Особенности формирования многослойных периодических систем Dy/Co при магнетронном напылении
- Авторы: Пруцков Г.В.1, Субботин И.А.1, Кравцов Е.А.2,3, Макарова М.В.2,3, Миляев М.А.2,3, Пашаев Э.М.1
-
Учреждения:
- Национальный исследовательский центр “Курчатовский институт”
- Институт физики металлов УрО РАН
- Уральский федеральный университет
- Выпуск: Том 125, № 10 (2024)
- Страницы: 1215-1221
- Раздел: ЭЛЕКТРИЧЕСКИЕ И МАГНИТНЫЕ СВОЙСТВА
- URL: https://ogarev-online.ru/0015-3230/article/view/282231
- DOI: https://doi.org/10.31857/S0015323024100039
- EDN: https://elibrary.ru/JFPBHI
- ID: 282231
Цитировать
Полный текст
Аннотация
Комбинацией рентгеновских и магнитометрических методов исследований показано, что при магнетронном напылении многослойных периодических систем Dy/Co происходит образование интерметаллидов DyCo2 и DyCo3. Основной причиной фазообразования различных интерметаллидов является структурное состояние буферного слоя – кристаллического в случае кристаллической подложки и аморфного в случае стеклянной.
Полный текст
ВВЕДЕНИЕ
Магнитные металлические периодические системы (МПС) являются перспективными материалами для магнитооптической записи и хранения информации [1]. Один из примеров таких материалов – сверхрешетки переходный металл\ редкоземельный металл (ПМ/РЗМ), интерес к которым вырос после того, как появилась возможность переключения магнитного момента системы с помощью фемтосекундного лазерного импульса без приложения внешнего магнитного поля [2–5]. Для этого необходимо выполнение трех условий [2]: антипараллельное упорядочение магнитных моментов подрешеток ПМ и РЗМ, наличие температуры компенсации и перпендикулярной магнитной анизотропии. Сверхбыстрое переключение магнитных моментов наблюдали в сверхрешетках c тонкими слоями Gd/Co, Tb/Co, Ho/CoFe [2] и аморфных сплавах GdFeCo [6], TbCo [7], DyCo и т.п.
Магнитные свойства тонких пленок ПМ/РЗМ (толщиной нескольких нм) существенно зависят от состояния как самих слоев, так и интерфейсов. Характерной особенностью этих систем является наличие неоднородной внутрислойной атомной и магнитной структуры, обусловленной влиянием таких факторов, как размерные эффекты [8], эффекты близости соседних слоев, межслойное обменное взаимодействие, особенности атомной структуры отдельных слоев и межслойных границ [9], образование аморфного сплава РЗМ–ПМ или интерметаллических соединений [10]. Для понимания физических механизмов, приводящих к возникающим особенностям магнитных свойств систем с сочетанием переходного и редкоземельного металлов, необходимо проведение комплексных структурных исследований, в которых будет получена информация как о внутрислойной структуре, так и о структуре межслойных границ. Раннее мы показали, что МПС Dy/Co представляют собой сплавы с модуляцией состава, в которых имеется не только жесткая периодичность в толщинах и составах, но и взаимная диффузия Co и Dy на межслойных границах, которая приводит к периодическому изменению концентраций компонентов с глубиной [11, 12]. В слоях 2–3 нм при магнетронном распылении наблюдали образование стеклообразного интерметаллического соединения DyCo2 [12]. Фактически эта периодическая многослойная система демонстрировала чередование слоев DyCo2 и Co, что и определяет необычное поведение намагниченности многослойной системы с толстыми слоями.
Выбор подложки для последующего формирования планарных систем может оказывать существенное влияние на их структурное фазообразование. Например, в работе [13] при формировании тонких пленок нитрида тантала на кремниевой и стеклянной подложках было обнаружено образование различных структурных фаз системы Tа–N. Цель работы – исследование влияния материала подложки и буферного слоя на процесс формирования периодических многослойных систем Dy/Co и их магнитные свойства.
ЭКСПЕРИМЕНТ
Исследования выполнены на двух МПС, выращенных методом высоковакуумного магнетроного распыления на монокристаллических и аморфных подложках. Напыление проводили при комнатной температуре. Образец А представляет собой систему [Dy(2 нм)/Co(3 нм)]40, сформированную на монокристаллической подложке Si (100) с буферным слоем Nb (10 нм) и закрытую сверху слоем Al (10 нм). Периодическая структура образца Б [Dy(2 нм)/Co(3 нм)]20 сформирована на аморфной подложке из стекла, с буферным слоем Ta толщиной 5 нм и закрытую сверху защитным слоем Ta толщиной 3 нм. Отметим, что параметр кристаллической решетки объемного тантала (Im3m, a = 0.330256 нм [14]) лишь незначительно отличается от объемного ниобия (Im3m, a = 0.330121 нм). Ниобий и тантал являются парамагнетиками. В итоге были получены два образца, выращенные при одинаковых условиях на различных подложках и буферных слоях.
Структурные исследования проведены методами рентгеновской рефлектометрии и рентгеновской дифрактометрии. Измерения угловых зависимостей зеркального отражения проведены на рентгеновском дифрактометре Rigaku SmartLab с вращающимся анодом в CuKα1-излучении. Оптическая схема включала в себя параболическое коллимирующее зеркало и кристаллический монохроматор 2xGe(220). Для уменьшения диффузного рассеяния и повышения соотношения сигнал/шум перед детектором устанавливали узкую щель.
Анализ рефлектометрических данных проведен в рамках ламельного подхода, подробно описанного в [12]. В результате подгонки был восстановлен профиль распределения поляризуемости по глубине структуры. На рис. 1 и рис. 2 показаны экспериментальные и теоретические кривые зеркального отражения для образцов А и Б.
Рис. 1. Теоретические (сплошные) и экспериментальные (точки) кривые рефлектометрии для образца А и кривая невязок σ. На вставке представлен фрагмент кривой в диапазоне 2.35–2.40 град.
Рис. 2. Теоретические (сплошные) и экспериментальные (точки) кривые рефлектометрии для образца Б и кривая невязок σ. На вставке представлен фрагмент кривой в диапазоне 2.51–2.64 град.
На кривых рис. 1, рис. 2 видны ярко выраженные сверхструктурные пики со средним периодом ~0.85°. Осцилляции с большим периодом, обусловленные интерференцией рентгеновского излучения от нижней границы защитного слоя, и высокочастотные осцилляции соответствуют интерференции рентгеновского излучения от всей МПС. При этом распределение интенсивности пиков на кривой рентгеновской рефлектометрии позволяет оценить соотношение толщин слоев, составляющих МПС. Повышенное значение фона в области больших углов на кривых рентгеновской рефлектометрии может быть связано как с некогерентным рассеянием, так и с наличием флуоресцентного излучения от диспрозия и кобальта, возбуждаемого падающим CuKα1.
При анализе рефлектограммы от кривой рентгеновской рефлектометрии образца А не удалось получить хорошего согласия с экспериментальными данными, используя модель с номинальными толщинами слоев Dy и Co. Известно, что слой алюминия толщиной 10 нм может не полностью защищать периодическую систему от проникновения атмосферного кислорода [14], что приводит к окислению редкоземельного металла. Поэтому модель была усложнена: распределение поляризуемости последних 3 бислоев перед защитным слоем варьировали отдельно от основной периодической системы. Использование такой модели позволило получить хорошее согласие теоретических и экспериментальных кривых. В результате процедуры подгонки было получено распределение поляризуемости по глубине (рис. 3).
Рис. 3. Профиль распределения реальной части поляризуемости по глубине для образцов А (кристаллическая подложка) и Б (аморфная подложка).
Анализ угловой зависимости интенсивности зеркального отражения от образца Б проводили, используя модель с номинальными толщинами слоев без варьирования отдельных периодов МПС. В результате удалось получить хорошее согласие теоретической и экспериментальной кривых, что может свидетельствовать о хороших покрывных качествах слоя Ta, который не позволяет кислороду проникнуть в структуру и вызвать окисление редкоземельного элемента.
Для системы Dy 2 нм/Co 3 нм среднее значение поляризуемости [12] находится близко к χ0=4.477‧10−5. Профили распределения поляризуемости одного периода для образцов А и Б представлены на рис. 4. Видно, что полученные профили поляризуемости для обоих образцов находятся выше линии среднего значения поляризуемости χ0, при этом распределение поляризуемости в периоде для образца А отличается от образца Б.
Рис. 4. Профиль распределения реальной части поляризуемости внутри одного периода. Штриховыми линиями отмечены значения реальной части поляризуемости для чистых элементов Dy, Co и среднее значение реальной части поляризуемости для системы Dy 2 нм/Co 3 нм.
Такое поведение профилей нельзя объяснить в рамках модели с диффузно-перемешанными слоями. Вероятно, в исследуемых образцах наблюдается перемешивание слоев кобальта и диспрозия между собой на границе и/или в объеме с возможным образованием интерметаллидов различного состава. Согласно фазовой диаграмме состояний системы Dy–Co [15], при температуре T=290 K образовываются следующие интерметаллиды: DyCo2, DyCo3, Dy12Co7 и Dy2Co7. Расчетные значения поляризуемости для DyCo2 и Co близки, что и наблюдается на профиле распределения поляризуемости для образца А. Таким образом, образец А может быть описан как состоящий преимущественно из слоев интерметаллида DyCo2 и слоев Co. В образце Б ситуация другая, коэффициенты поляризуемости в слоях Dy и Co немного меньшие, чем в образце А, но больше, чем среднее значение поляризуемости χ0 (χ0 =4.477‧10−5). Это может указывать на то, что в результате взаимодиффузии металлов образовался другой интерметаллид с меньшей поляризуемостью. Следовательно, необходимо уточнение фазового состава.
Для определения фазового состава исследуемых образцов проанализированы кривые дифракционного отражения (КДО), измеренные как в геометрии скользящего падения при различных углах входа падающего излучения, так и в стандартной θ-2θ-геометрии на дифрактометре PANalytical Empyrean Series 2 с использованием CoKα1-излучения. При этом КДО в геометрии скользящего падения более чувствительна к структурным особенностям приповерхностных слоев, а КДО в θ-2θ-геометрии – к более глубоким слоям.
Исследования показали (рис. 5), что при θ-2θ-съемке на КДО для образца А наблюдаются пики от Nb и Si, что указывает на кристаллическое состояние буфера и подложки. В то же время КДО для образца Б не содержит дифракционных пиков, не только от подложки, но и буферного слоя Ta. Согласно [16, 17], при напылении тонкого (до 2 нм) слоя Ta на некристаллическую подложку формируется аморфный слой Ta, при увеличении толщины слоя Ta выше 2 нм – тетрагональная кристаллическая решетка β-фазы Ta. В соответствии с этим, можно предположить, что в слое Ta существует переход от аморфного к нанокристаллическому β-Ta-состоянию. Дифракционных пиков от возможных структурных фазообразований в МПС, измеренных в стандартной геометрии на КДО для обоих образцов не наблюдается, вероятно, из-за их малых толщин слоев.
Рис. 5. Дифракционные кривые от образцов А (кристаллическая подложка) и Б (аморфная подложка) в геометрии 2θ-θ.
Рентгенофазовый анализ данных дифракции при фиксированном угле скольжения рентгеновского излучения на исследуемые образцы ω=1° (рис. 6) подтвердил наличие фазы с кубической решеткой DyCo2 в образцах А и Б. Наиболее ярко выражены дифракционные пики DyCo2 (220) и (222). Для образца Б на КДО наблюдаются дифракционные пики, которые могут быть идентифицированы как дифракционные отражения от DyCo2 и DyCo3. Наличие гексагональной фазы DyCo3 подтверждается отражениями (11–20) и (11–23). Интенсивность пиков от DyCo2 в образце Б значительно меньше, чем в образце А, что может указывать на то, что интерметаллид находится в нанокристаллическом состоянии. Линии DyCo3 также являются слабоинтенсивными. Фазообразование интерметаллидов DyCo2 и DyCo3 согласуется с фазовой диаграммой Dy–Co [15].
Рис. 6. Дифракционные кривые от образцов А и Б в геометрии скользящего отражения при ω =1°. Линии на оси абсцисс соответствуют объемным Dy и Co.
Для обоих образцов первым слоем на буфере являлся слой Dy, и, вероятно, его дальнейшее структурное “поведение” и определяло механизм запуска образования того или другого интерметаллида. В частности, влияние кристаллической подложки кремния приводит к образованию кристаллического буфера ниобия, который, в свою очередь, оказывает влияние на структурообразование кубического DyCo2 из-за взаимной диффузии металлов. В то же время из-за некристаллической подложки тонкий буферный слой тантала получается аморфным, что не приводит к текстурированию Dy и Co, а ввиду наличия сильного диффузного перемешивания металлов их интерметаллиды могут образоваться в виде нанокристаллитов различной ориентации. В результате для образца Б на КДО формируются низкоинтенсивные дифракционные пики от слоев интерметаллидов.
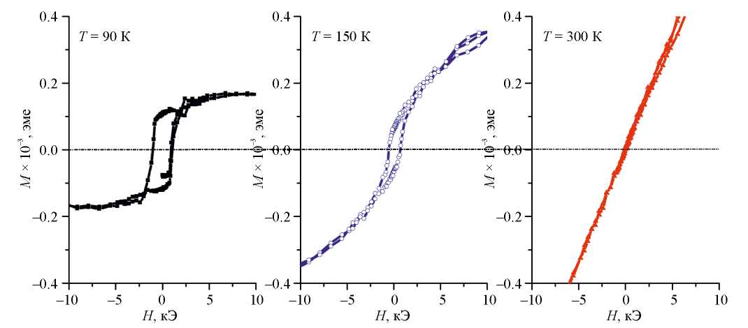
Образцы А и Б имеют разные магнитные свойства. На СКВИД магнетометре были измерены петли гистерезиса с максимальным внешним полем ±15 кЭ в диапазоне температур 90–300 К. Магнитный момент M измеряли в магнитном поле, направленном перпендикулярно плоскости образцов. Поскольку исходные данные содержат информацию не только от пленки, но и от подложки, для выделения информации о пленке дополнительно измеряли зависимости M(H) для чистой подложки, которые затем вычитали из исходных данных.
Петли гистерезиса, полученные при температурах 90, 150 и 300 К, представлены на рис. 7 и рис. 8. Петля гистерезиса для образца А на кристаллической подложке Si(001), снятая при 90 К, имеет прямоугольную форму. Интерметаллид DyCo2 является ферримагнетиком с температурой Кюри 150 К [18]. При 90 К вдоль внешнего магнитного поля проявляется сильная перпендикулярная анизотропия. Согласно [19], температура компенсации Tcomp рассмотренной системы находится вблизи 110 К. В полях насыщения ниже Tcomp вдоль внешнего поля ориентируется магнитный момент подрешетки диспрозия, а против поля – магнитные момент подрешеток кобальта. Выше 150 К магнитный момент образца лежит в плоскости пленки.
Рис. 7. Петли гистерезиса для образца А с подложкой из кристаллического Si при разных температурах в магнитном поле, направленном перпендикулярно плоскости образца.
Рис. 8. Петли гистерезиса для образца Б с подложкой из аморфного стекла SiO2 при разных температурах в магнитном поле, направленном перпендикулярно плоскости образца.
Для образца Б петля гистерезиса при температуре 90 К состоит из двух петель (рис. 8). Это свойственно для материалов с более чем одной магнитной фазой, например, DyCo2 и DyCo3, которые перемагничиваются неодновременно. Температура Кюри DyCo2 составляет около 150 К, а DyCo3 около 450 К. Таким образом, при температуре выше 150 К только магнитный момент DyCo3 остается ориентированным вдоль нормали к поверхности пленки. При 300 К магнитный момент образца лежит в плоскости пленки.
ЗАКЛЮЧЕНИЕ
Взаимодополняющими рентгеновскими и магнитометрическими исследованиями многослойных периодических систем Dy/Co показано, что при магнетронном распылении образование той или иной фазы зависит от материала и кристаллической структуры подложки и буферного слоя.
В образце, выращенном на кристаллической подложке Si, формируется кристаллический буферный слой Nb, что приводит к образованию интерметаллида DyCo2. В образце, выращенном на стеклянной подложке, образуется рентгеноаморфный буферный слой Ta, на котором формируются интерметаллиды DyCo2 и DyCo3.
Основной причиной фазообразования различных интерметаллидов является структурное состояние буферного слоя – кристаллического в случае кристаллической подложки и аморфного в случае стеклянной. Наличие таких фаз приводит к изменениям магнитных свойств периодических структур Dy/Co.
Работы по синтезу образцов выполнены при финансовой поддержке Российской Федерации, Министерства науки и высшего образования, соглашение № 075-15-2022-830 от 27 мая 2022 г. (продолжение Соглашения № 075-15-2021-1358 от 12 октября 2021 г). Исследования методом рентгеновской дифрактометрии выполнены в рамках государственного задания Минобрнауки России (тема “Спин”, № 122021000036-3).
Эксперименты по рентгеновской диагностике, выполненные на оборудовании Курчатовского комплекса синхротронно-нейтронных исследований НИЦ “Курчатовский институт”, и анализ экспериментальных данных проведены при финансовой поддержке Российской Федерации в лице Министерства науки и высшего образования, соглашение № 075-15-2021-1350 от 5 октября 2021 г. (внутренний номер 15.СИН.21.0004).
Авторы данной работы заявляют, что у них нет конфликта интересов.
Об авторах
Г. В. Пруцков
Национальный исследовательский центр “Курчатовский институт”
Email: makarova@imp.uran.ru
Россия, пл. Академика Курчатова, 1, Москва, 123182
И. А. Субботин
Национальный исследовательский центр “Курчатовский институт”
Email: makarova@imp.uran.ru
Россия, пл. Академика Курчатова, 1, Москва, 123182
Е. А. Кравцов
Институт физики металлов УрО РАН; Уральский федеральный университет
Email: makarova@imp.uran.ru
Россия, ул. С. Ковалевской, 18, Екатеринбург, 620108; ул. Мира, 19, Екатеринбург, 620002
М. В. Макарова
Институт физики металлов УрО РАН; Уральский федеральный университет
Автор, ответственный за переписку.
Email: makarova@imp.uran.ru
Россия, ул. С. Ковалевской, 18, Екатеринбург, 620108; ул. Мира, 19, Екатеринбург, 620002
М. А. Миляев
Институт физики металлов УрО РАН; Уральский федеральный университет
Email: makarova@imp.uran.ru
Россия, ул. С. Ковалевской, 18, Екатеринбург, 620108; ул. Мира, 19, Екатеринбург, 620002
Э. М. Пашаев
Национальный исследовательский центр “Курчатовский институт”
Email: makarova@imp.uran.ru
Россия, пл. Академика Курчатова, 1, Москва, 123182
Список литературы
- Tudu B., Ashutosh T. Recent Developments in Perpendicular Magnetic Anisotropy Thin Films for Data Storage Applications // Vacuum. 2017. V. 146. P. 329–341.
- Mangin S., Gottwald M., Lambert C.-H., Steil D. Engineered materials for all-optical helicity-dependent magnetic switching // Nature Materials. 2014. V. 13. P. 286–292.
- Hansen P., Klahn S., Clausen C., Much G., Witter K. Magnetic and magneto-optical properties of rare-earth transition-metal alloys containing Dy, Ho, Fe, Co // J. Appl. Phys. 1991. V. 69. P. 3194–3207.
- Schubert C., Hassdenteufel A., Matthes P., Schmidt J., Helm M., Bratschitsch R., Albrecht M. All-optical helicitydependent magnetic switching in an artificial zero momentmagnet // Appl. Phys. Lett. 2014. V. 104. Р. 082406.
- Becker J., Tsukamoto A., Kirilyuk A., Maan J.C., Rasing T., Christianen P.C.M., Kimel A.V. Ultrafast Magnetism of a Ferrimagnet Across the Spin-Flop Transition in High Magnetic Fields // Phys. Rev. Lett. 2017. V. 118. Р. 117203.
- Savoini M., Medapalli R., Koene B., Khorsand A.R., Le Guyader L., Duò L., Finazzi M., Tsukamoto A., Itoh A., Nolting F., Kirilyuk A., Kimel A.V., Rasing Th. Highly efficient all-optical switching of magnetization in GdFeCo microstructures by interference-enhanced absorption of light // Phys. Rev. B. 2012. V. 86. P. 140404(R).
- Alebrand S., Gottwald M., Hehn M., Steil D., Cinchetti M., Lacour D., Fullerton E.E., Aeschlimann M., Mangin S. Light-induced magnetization reversal of high-anisotropy TbCo alloy films // Appl. Phys. Lett. 2012. V. 101. P. 162408.
- Shan Z.S., Sellmyer D.J. Magnetism of rare-earth–transition-metal nanoscale multilayers. I. Experiments on Dy/Co, Dy/Fe, and Tb/Fe // Phys. Rev. B. 1990. V. 42. P. 10433.
- Svalov A.V., Vas’kovskiy V.O., Kurlyandskaya G.V. Influence of the Size and Structural Factors on the Magnetism of Multilayer Films Based on 3d and 4f Metals // Phys. Met. Metal. 2017. V. 118. № 13. P. 1263–1299.
- Васьковский В.О. Магнетизм наносистем на основе редкоземельных и 3d-переходных металлов. Хрестоматия. Екатеринбург: УрГУ, 2007. 263 с.
- Макарова М.В., Кравцов Е.А., Проглядо В.В., Хайдуков Ю.Н., Устинов В.В. Структура и магнетизм сверхрешеток Co/Dy // ФТТ. 2020. Т. 62. № 9. С. 1499.
- Subbotin I.A., Pashaev E.M., Vasilev A.L., Chesnokov Yu.M., Prutskov G.V., Kravtsov E.A., Makarova M.V., Proglyado V.V., Ustinov V.V. The Influence of Microstructure on Perpendicular Magnetic Anisotropy in Co/Dy Periodic Multilayer Systems // Physica B: Condensed Matter. 2019. V. 573. P. 28–35.
- Nie H.B., Xu S.Y., Wang S.J., You L.P., Yang Z., Ong C.K., Li J., Liew T.Y.F. Structural and electrical properties of tantalum nitride thin films fabricated by using reactive radio-frequency magnetron sputtering // Applied Physics A. 2001. V. 73. P. 229–236.
- Mueller M.H. The lattice parameter of tantalum // Scripta Metallurgica. 1977. V. 11. P. 693–693.
- Okamoto H. Supplemental Literature Review of Binary Phase Diagrams: Ag-Ho, Ag-Tb, Ag-Y, Cd-Na, Ce-Sn, Co-Dy, Cu-Dy, Cu-Sn, Ir-Pt, Mg-Pb, Mo-Ni, and Sc-Y // Journal of Phase Equilibria and Diffusion. 2014. V. 35. No. 2. P. 150–156.
- Zuo J.D., Wang Y.Q., Wu K., Zhang J.Y., Liu G., and Sun J. Phase tailoring of Ta films via buffer layer thicknesses controlling // Scr. Mater. 2022. V. 212. P. 114582.
- Наумова Л.И., Заворницын Р.С., Миляев М.А., Девятериков Д.И., Русалина А.С., Криницина Т.П., Павлова А.Ю., Проглядо В.В., Устинов В.В. Гелимагнитная и кристаллографическая текстуры роста нанослоев диспрозия на буферных слоях Co90Fe10, Nb и β-Ta // ФММ. 2023. Т. 124. № 8. С. 692–702.
- Laguna-Marco M. A., Chaboy J., and Piquer C. Experimental determination of the R(5d)–T(3d) hybridization in rare-earth intermetallics // Phys. Rev. B. 2008. V. 77. P. 125132.
- Макарова М.В., Кравцов Е.А., Проглядо В.В., Субботин И.А., Пашаев Э.М., Холин Д.И., Хайдуков Ю.Н. Магнитная структура сверхрешеток Dy-Co вблизи температуры компенсации // Поверхность. Рентгеновские, синхротронные и нейтронные исследования. 2023. № 4. С. 50–54.
Дополнительные файлы










