 46–48.
- Рогачев А.С. Структура, стабильность и свойства высокоэнтропийных сплавов // ФММ. 2020. Т. 121. № 8. С. 807–841.
- Yuan Y., Wu Y., Tong X., Zhang H., Wang H., Liu X.J., Ma L., Suo H.L., Lu Z.P. Rare-earth high-entropy alloys with giant magnetocaloric effect // Acta Mater. 2017. V. 125. P. 481–489.
- Андреенко А.С., Белов К.П., Никитин С.А., Тишин А.М. Магнитокалорические эффекты в редкоземельных магнетиках // УФН. 1989. Т. 158. Вып. 4. С. 553–579.
- Gimaev R.R., Zverev V.I., Mello V.D. Magnetic properties of single-crystalline terbium and holmium — Experiment and modeling // J. Magn. Magn. Mater. 2020. V. 505. P. 166781.
- Zverev V.I., Gimaev R.R., Komlev A.S., Kovalev B.B., Queiroz F.G., Mello V.D. Magnetic properties of dysprosium — Experiment and modeling // J. Magn. Magn. Mater. 2021. V. 524. P. 167593.
- Uporov S.A., Estemirova S.Kh., Sterkhov E.V., Balyakin I.A., Rempel A.A. Magnetocaloric effect in ScGdTbDyHo high-entropy alloy: Impact of synthesis route // Intermetallics. 2022. V. 151. P. 107678.
- Uporov S.A., Sterkhov E.V., Balyakin I.A., Bykov V.A., Sipatov I.S., Rempel A.A. Synthesis and magnetic properties of some monotectic composites containing ultra-dispersed particles of YGdTbDyHo high-entropy alloy // Intermetallics. 2024. V. 165. P. 108121.
- Wang L., Lu Z., Guo H., Wu Y., Zhang Y., Zhao R., Jiang S., Liu X., Wang H., Fu Z., Zhao J., Ma D., Lu Z. Multi-principal rare-earth Gd-Tb-Dy-Ho-Er alloys with high magnetocaloric performance near room temperature // J. Alloys Compd. 2023. V. 960. P. 170901.
- Kuz’min M.D. Factors limiting the operation frequency of magnetic refrigerators // Appl. Phys. Lett. 2007. V. 90. P. 251916.
- Taskaev S.V., Buchelnikov V.D., Pellenen A.P., Kuz’min M.D., Skokov K.P., Karpenkov D.Yu., Bataev D.S., Gutfleisch O. Influence of thermal treatment on magnetocaloric properties of Gd cold rolled ribbons // J. Appl. Phys. 2013. V. 113. P. 17A933.
- Kitanovski A. Energy applications of magnetocaloric materials // Adv. Energy Mater. 2020. V. 10. P. 1903741.
- Шишкин Д.А., Волегов А.С., Андреев С.В., Баранов Н.В. Магнитное состояние и магнитотепловые свойства быстрозакаленных сплавов Gd75M25 (M = Co, Ni) // ФММ. 2012. Т. 113. № 5. С. 485–491.
- Svalov A.V., Andreev S.V., Larrañaga A., Orue I., Kurlyandskaya G.V. Rapidly quenched non-strained nanocrystalline Gd ribbons: Structural features and magnetic properties // J. Magn. Magn. Mater. 2019. V. 490. P. 165529.
- Zvonov A.I., Pankratov N.Yu., Karpenkov D.Yu., Smarzhevskaya A.I., Karpenkov A.Yu., Nikitin S.A. The change of crystallite sizes and magnetocaloric effect in rapidly quenched dysprosium // Phys. Status Solidi C. 2014. V. 11. № 5–6. P. 1149–1154.
- Curzon A.E., Chlebek H.G. The observation of face centred cubic Gd, Tb, Dy, Ho, Er and Tm in the form of thin films and their oxidation // J. Phys. F: Metal Phys. 1973. V. 3. P. 1–5.
- Никитин С.А. Магнитные свойства редкоземельных металлов и их сплавов. М.: Изд-во МГУ, 1989. 247 с.
- Gimaev R.R., Komlev A.S., Davydov A.S., Kovalev B.B., Zverev V.I. Magnetic and electronic properties of heavy lanthanides (Gd, Tb, Dy, Er, Ho, Tm) // Crystals. 2021. V. 11. Р. 82.
- Zhu W.H., Ma L., He M.F., Lu S.F., Li Z.K., Rao G.H., Li L., Li X.M., Yin C.Q. Magnetic properties and magnetocaloric effect of GdTbHoEr-based high-entropy alloy ribbons // J. Mater. Sci: Mater. Electron. 2022. V. 33. P. 25930–25938.
Supplementary files









