Analysis of the structure and temperature distribution in a duraluminum alloy weld during friction stir welding
- Authors: Kazantseva N.V.1, Shchapov G.V.1, Tsarkov A.V.2, Ezhov I.V.1
-
Affiliations:
- M.N. Miheev Institute of Metal Physics of Ural Branch of Russian Academy of Sciences
- Bauman Moscow State Technical University
- Issue: Vol 125, No 9 (2024)
- Pages: 1150-1162
- Section: СТРУКТУРА, ФАЗОВЫЕ ПРЕВРАЩЕНИЯ И ДИФФУЗИЯ
- URL: https://ogarev-online.ru/0015-3230/article/view/281259
- DOI: https://doi.org/10.31857/S0015323024090092
- EDN: https://elibrary.ru/KEOLDI
- ID: 281259
Cite item
Full Text
Abstract
Using complex theoretical and experimental methods of analysis, the influence of diffusion and deformation processes on the chemical composition and structure of the welded joint of plates made of D16T aluminum alloy under friction stir welding conditions was assessed. To reproduce the temperature conditions in the welding zone and assess the possible causes of changes in the structure and phase composition of the material in the weld area, methods of mathematical modeling of thermal processes were used. The resulting theoretical calculations were tested and confirmed using experimental methods of structural analysis (X-ray structural analysis and scanning electron microscopy) and microhardness measurements. A change in the content of silicon, copper and aluminum in the composition of the solid solution of the material under study was detected, as well as a change in the phase composition (a decrease in the amount of the Al12Fe3Si phase and the appearance of the AlCuFeMnSi phase), which is associated with mass transfer in the zone of the welded joint under friction stir welding conditions.
Full Text
ВВЕДЕНИЕ
Сварка трением, являющаяся процессом соединения материалов в твердом состоянии, представляет собой один из аддитивных способов получения крупногабаритных изделий. Известны различные виды сварки трением: радиальная, штифтовая, линейная и сварка трением с перемешиванием [1, 2]. Сварка трением с перемешиванием (СТП) была предложена в 1967 г. советским ученым Ю.В. Клименко (Патент СССР №195846). В современном виде этот метод запатентован в 1991 г. Институтом сварки Великобритании [3]. При СТП сварные швы получаются вследствие движения вращающегося инструмента между двумя соединяемыми поверхностями. Требуемое для разупрочнения материала тепло получается, как комбинация тепла за счет трения и тепла, образующегося в результате деформации материала. Форма инструмента и жесткая опорная плита обеспечивают высокое квазигидростатическое давление в зоне формирования сварного соединения. Поскольку тепло, выделяемое во время сварки трением с перемешиванием, локализуется в небольшой области, то этот метод имеет высокую энергоэффективность [2, 4, 5]. Процесс сварки трением с перемешиванием сложен, так как быстротечен и сопровождается различными физическими явлениями, происходящими одновременно в твердом теле: нагревом, воздействием давления, деформацией, тепло- и массопереносом [2, 4]. Это означает, что материал в условиях сварки трением с перемешиванием может находится в неравновесных условиях, вызывающих возникновение метастабильных состояний, оказывающих значительное влияние на механические свойства изделия [6], что обусловливает необходимость проведения структурных исследований. Значительное снижение пластического ресурса при циклическом термомеханическом нагружении полученного с помощью сварки трением с перемешиванием сварного соединения алюминиевого сплава АМг5 авторами работы [7] было связано с большим количеством дефектов в зоне ядра сварного соединения. Релаксация упругой энергии, накапливаемой в твердом материале за счет больших пластических деформаций и провоцирующей возникновение дефектных состояний, может происходить с помощью процесса динамической рекристаллизации, например, как это наблюдают при деформации сдвигом под давлением или ударно-волновом воздействии, или за счет фазовых превращений [6]. Одной из проблем метода СТП является определение температуры в зоне ядра сварного соединения, которая связана с конструкционной спецификой установки для сварки трением с перемешиванием [2].
Существуют экспериментальные и теоретические методы расчета температуры в зоне сварного соединения при сварке трением с перемешиванием. К сожалению, предлагаемые в литературе прямые экспериментальные методы определения температуры сварного шва имеют значительную погрешность, и полученные данные являются лишь приблизительными и требуют дополнительного анализа. В большинстве случаев экспериментально температуру измеряют путем введения термопар предельно близко к центральной линии соединения (к ядру) [8–10] или даже в материал пина [9, 11]. Недостатком таких исследований является то, что подобные эксперименты позволяют оценить лишь среднюю объемную температуру материала и, за счет высокой скорости теплоотвода в металле, не позволяют количественно оценить распределение температур внутри узких областей сварочной зоны. Температура, измеренная термокапсулами, находящимися внутри материала по разные стороны от центра сварного соединения, различается на 20–30°С и быстро снижается при удалении от центральной зоны. Это связано с диссипацией тепловой энергии в металле и тем, что термокапсулы, расположенные на нижней стороне соединения, подвергаются деформации изгибом, что также влияет на точность измерения температуры [9]. В работе [11] было показано отличие температур на поверхности и внутри материала пина на 40–50°С. В работе [10] было обнаружено, что температура, измеренная с помощью термокапсул, существенно зависит не только от расположения термокапсул внутри материала, но и от скорости вращения пина. Таким образом, полученные экспериментальные данные могут быть как завышенными, так и заниженными. Исследования, выполненные в работе [3], показали, что максимальная температура в зоне сварного соединения составляет приблизительно 0.8 от температуры плавления алюминиевого сплава. Большой объем информации о физических параметрах (температуре, давлении, степени деформации) в центральной зоне формирования сварного соединения можно получить из компьютерных экспериментов [12–14]. Однако компьютерные эксперименты, использующие приближенные экспериментальные данные, также не дают полной ясности без проведения комплексного анализа, включающего исследования структуры и механических свойств получаемого сварного шва, что обусловливает актуальность данной работы.
Дюралюминиевый сплав Д16 – один из наиболее широко используемых в авиационной, судостроительной и автомобильной промышленностях алюминиевых сплавов. Температурный диапазон использования сплава составляет от –55 до 85°C при сроке службы до 20 000 ч. Получение сварных соединений из алюминиевого сплава Д16 невозможно методами дуговой сварки из-за процесса горячего растрескивания при сварке [15]. Таким образом, этот сплав является наилучшим кандидатом для проведения испытаний по получению соединений с помощью сварки трением с перемешиванием.
Сплав Д16 также хорошо известен как конструкционный материал, имеющий ряд преимуществ для научных исследований, поскольку с помощью термомеханических обработок в нем можно достаточно легко регулировать параметры вторичных фаз, их морфологию и распределение по размерам.
Цель данной работы – комплексный теоретический и экспериментальный анализ структуры, фаз и распределения температуры в зоне сварного соединения, полученного сваркой трением с перемешиванием стыкового соединения пластин из сплава Д16Т.
МАТЕРИАЛЫ И МЕТОДЫ
Для исследования использовали пластины из промышленного алюминиевого сплава марки Д16Т (литер Т-естественное старение, зарубежные аналоги АА2024, AlCuMg2) толщиной 10 мм. Прямое стыковое сварное соединение было получено методом сварки трением с перемешиванием c помощью экспериментального стенда (Россия). Химический состав сплава указан в табл. 1.
Таблица 1. Номинальный химический состав сплава Д16Т, мас. %
Al | Mg | Cu | Fe | Si | Mn | Zn | Ti | Cr |
Осн. | 1.2–1.8 | 3.8–4.9 | до 0.5 | до 0.5 | 0.3–0.9 | до 0.25 | до 0.15 | до 0.1 |
Сварка выполнялась инструментом с диаметром заплечика 28 мм и цилиндрическим пином диаметром 10 мм и длиной примерно 9.8 мм. Материал инструмента – быстрорежущая сталь Р6М5. Свариваемые пластины располагались таким образом, что вращающийся инструмент перемещался вдоль направления прокатки. Частота вращения инструмента составляла 1200 об/мин, скорость сварки 30 мм/мин. Давление не измеряли, и оценка давления не производилась. Вырезанные с помощью электроискровой установки образцы были исследованы в поперечном сечении сварного соединения. Схема сварки приведена на рис. 1.
Рис. 1. Схема процесса сварки трением с перемешиванием: а – общий вид; б – разрез шва; в – вид сверху; г – рабочий инструмент.
Структурные исследования выполнены с помощью сканирующего электронного микроскопа JSM 6490, оснащенного приставкой для энергодисперсионного и волнового микроанализа (EDS) Oxford Inca, и оптического микроскопа Микромед МЕТ с возможностью съемки в поляризованном свете. Рентгеноструктурный анализ был выполнен с помощью рентгеновского дифрактометра ДРОН-3, излучение Cu Kα. Измерение микротвердости было проведено с помощью прибора Металаб 502 при нагрузке 50 грамм.
Для оценки градиента температур, формирующегося в материале в процессе СТП, и времени нахождения различных участков сварного соединения в зонах высоких температур было проведено математическое моделирование тепловых процессов в разных зонах на поверхности пластин. Верификацию модели, что является стандартным этапом моделирования, проводили путем сопоставления расчетных термических циклов с термическими циклами, записанными с помощью термопар в работе [14], и анализа структуры.
РЕЗУЛЬТАТЫ
Математическая модель, за счет схематизации и упрощения реальных процессов, позволяет хорошо описать тепловые процессы, происходящие при сварке. В такой модели обычно принимают следующие упрощения: сварочный источник тепла считают либо сосредоточенным, либо распределенным по известному закону, позволяющему описать процесс распространения теплоты; форму тела упрощают по типовым схемам; используемые теплофизические коэффициенты принимают независящими от температуры.
В данной работе основной целью моделирования являлась оценка времени нахождения различных участков сварного соединения в зонах высоких температур.
Согласно литературным данным [2], в сварном соединении, полученном сваркой трением с перемешиванием, можно выделить 3 зоны: ядро шва (1), зону термомеханического влияния (2) и зону термического влияния (3). Центр первой зоны располагается на центральной линии шва. Вторая зона начинается примерно на расстоянии, равном радиусу пина, от центра шва. Третья зона ограничивается радиусом заплечика. Базируясь на этих соображениях, нами было проведено структурное исследование и фазовый анализ, а также моделирование термических циклов в точках, расположенных в вышеуказанных зонах на поверхности пластин.
В используемой в данной работе модели сварочный инструмент рассматривался как составной источник тепла. Зона взаимодействия заплечика и поверхности листов представлялась в виде кольцевого равномерно распределенного источника на поверхности полубесконечного тела. Внутренний радиус кольцевого источника равнялся радиусу пина, а наружный радиус – радиусу заплечика. Удельная тепловая мощность кольцевого источника принималась равной энтальпии алюминиевого сплава при температуре ликвидуса сплава Д16Т (638°С). В качестве второго источника нагрева выбирали цилиндрическую поверхность пина рабочего инструмента. Пин рассматривали как набор нескольких кольцевых источников с равномерно распределенной температурой, действующих в бесконечных пластинах. Исходя из данных работы [16], температура поверхности пина принималась равной температуре солидуса сплава (500°С). Представление цилиндрической поверхности пина в виде набора нескольких кольцевых источников позволяет учесть теплоотдачу в металлическую подкладку с нижней поверхности свариваемых листов за счет соответствующего подбора коэффициента теплоотдачи. Центры всех источников располагаются на оси X=Y=0. Для источников использовали аналитические выражения, описывающие квазистационарные процессы во время сварки, предложенные в [17].
Для пина:
.
Для заплечика:
где , R0 и r0 – радиусы заплечика и пина соответственно, h – длина цилиндрического источника, v – скорость сварки, In, Kn – модифицированные функции Бесселя 1-го и 2-го рода, n-го порядка, λ – теплопроводность, а – температуропроводность, b – температуроотдача, угол φ и r ′ – переменные интегрирования в случае кругового источника. Угол меняется от 0 до 2p, r ′ – меняется от r0 до R0, r – расстояние от центра источника до текущей точки ().
Расчет изменения температурного поля со временем в точках поперечного сечения сварного соединения был осуществлен с использованием функциональной зависимости T = f(y,z,t), где t = x/ν – время. Все расчеты проводили в среде MatLab с использованием стандартных функций и процедур.
Для расчета были использованы следующие справочные данные [18]:
Индекс 1 соответствует верхней поверхности пластины, 2 – нижней, a и b – производные величины: , b=()/, δ-толщина пластины. Коэффициенты теплоотдачи подбирали, исходя из экспериментальных результатов замера термических циклов, как это делается стандартно в практике построения аналитических моделей.
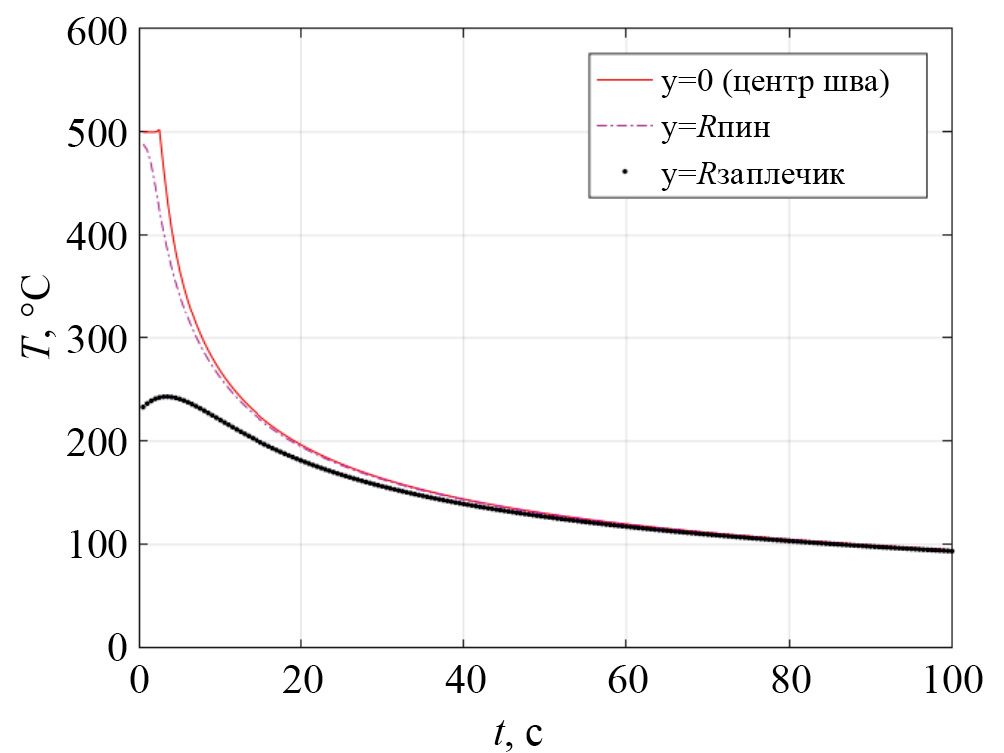
На рис. 2 приведены полученные при расчете временные графики изменения температуры в различных областях зоны сварного соединения. При сварке скорости охлаждения можно оценить по термическим циклам, которые приведены на рисунке 2. Скорость определяется углом наклона кривой и изменяется от сотен градусов в секунду до нуля. В литературе обычно используют интервал времени остывания от максимальной температуры до заданной. Как следует из результатов моделирования, зона высоких температур (выше 300°С) присутствует в ядре сварного соединения относительно долгое время, что может привести к существенному изменению характера первичных выделений.
Рис. 2. Термические циклы трех точек поверхности, расположенных в центре шва, на расстоянии, равном радиусу пина и радиусу заплечика.
При расчетах сварочных температурных полей общепринято (если заранее не оговорено), что поле является квазистационарным, а точка 0 лежит в центре сварочного источника нагрева. Отсчет времени ведется с прохождения точки поверхности свариваемого тела осью вращения инструмента.
Моделирование распределения температурных полей в ядре сварного шва показало различие температур в верхней и нижней частях сварного соединения. На рис. 3 показаны результаты моделирования распределения температур по продольному сечению в центре шва.
Рис. 3. Распределение температур по продольному сечению в центре ядра сварного соединения (поверхность пластины Z=0; нижняя поверхность Z=10 мм).
Структурные исследования
Результаты энергодисперсионного анализа химического состава исследуемого сплава Д16Т в исходном состоянии, полученные с помощью растровой микроскопии, представлены в табл. 2.
Таблица 2. Химический состав сплава Д16Т по данным EDS-анализа, мас. %
Al | Mg | Cu | Fe | Si | Mn |
Осн. | 1.71 | 4.77 | 0.66 | 0.3 | 1.02 |
Для проверки полученных модельных расчетов был выполнен анализ фазового состава выделений в различных зонах сварного соединения образцов сплава Д16Т.
На рис. 4 представлен оптический снимок, полученный с использованием поляризованного света, области сварного соединения исследованного сплава Д16Т, на котором схематично показаны границы различных зон. На снимке хорошо видно присутствие слоистой структуры типа “луковые кольца” в зоне ядра. Для проведения рентгеноструктурного исследования в поперечном сечении сварного соединения были взяты образцы, вырезанные из трех центральных областей, указанных стрелками на рис. 3. Анализ структуры и химического состава твердого раствора в зоне сварного соединения проводили по вертикалям в каждой зоне через каждые 4 мм. За первую точку отсчета брали центр нижнего края сварного шва. В качестве исходного состояния анализировали образец, также вырезанный в поперечном направлении, из края одной из свариваемых пластин.
Рис. 4. Область сварного соединения, поперечное сечение, оптическая металлография: 1 – ядро; 2 – зона термомеханического воздействия; 3 – зона термического воздействия.
В табл. 3 представлены сводные литературные данные параметров кристаллических решеток и интенсивностей дифракционных линий фаз, наблюдаемых в близком по составу к Д16 сплаве АА2024 (звездочкой отмечены положения дифракционных линий фаз, обнаруженных в исследуемом материале Д16Т). Результаты рентгеноструктурного анализа приведены на рис. 5.
Таблица 3. Кристаллическая структура, параметры решеток и интенсивность дифракционных линий равновесных фаз, образующихся в сплаве АА2024
Фаза | hkl | 2θ, град | Интен. у.е. | Ссылка |
Al (α-фаза), Fm-3m а= 0.405 нм | (111)* | 38.49 | 100 | [19] |
(200)* | 44.75 | 46.9 | ||
(220)* | 65.14 | 26.4 | ||
(311)* | 78.29 | 27.8 | ||
(222)* | 82.50 | 7.8 | ||
(400)* | 99.17 | 3.6 | ||
(331)* | 112.1 | 12.2 | ||
(420)* | 116.6 | 12 | ||
Al2CuMg (S-фаза), Cmcm a=0.401 нм, b=0.923 нм, c=0.714 нм | (110) | 20.69 | 100 | [20] |
(200) | 29.42 | 32.9 | ||
(211)* | 37.93 | 48.6 | ||
(220) | 42.10 | 31.5 | ||
(112)* | 42.63 | 72.2 | ||
(310)* | 47.35 | 68.1 | ||
(202)* | 47.76 | 56.4 | ||
(222) | 57.11 | 13.2 | ||
(312) | 61.41 | 8.6 | ||
(213) | 66.96 | 7.4 | ||
(420) | 69.21 | 12.7 | ||
(402) | 73.37 | 16.5 | ||
(332) | 77.26 | 18.5 | ||
(512) | 92.06 | 8.1 | ||
(314) | 96.76 | 12.2 | ||
АlFeMg(Si), (π-фаза), P6/mmm a=0.662 нм, c=1.478 нм | (001) | 11.24 | 27.7 | [21] |
(100) | 15.45 | 22.4 | ||
(101) | 19.15 | 15.8 | ||
(2-10) | 26.87 | 43.2 | ||
(2-11)* | 29.21 | 53.5 | ||
(2-12) | 35.38 | 15.7 | ||
(202)* | 38.86 | 100 | ||
(3-10) | 41.68 | 15.7 | ||
(004) | 46.13 | 29.5 | ||
(300) | 47.58 | 40.8 | ||
(3-12)* | 47.92 | 58.5 | ||
(3-13) | 54.86 | 16.8 | ||
(304) | 68.43 | 20.9 | ||
(5-22) | 76.15 | 23.3 | ||
Al12(Fe,Mn)3Si(T-фаза) Im3, a=1.23 нм | (220) | 19.99 | 10.1 | [19] |
(310) | 22.38 | 26 | ||
(222) | 24.55 | 6.8 | ||
(321) | 26.55 | 10.5 | ||
(330) | 30.18 | 1.5 | ||
(420) | 31.86 | 8.9 | ||
(332) | 33.46 | 2.6 | ||
(521) | 39.28 | 7.4 | ||
(440) | 40.63 | 5.1 | ||
(530)* | 41.94 | 64.8 | ||
(600) | 43.21 | 28.3 | ||
(235)* | 44.46 | 100 | ||
(620) | 45.68 | 13.2 | ||
(541) | 46.87 | 4.9 | ||
(631) | 49.19 | 3.4 | ||
(640) | 52.53 | 4.5 | ||
(358) | 74.83 | 29.1 |
Рис. 5. Дифрактограммы, полученные с различных участков сварного соединения: (а) исходное состояние; (б) зона термического воздействия; (в) зона термомеханического воздействия; (г) ядро.
Согласно литературным данным табл. 3 и полученным в нашей работе данным рентгеноструктурного анализа в исходном состоянии в сплаве присутствуют следующие фазы: α-Al, S-фаза (Al2CuMg) и обогащенная железом вторичная Т-фаза (Al12Fe3Si) (рис. 5а).
В целом, в зоне сварного соединения кроме α-Al, S-фазы (Al2CuMg) и Т-фазы (Al12Fe3Si), можно видеть дифракционные линии вторичной π-фазы (AlFeMgSi) (рис. 5б–г). В области ядра интенсивность линий S-фазы (Al2CuMg) снижается (рис. 5г). В зоне термического воздействия количество дифракционных отражений S-фазы выше, чем в других зонах сварного соединения (рис. 5б). Образования метастабильных фаз, связанных с воздействием давления, не обнаружено.
Результаты расчета параметров кристаллической решетки твердого раствора (α-Al фазы) в различных областях сварного соединения, выполненные по данным рентгеноструктурного анализа, показаны в табл. 4.
Таблица 4. Параметр кристаллической решетки твердого раствора матрицы (α-Al, ГЦК), нм
Исх. | Зона термического воздействия | Зона термо-механического воздействия | Ядро |
0.4054 | 0.4050 | 0.4042 | 0.4042 |
По сравнению с исходным состоянием, наблюдается снижение параметра кристаллической решетки твердого раствора (α-Al фазы) в зонах сварного соединения (табл. 4). Это может быть объяснено обеднением матрицы (твердого раствора) и выделением вторичных фаз. При этом обеднение матрицы более выражено в зоне термомеханического воздействия и ядре. Полученные рентгеноструктурные данные подтверждаются электронно-микроскопическим исследованием (рис. 6). На рис. 6 приведены изображения различных участков исследованного сварного соединения и данные химического анализа выделений (EDS), обнаруженных в зоне сварного шва, полученные с помощью растровой микроскопии. В исходном состоянии (рис. 6а) сплав имел структуру с размером зерна 20–50 мкм, состоящую из α-твердого раствора и мелких равновесных игольчатых выделений S-фазы (Al2CuMg), формирующих специфический контраст на электронно-микроскопических снимках, а также крупных нерастворимых частиц вторичной фазы Al12Fe3Si, расположенных по границам зерен. В зонах термического (рис. 6б) и термомеханического (рис. 6в) воздействия можно также видеть на границах зерен выделения вторичных интерметаллидных фаз, обогащенных железом.
Рис. 6. Микроструктура и химический анализ исследованного сварного соединения: (а) – исходное состояние; (б) – зона термического воздействия; (в) – зона термомеханического воздействия; (г) – ядро.
Ядро сварного шва (рис. 6г) имеет мелкозернистую (5–10 мкм) рекристаллизованную структуру, с характерными мелкими выделениями интерметаллидной фазы AlFeMgSi на границах. В ядре размер выделений меньше, чем в зоне термических или термомеханических воздействий.
Результаты химического анализа демонстрируют большее содержание железа в интерметаллидных частицах, присутствующих в зоне термического и термомеханического воздействия, по сравнению с зоной ядра: 8.43 и 3.86 ат.% соответственно, содержание кремния при этом остается на том же уровне: 5.69 и 5.54 ат.% соответственно. Это, с большой долей вероятности, позволяет идентифицировать фазу в зоне ядра, как AlFeMgSi. Результаты локального химического анализа согласуются с данными рентгеновской дифрактометрии (см. рис. 5).
Существование температурного градиента в ядре сварного шва между верхней и нижней плоскостями сварного соединения также подтверждается структурными исследованиями.
На рис. 7 представлена схема с указанием анализируемых участков зоны ядра сварного шва (2 мм от верхнего и нижнего края соединения и центр).
Рис. 7. Направление анализа микроструктуры и химического состава ядра сварного соединения.
В структуре зоны ядра присутствуют строчечные выделения частиц округлой или линзовидной формы, которые, на основании результатов химического анализа, могут быть идентифицированы как силициды алюминия Al4Si3 (рис. 8а).
Рис. 8. Микроструктура ядра сварного шва, соответствующая рис. 7: (а) – область 1; (б) – область 2; (в) – область 3.
Как можно видеть, размер зерна практически не меняется по диаметру ядра сварного соединения, однако меняется размер вторичных выделений обогащенной железом и кремнием фазы AlFeMgSi (рис. 8б–в), что подтверждает существование температурного градиента и диффузионных процессов, происходящих в разных участках ядра сварного шва.
Известно, что кремний практически не растворяется в алюминии (1.3 мас.% при Т=550°С) и может входить в состав сложных фаз в алюминиевых сплавах [19]. В силуминах содержание кремния может достигать 13 мас.%. В сплавах системы Al–Cu–Mg кремний является примесью и входит в состав интерметаллидных фаз, выделяющихся на границах зерен [19].
Округлые частицы, диаметром ~1 мкм, с высоким содержанием кремния и по химическому составу, близкие к силициду алюминия Al4Si4, были обнаружены в нижней части зоны ядра (рис. 8а). Количество таких частиц оказалось недостаточным для их идентификации с помощью рентгеноструктурного анализа (менее 0.5 мас.%).
Кроме исследования частиц в различных участках ядра сварного соединения был выполнен анализ химического состава твердого раствора. Анализ выполняли по продольному сечению через центр области ядра (рис. 7), измерения проводили через каждые 4 мм. Размер анализируемой области, не включающей выделения интерметаллидных фаз, составил 5 × 5 мкм.
Сводные результаты измерения химического состава твердого раствора в зоне ядра, полученные в точках, указанных на рис. 7, представлены на рис. 9.
Рис. 9. Содержание легирующих элементов (а) и количество Al (б) в твердом растворе в зоне ядра сварного соединения.
Согласно полученным с помощью химического анализа результатам, твердый раствор в нижней части зоны ядра имеет содержание меди выше, а содержание кремния ниже, чем в средней и верхней части (рис. 9а). Учитывая низкую растворимость кремния в алюминии, этот факт может означать увеличение количества и размеров выделений фазы, обогащенной кремнием. Содержание алюминия и остальных легирующих элементов в твердом растворе практически не меняется по всей зоне ядра (рис. 9б).
Измерение микротвердости в зоне ядра сварного соединения не показало существенных изменений в центральной зоне по сравнению с верхней и нижней частью соединения. При этом микротвердость области ядра оказалась существенно ниже, чем микротвердость сплава в исходном состоянии (табл. 5).
Таблица 5. Микротвердость различных областей исследуемого образца, МПа
Исх. | Ядро, область 1 | Ядро, область 2 | Ядро, область 3 |
132± 5 | 105 ± 5 | 110 ± 5 | 106 ± 5 |
ОБСУЖДЕНИЕ РЕЗУЛЬТАТОВ
Как известно, старение в алюминиевых сплавах может оказывать как упрочняющий, так и разупрочняющий эффект. Разупрочненние происходит за счет коагуляции частиц упрочняющей фазы. В нашем случаем, не только укрупнение, но и выделение вторичных интерметаллидных фаз, связывающих химические элементы сплава, которые могли бы стать частью основных упрочняющих фаз, служит снижению прочностных характеристик материала в зоне ядра сварного соединения.
Основной упрочняющей фазой сплава Д16 является Al2CuMg (S-фаза), которая формируется при соответствующей термообработке [22]. Обычно такая термообработка включает гомогенизацию при температуре около 500°C (505°С), последующую закалку и старение при температурах от комнатной до 200°C. Во время старения происходит процесс упрочнения сплава за счет выделения интерметаллидных фаз, кинетика этого процесса зависит от температуры и времени [23]. При этом кристаллическая структура интерметаллидных соединений, и их морфология могут служить свидетелями диффузионных процессов, протекающих при определенных температурах. В сплавах системы Al–Cu–Mg, к которым относится сплав Д16, при старении образованию стабильной S-фазы предшествует появление Cu–Mg-кластеров, зон Гинье–Престона–Багаряцкого (ГПБ) и метастабильных вариантов S′ и S″ равновесной S-фазы (SS пересыщенный раствор на базе алюминия) [24]:
SS→ GPB→ S′+ S″→ S′+S →S (Al2CuMg).
Несмотря на то, что основной структурной составляющей сплава Д16 является твердый раствор меди и магния в алюминии и упрочняющая интерметаллидная S-фаза (Al2CuMg), благодаря легированию различными химическими элементами и термическим обработкам, фазовый состав дюралюминов может быть достаточно многообразен. В сплаве АА2024 (российский аналог – Д16), наряду с S-фазой (Al2CuMg), вторичные интерметаллидные микро-кристаллические фазы Al2Cu (θ-фаза), AlCuFeMnSi (p-фаза), Mg2Si (b-фаза), Al7Cu2Fe, Al12(Fe,Mn)3Si (Т-фаза) были обнаружены после искусственного старения сплава при 226°С, 9 ч и последующей закалки [25]. При этом в работе [25] при исследовании in-situ в колонне просвечивающего электронного микроскопа было обнаружено, что при искусственном старении сплава А2024 при 226°С очень тонкие игольчатые выделения стабильной S-фазы на границах зерен наблюдаются только через 2 ч 30 мин.
На рис. 10 приведена диаграмма фазовых превращений в сплаве А2024 при изотермических выдержках [24]. Согласно этой диаграмме максимальная скорость распада пересыщенного твердого раствора наблюдается при температуре около 300°С. Нагрев до температуры закалки (~500°С) приводит к полному растворению включений (рис. 10).
Рис. 10. Диаграмма изотермического распада переохлажденного и пересыщенного твердого раствора в сплаве А2024 [24].
Согласно нашим расчетам (рис. 2, 3), ядро сварного соединения и зона термомеханического воздействия в условиях СТП могут подвергаться кратковременному нагреву до 500°С. При проведении исследований в нашей работе θ-фаза (Al2Cu) не была обнаружена ни в исходном состоянии, ни после сварки трением с перемешиванием, что хорошо согласуется с результатами расчета, поскольку С-кривая для этой фазы проходит выше по температуре и не пересекается с расчетными кривыми (рис. 2, 10). Кроме того, ни одна из областей сварного соединения не находилась в температурном диапазоне выше 505°С, поскольку, согласно исследованиям работы [22], в этом случае в сплаве Д16 должны наблюдаться области расплава и эвтектики. Температура тройной эвтектики α + CuAl2 (θ-фаза) + Al2CuMg (S-фаза) в сплавах системы Al–Cu–Mg составляет ~507°С [26].
Химический состав областей, представленных на рис. 6 в различных зонах сварного соединения соответствует твердому раствору алюминия с содержанием легирующих элементов в пределах химического состава сплава (верхние таблицы результатов химического анализа к фрагментам на рис. 6). В разных участках зоны ядра обнаружено изменение содержания легирующих элементов в твердом растворе, особенно кремния и меди (рис. 9), что свидетельствует о наличии диффузионного массопереноса.
После естественного старения сплав Д16 фактически находится в неравновесном состоянии, и, при изменении температуры, может переходить в состояние пересыщенного твердого раствора с последующим распадом [24]. Образование фаз, обогащенных железом и марганцем, было обнаружено в работе [22] после закалки сплава Д16 от 495°С. Наблюдаемые в нашей работе частицы, выделившиеся на границах зерен в сплаве до сварки Д16Т (рис. 6а), близки по химическому составу к вариантам Т-фазы (Al12Mn3Si) с химической формулой (Al, Cu)11(Mg, Mn, Fe)3Si или (Al, Cu)11(Mg, Fe)3Si (табл. 3). Изменение количества и интенсивности дифракционных линий этой фазы и появление фазы AlCuFeMnSi (рис. 4) в различных зонах сварного соединения может свидетельствовать о наличии перехода в состояние пересыщенного твердого раствора и его последующем распаде. Однако, учитывая, что температура плавления Т-фазы выше 600°С [19], то, скорее всего, подобное изменение связано с массопереносом во время сварки трением с перемешиванием, происходящим как за счет термического, так и деформационного воздействия.
ВЫВОДЫ
- Проведено комплексное теоретическое и экспериментальное исследование полученного сваркой трением с перемешиванием стыкового соединения пластин из сплава Д16Т. Выявлены изменения в структуре и фазовом составе сплава в зонах сварного соединения по сравнению с исходным состоянием сплава до сварки и установлены условия и причины появления изменений.
- Математическое моделирование показало, что процессы, происходящие в металле при изотермических выдержках, не имеют места при СТП, ввиду быстротечности и относительно низких температур сварки.
- Методом математического моделирования проведена оценка времени нахождения различных участков сварного соединения в зонах высоких температур. Показано, что область ядра сварного соединения и область термомеханического воздействия кратковременно могут находиться вблизи 500°С, но не выше температуры 507°С, соответствующей образованию эвтектики.
- Полученные теоретические расчеты подтверждены экспериментальными наблюдениями выделений вторичных фаз в различных зонах сварного соединения. Обнаружено изменение содержания кремния, меди и алюминия в составе твердого раствора исследуемого материала, а также изменение фазового состава (снижение количества фазы Al12Fe3Si и появление фазы AlCuFeMnSi), что связано с массопереносом в зоне сварного шва в условиях сварки трением с перемешиванием.
- Существование температурного градиента в зоне ядра сварного шва во время сварки трением с перемешиванием приводит к коагуляции выделений вторичных фаз и снижает прочностные характеристики сварного соединения по сравнению со свойствами матрицы.
Работа выполнена в рамках государственного задания МИНОБРНАУКИ России (тема “Аддитивность”, № 121102900049-1).
Авторы данной работы заявляют, что у них нет конфликта интересов.
About the authors
N. V. Kazantseva
M.N. Miheev Institute of Metal Physics of Ural Branch of Russian Academy of Sciences
Author for correspondence.
Email: kazantseva@imp.uran.ru
Russian Federation, Ekaterinburg, 620108
G. V. Shchapov
M.N. Miheev Institute of Metal Physics of Ural Branch of Russian Academy of Sciences
Email: kazantseva@imp.uran.ru
Russian Federation, Ekaterinburg, 620108
A. V. Tsarkov
Bauman Moscow State Technical University
Email: kazantseva@imp.uran.ru
Kaluga Branch
Russian Federation, Kaluga, Kaluga region, 248000I. V. Ezhov
M.N. Miheev Institute of Metal Physics of Ural Branch of Russian Academy of Sciences
Email: kazantseva@imp.uran.ru
Russian Federation, Ekaterinburg, 620108
References
- Ahmed M.M.Z., El-Sayed Seleman M.M., Fydrych D., Çam G. Friction Stir Welding of Aluminum in the Aerospace Industry: The Current Progress and State-of-the-Art Review // Materials. 2023. V. 16. P. 2971.
- Tang W., Guo X., Mcclure J.C., Murr L.E., Nunes A. Heat input and temperature distribution in friction stir welding // J. Mat. Proc. Mfgt. Sci. 1998. V. 7. P. 163–172.
- Mishra R.S., Rani Preety. Friction stir welding of aluminum alloy and the effect of parameters on weld quality – A Review // Intern. J. Research in Eng. Innovation. 2018. V. 2. № 3. P. 280–292.
- Муравьёв В.И., Бахматов П.В., Мелкоступов К.А. К вопросу актуальности исследования сварки трением с перемешиванием конструкций из высокопрочных алюминиевых сплавов // Ученые записки. 2010. № 11–1(2). С. 110–125.
- Наумов А.А., Ожегов М.А., Смелянский Р.И., Алали Алхалаф А., Поляков П.Ю. Физико-механические процессы соединения тонких листов алюминия при сварке трением с перемешиванием встык // Материаловедение. Энергетика. 2020. Т. 26. № 2. С. 88–102.
- Бродова И.Г., Зельдович В.И., Хомская И.В. Фазово-структурные превращения и свойства цветных металлов и сплавов при экстремальных воздействиях // ФММ. 2020. Т. 121. № 7. С. 696–730.
- Макаров С.В., Плотников В.А., Лысиков М.В., Колубаев Е.А. Накопление деформации и акустическая эмиссия в алюминиево-магниевом образце, полученном сваркой трением с перемешиванием // Письма о материалах. 2020. Т. 10. № 1. С. 27–32.
- Wu T., Zhao F., Luo H., Wang H., Li Y. Temperature Monitoring and Material Flow Characteristics of Friction Stir Welded 2A14-T6 Aerospace Aluminum Alloy // Materials. 2019. V. 12. P. 3387.
- Silva A.C.F., De Backer J., Bolmsjö G. Temperature measurements during friction stir welding // Int. J. Adv. Manuf. Technol. 2017. V. 88. P. 2899–2298.
- Naumov A., Morozova Yu., Isupov F., Golubev Y., Michailov V. Temperature Influence on Microstructure and Properties Evolution of Friction Stir Welded Al-Mg-Si Alloy // Key Eng. Mater. 2019. V. 82. P. 122–128.
- Nakamura T., Obikawa T., Yukutake E., Ueda S., Nishizaki I. Tool Temperature and Process Modeling of Friction Stir Welding // Modern Mechan. Eng. 2018. V. 8. P. 78–94.
- Chen C.M., Kovacevic R. Finite element modeling of friction stir welding – thermal and thermomechanical analysis // Intern. J. Machine Tools & Manufacture. 2003. V. 43. P. 1319–1326.
- McClure J.C., Tang W., Murr L.E., Guo X., Feng Z., Gould J.E. Thermal model in friction stir welding / in 5th Int’l. Trends in Welding Research Conference Proceedings. 1998. P. 590–596.
- Frigaard O., Grong Ø., Midling O.T. A Process Model for Friction Stir Welding of Age Hardening Aluminum Alloys // Metal. Mater. Trans. A. 2001. V. 32A. P. 1189–1200.
- Mathers G. The Welding Aluminium and its Alloys. Woodenhead Publishing Ltd. 2002.
- Staley J.T., Tiryakioğlu M. The Use of TTP Curves and Quench Factor Analysis for Property Prediction in Aluminum Alloys. Advances Metal. of Aluminum Alloys, Proceedings of the James T. Staley Honorary Symposium on Aluminum Alloys. 2001. P. 6–15.
- Кархин В.А. Тепловые процессы при сварке / 2-е изд., перераб. и доп. СПб.: Изд-во Политехн. ун-та, 2015. 572 с.
- Марочник стали и сплавов. Электронный ресурс. [http://www.splav-kharkov.com/mat_start.php?name_id=1438.]
- Hu Y. Microstructural Characterization and Phase Diagram Calculation of a Less Known Al–Fe–Mn–Si Phase in a SiCp/2014Al Composite // Microscopy and Microanalysis. 2019. V. 25. P. 859–865.
- Wang S.C., Starink M.J. Review of precipitation in Al–Cu–Mg(–Li) alloys // Int. Mater. Rev. 2005. V. 50. P. 193–215.
- Foss S., Olsen A., Simensen C.J., Taftù J. Determination of the crystal structure of the π-AlFeMgSi phase using symmetry- and site-sensitive electron microscope techniques // Acta Crystal. B. 2003. V. 59(1). P. 36–42.
- Воробьев Р.А., Сорокина С.А., Евстифеева В.В. Фазовый состав деформируемых алюминиевых сплавов Д16 и с количественной оценкой пережога разных стадий развития // Изв. вузов. Цветная металлургия. 2020. № 1. C. 68–78.
- Czerwinski F. Thermal Stability of Aluminum Alloys // Materials. 2020. V. 13. P. 3441.
- Styles M., Hutchinson C., Chen Y., Deschamps A., Bastow T. The competition between metastable and equilibrium S (Al2CuMg) phase during the decomposition of Al–Cu–Mg alloys // Acta Mat. 2012. V. 60. P. 6940–6951.
- Zhang F., Levine L.E., Allen A.J., Campbell C.E., Creuziger A.A., Kazantseva N., Ilavsky J. In situ structural characterization of ageing kinetics in aluminum alloy 2024 across angstrom-to-micrometer length scales // Acta Mater. 2016. V. 111. P. 385–398.
- Колобнев И.Ф. Термическая обработка алюминиевых сплавов. М.: Металлургиздат, 1960. 421 с.
Supplementary files











