Фазовые состояния и структурные трансформации в сплавах Fe73Ga27RE0.5 (RE = Dy, Er, Tb, Yb) по данным дифракции нейтронов
- Авторы: Балагуров А.М.1,2, Ержанов Б.1, Мухаметулы Б.1,3,4, Самойлова Н.Ю.1, Палачева В.В.1,2, Сумников С.В.1,2, Головин И.С.1,2
-
Учреждения:
- Объединенный институт ядерных исследований
- Национальный исследовательский технологический университет “МИСиС”
- Казахский национальный университет имени аль-Фараби
- Институт ядерной физики Министерства энергетики Республики Казахстан
- Выпуск: Том 125, № 5 (2024)
- Страницы: 591-602
- Раздел: СТРУКТУРА, ФАЗОВЫЕ ПРЕВРАЩЕНИЯ И ДИФФУЗИЯ
- URL: https://ogarev-online.ru/0015-3230/article/view/272590
- DOI: https://doi.org/10.31857/S0015323024050115
- EDN: https://elibrary.ru/XVZHFA
- ID: 272590
Цитировать
Полный текст
Аннотация
Приведены новые данные о фазовых состояниях и структурных превращениях в сплавах Fe73Ga27, легированных Dy, Er, Tb и Yb в количестве ~0.5 ат.%. Структурные данные получены в нейтронных дифракционных экспериментах, выполненных с высоким разрешением и в режиме непрерывного сканирования по температуре при нагреве до 850°С и последующем охлаждении со скоростью ±2 °С/мин. Установлено, что как последовательность образующихся и исчезающих структурных фаз, так и финальное состояние сплава зависят от типа редкоземельного элемента. Фазовые переходы в сплаве с Dy аналогичны переходам в исходном сплаве Fe73Ga27, за исключением финального состояния. Легирование Er и Tb приводит к замещению упорядоченных плотноупакованных фаз L12 и D019 их неупорядоченными аналогами А1 и А3. При легировании Yb образования фаз L12 или А1 и D019 или А3 вообще не происходит. Существование тетрагональных структурных фаз L60 (m-D03) и D022, обнаруженных ранее в аналогичных сплавах в электронно-дифракционных исследованиях, не подтверждено.
Полный текст
Введение
Известно, что магнитострикционные свойства сплавов Fe–Ga могут быть заметно улучшены при их легировании редкоземельными элементами. Этот факт отражен в многочисленных оригинальных статьях и обзорах [1–6]. Особенно подробно изучено влияние Tb на физические и структурные свойства Fe–Ga сплавов [1, 4–9], как элемента, обладающего сильной магнитной анизотропией, которая способствует повышению магнитострикции сплава в целом. Предполагается, что еще одной причиной, определяющей повышение магнитострикции сплавов с добавкой Tb, является его содействие образованию нанонеоднородностей в закаленных или литых сплавах с преимущественно D03-структурой, формирующихся в виде тетрагональных структур L60 (ее зачастую обозначают как модифицированная D03 или m-D03) и D022 [5, 10].
Присутствие L60- и D022-структур в сплаве в количестве достаточном для влияния на такое объемное свойство, как магнитострикция, остается предметом дискуссий. Можно сказать, что достоверных свидетельств формирования объемных областей с упорядоченной по типу L60 или D022-структурой пока не найдено. Фактически все сведения, которые можно рассматривать как подтверждающие присутствие этих фаз в сплаве, получены методом SAED (selected area electron diffraction) (см., напр., [5, 9, 10]). Но использование этого метода предполагает специфическую подготовку образцов путем их утонения сфокусированным пучком ионов (focused ion-milling beam technique), которая может приводить к формированию разнообразных выделений на поверхности сплава. Как показано в [11], эти выделения в форме аморфных или кристаллических поверхностных оксидов могут значительно затруднять наблюдение упорядоченных структурных фаз и имитировать дифракционные спектры тетрагональных фаз. Для надежного подтверждения присутствия тетрагональных фаз в объеме образца необходима регистрация присущих только им дифракционных пиков с использованием рентгеновского, синхротронного или нейтронного излучений. Однако, несмотря на многочисленные попытки, ни в одном эксперименте с этими излучениями до сих пор не удалось зарегистрировать ни L60, ни D022-фазу. Наблюдавшиеся в некоторых синхротронных экспериментах отдельные пики [12, 13], которые интерпретировались как принадлежащие фазе L60, не могут являться достаточным свидетельством присутствия этой фазы в образце. Необходимым условием является наблюдение нескольких пиков этой фазы.
Помимо влияния на магнитострикционные свойства Fe–Ga-сплавов и на формирование тетрагональных фаз, присутствие редкоземельных элементов (RE) в сплаве оказывает заметное воздействие на протекание структурных переходов в ходе температурных воздействий. В частности, как установлено в нейтронных исследованиях [4, 6], присутствие Tb в количестве (0.15 ÷ 0.5) ат.% в сплавах с ~27 ат.% Ga подавляет образование плотноупакованных фаз L12 и D019. Эффективность нейтронных дифракционных исследований фазовых переходов в сплавах типа Fe–Ga была продемонстрирована в ряде работ, результаты которых представлены в обзорах [6, 14]. В основном, она определяется объемным характером получаемой информации и возможностью проводить эксперименты в режиме in situ и в реальном времени со скоростью набора данных на уровне 1 мин, что является необходимым условием для детального прослеживания структурных изменений в ходе непрерывного нагрева или охлаждения сплава. Для сплавов Fe–Ga–RE этим методом получены детальные данные о сплавах с ~19 ат.% Ga и RE = Dy, Er, Tb, Yb [15]. В настоящей работе изучены аналогичные сплавы, но при содержании галлия ~27 ат.%, что соответствует второму пику на зависимости магнитострикции от содержания Ga в двойном сплаве [16]. Подробное исследование структуры и фазовых переходов в исходном (нелегированном) сплаве Fe73Ga27 выполнено в работе [17], где показано, в частности, что после медленного нагрева и последующего охлаждения его структурное состояние представляет собой равновесную смесь фаз L12 и D019 с примерно равным объемным содержанием. В [15] было установлено, что структурные перестройки как в исходном Fe81Ga19 сплаве, так и в его легированных аналогах протекают в целом похожим образом. В настоящей работе показано, что при увеличении содержания галлия до ~27 ат.% тип редкоземельного элемента оказывает заметное влияние на тип и объемную долю промежуточных фаз, появляющихся и исчезающих при нагреве–охлаждении сплава, и на образующееся финальное равновесное состояние.
Образцы, структурные состояния и эксперимент
Литые образцы (Fe81Ga27)1-xREx с четырьмя разными редкоземельными элементами были получены плавлением соответствующей смеси чистых Fe, Ga и RE в индукционной печи, заполненной аргоном, и последующей кристаллизацией в медной изложнице. Анализ химического состава слитков, проведенный методом энергодисперсионной спектроскопии (EDX), выявил следующие композиции: Fe73.2Ga26.8Dy0.5, Fe72.6Ga27.4Er0.5, Fe73.3Ga26.7Yb0.5, Fe72.6Ga27.4Tb0.5. Здесь суммарное содержание Fe и Ga подразумевается умноженным на (1 – x/100), где x – содержание RE элемента. Поскольку ошибка в определении содержания Ga составляет около 0.2 ат.%, далее для краткости используется обозначение Fe73Ga27RE0.5. Из полученных слитков для нейтронных экспериментов вырезали образцы в форме параллелепипеда, размерами 4 × 8 × 50 мм.
В Fe–Ga-сплавах с ~27 ат.% Ga возможно образование пяти типов структур [18], три из них основаны на ОЦК-ячейке: неупорядоченная А2 (кубическая, , a ≈ 2.91 Å, N = 2), частично или полностью упорядоченные D03 (кубическая, , a ≈ 2aА2 ≈ 5.82 Å, N = 16) и B2 (кубическая, , a ≈ 2.92 Å, N = 2), а также L12 (кубическая структура ГЦК-типа, , a ≈ 3.72 Å, N = 4) и D019 (гексагональная структура ГПУ-типа, P63/mmc, a ≈ 5.22 Å, c ≈ 4.23 Å, N = 8). Разупорядочение структуры L12 переводит ее в А1 (ГЦК-ячейка, , a ≈ 3.72 Å), а структуры D019 – в А3 с уменьшенным в 2 раза параметром а (a ≈ 2.64 Å). Далее для единообразия индексации дифракционных пиков структур А2, B2 и D03 будет использоваться элементарная ячейка фазы D03, в которой основные пики определяются условием h + k + l = 4n (напр., 220, 400 и т.д.). Сверхструктурные пики в этой фазе разрешены, если все индексы Миллера нечетные (напр., 111, 311 и т.д.) или если h + k + l = 2n (напр., 200, 222 и т.д.). В фазе А2 сверхструктурные пики запрещены, а в B2 разрешены основные пики, если h + k + l = 4n и сверхструктурные, если h + k + l = 2n.
Измерения дифракционных спектров выполнены на фурье-дифрактометре высокого разрешения (HRFD) на импульсном реакторе ИБР-2 в ОИЯИ (Дубна) [19]. Для развертки дифракционного спектра на HRFD используется метод времени пролета, высокое разрешение по межплоскостному расстоянию обеспечивается быстрым фурье-прерывателем. Важной особенностью HRFD является возможность переключения между модами высокого разрешения (Δd/d ≈ 0.002, время накопления полного спектра – 1 час) и высокой светосилы со средним разрешением (Δd/d ≈ 0.015). Во второй моде полный спектр в диапазоне dhkl = (1–5) Å с необходимой статистикой набирается за ~1 минуту. Калибровка HRFD по длине волны и измерение функции разрешения дифрактометра были выполнены с использованием стандартного поликристалла La11B6 (из серии NIST standard). По спектрам высокого разрешения определяли фазовые состояния в исходном (до нагрева) и в конечном (после нагрева–охлаждения) состояниях и выполняли анализ профилей дифракционных пиков, что позволяло делать заключения о микроструктуре сплавов. Уровень разрешающей способности HRFD позволяет определять характерные размеры областей когерентного рассеяния (ОКР), если L < 3000 Å, и микродеформации в кристаллитах (статические флуктуации метрических параметров элементарной ячейки, ε ≈ Δа/а), если ε > 3·10-4. Измерения дифракционных спектров в реальном времени вели в ходе нагрева до 850°С и последующего охлаждения до комнатной температуры (КТ) при скоростях изменения температуры ±2°С/мин. По этим спектрам определяли температурные зависимости интенсивностей, положений и ширин нескольких дифракционных пиков, которые затем переводились в кристаллографические характеристики структурных фаз.
Результаты
Структурные состояния сплавов. Нейтронные дифракционные спектры всех четырех сплавов в начальном литом состоянии (до нагрева, as-cast), измеренные в моде высокого разрешения, в первом приближении одинаковы и содержат только основные и сверхструктурные пики фазы D03. Финальные состояния, после процедуры нагрева–охлаждения, оказались одинаковы для сплавов с Er, Tb и Yb (сохранилась фаза D03), но в сплаве с Dy фаза D03 практически перешла в равновесную фазу L12 (осталась небольшая примесь фазы А2). Это видно из спектров, показанных на рис. 1, где приведены данные для сплавов с Er и Dy. Хорошо видны сверхструктурные пики фаз D03 (111, 200, 311) и L12 (100, 110, 210). Спектры, измеренные на сплавах с Tb и Yb, идентичны спектрам для сплава с Er.
Рис. 1. Нейтронные дифракционные спектры сплавов Fe73Ga27RE0.5, RE = Er, Dy, измеренные на HRFD (высокое разрешение) при комнатной температуре в исходном состоянии (после отливки) и после медленного нагрева (до 850°С) и последующего охлаждения до КТ. Указаны положения пиков фаз D03 (на а, б, в) и L12 (на г) и индексы Миллера некоторых пиков.
Профили дифракционных пиков регулярные, и могут быть хорошо аппроксимированы функцией Войта. В исходном состоянии основные дифракционные пики для всех сплавов несколько уширены по сравнению с пиками, полученными от LaB6 (Δd/d ≈ 0.0024 вместо 0.0020), и остаются практически неизменными для сплавов с Er, Tb и Yb после их нагрева–охлаждения (рис. 2а). Исключением является сплав с Dy, находящийся после нагрева–охлаждения в фазе L12, пики которой значительно и нерегулярно уширены (рис. 2б). В нескольких рентгеновских и синхротронных экспериментах (см., напр., [3, 9]) зарегистрировано характерное искажение (расщепление) основных дифракционных пиков, которое интерпретируется в пользу присутствия в образце тетрагональной фазы L60. Причем интенсивность компоненты, обозначаемой как L60, сравнима или даже превышает интенсивность компоненты основной фазы (А2 или D03). Относительная величина расщепления составляет Δd/d ≈ 0.005, и оно должно было бы проявляться в профилях пиков, показанных на рис. 2, как появление дополнительной компоненты, отстоящей на ~ 0.01 Å. Как видно, ничего подобного не наблюдается.
Рис. 2. Профили дифракционных пиков сплавов Fe73Ga27Er0.5 (a) и Fe73Ga27Dy0.5 (б), измеренные на HRFD (высокое разрешение) до (до, ромбы) и после (пос., кресты) медленного нагрева–охлаждения. Для фазы D03 (сплав с Er до нагрева и после охлаждения, и с Dy до нагрева) показаны профили пика 220. Для фазы L12 (сплав с Dy после охлаждения) показаны профили пиков 111 и 200. Пики нормированы по амплитуде и совмещены по межплоскостному расстоянию.
Для выявления причин уширения дифракционных пиков был проведен анализ с использованием метода Вильямсона–Холла. Он показал (рис. 3а), что экспериментальные зависимости величин W2 от d2, где W – ширины пиков, d – межплоскостное расстояние, являются линейными для основных и параболическими для сверхструктурных пиков в сплавах с Er, Tb и Yb, находящихся в исходном состоянии. После нагрева–охлаждения этих сплавов указанная зависимость становится линейной для всех дифракционных пиков в спектре. Это означает (подробная интерпретация эффекта дана в [18]), что микроструктура сплавов с Er, Tb и Yb в исходном состоянии представляет собой структурно неупорядоченную матрицу фазы A2 с дисперсно встроенными в нее кластерами упорядоченной фазы D03, характерные размеры которых составляют ~900 Å. В результате медленных нагрева и охлаждения атомная структура всего объема сплавов упорядочилась, превратившись в фазу D03. Некоторое превышение ширин основных дифракционных пиков над вкладом функции разрешения HRFD связано исключительно с наличием статических флуктуаций параметра элементарной ячейки (микродеформациями), ε = Δa/a ≈ 0.0004. Следует отметить, что параметры элементарных ячеек, определенные по основным и по сверхструктурным дифракционным пикам, практически идентичны, что означает высокую степень когерентности элементарных ячеек матрицы и кластеров (подробнее см. [14]). Совершенно другая ситуация реализуется для сплава с Dy (рис. 3б). А именно, исходное состояние – однородное (фаза D03), состояние после нагрева–охлаждения (фаза L12) – сильно и анизотропно напряженное. Похожая морфология микроструктуры была определена для литого сплава Fe73Ga27 [18], и показано, что построение Вильямсона–Холла может быть линеаризовано при учете дислокационного фактора контраста.
Рис. 3. Построение Вильямсона–Холла для ширин дифракционных пиков сплавов Fe73Ga27Er0.5 (а) и Fe73Ga27Dy0.5 (б) в исходном состоянии (ромбы, обозначены до) и после охлаждения (квадраты, обозначены пос.). Сплошные линии – описание экспериментальных точек с использованием метода наименьших квадратов. Штриховая линия по точкам фазы L12 на (б) проведена для наглядности. Приведены индексы Миллера первых дифракционных пиков. Цифрами указаны величины микродеформаций. Штриховая линия внизу обоих графиков – вклад в ширины пиков от функции разрешения дифрактометра.
Помимо анализа микроструктурного состояния, дифракционные спектры, измеренные в моде высокого разрешения, использовались еще и для определения параметров элементарных ячеек присутствующих в сплавах фаз. Соответствующие данные вместе с информацией о фазовых состояниях сплавов в исходном состоянии приведены в табл. 1 и показаны на рис. 4. Видно, что, несмотря на очень небольшие различия параметров ячеек разных сплавов, просматривается их регулярная зависимость от ионного радиуса легирующего элемента. Этот факт является косвенным свидетельством того, что RE элементы действительно встраиваются в структуру сплава, замещая либо Fe, либо Ga. Поскольку после охлаждения в сплавах присутствуют разные структурные фазы, то размеры их элементарных ячеек удобнее анализировать, сравнивая атомные объемы (объем ячейки, приходящийся на один атом). Из данных, приведенных в табл. 1, следует, что в Fe–Ga-сплавах фаза D03, основанная на ОЦК-ячейке, является более плотной (Va ≈ 12.30 Å3), чем фазы L12 (Va ≈ 12.52 Å3) и D019 (Va ≈ 12.48 Å3), основанные на ГЦК- и ГПУ-ячейках, соответственно. Аналогичный результат был получен ранее в эксперименте по медленному нагреву сплава Fe73Ga27 [18], а именно, при фазовом переходе D03 → L12 атомный объем скачком увеличивается, а при L12 → D019 немного уменьшается.
Рис. 4. Параметр элементарной ячейки фазы D03 как функция ионного радиуса редкоземельного элемента (валентное состояние 3+). Горизонтальной линией указана величина параметра для сплава Fe73Ga27.
Таблица 1. Фазовые состояния сплавов Fe73Ga27 + RE до нагрева и после охлаждения. До нагрева приведены параметры ячейки фазы D03. В последней колонке приведены атомные объемы основной (L12 или D03) и дополнительной (D019 или А2) фаз после охлаждения сплава. Ошибки определения параметров ячейки составляют около ±0.001 Å, атомных объемов – ±0.05 Å3
Состав | до нагрева | a, Å | после охлаждения | Va, Å3 |
Fe73Ga27 | D03 | 5.817 | L12 + D019 | 12.52 / 12.48 |
+ Dy0.5 | D03 | 5.819 | L12 + A2 | 12.54 / 12.29 |
+ Er0.5 | A2 + D03 | 5.810 | D03 | 12.30 |
+ Tb0.5 | A2 + D03 | 5.819 | D03 | 12.32 |
+ Yb0.5 | A2 + D03 | 5.806 | D03 | 12.26 |
Фазовые переходы при нагреве и охлаждении. Анализ нейтронных дифракционных спектров, измеренных в ходе непрерывного нагрева и последующего охлаждения сплава со скоростью изменения температуры ±2°С/мин, позволяет детально проследить за происходящими в нем структурными фазовыми переходами. В сплаве Fe73Ga27Dy0.5 трансформации структуры во многом повторяют фазовые переходы, наблюдавшиеся для исходного сплава Fe73Ga27 [17, 18]. Их 3D-визуализация представлена на рис. 5, где видны сильные основные и слабые сверхструктурные дифракционные пики всех четырех структурных фаз, существующих в этом сплаве при разных температурах. На рис. 6 показано, как интенсивности характерных дифракционных пиков различных фаз меняются при нагреве и охлаждении. Обращает на себя внимание общее значительное уменьшение интенсивностей дифракционных пиков при высоких температурах, более сильное, чем в Fe73Ga27. В некоторой степени оно связано с уменьшением фактора Дебая–Валлера, но в основном с нарушением дальнего порядка, вплоть до частичной аморфизации структуры. Еще одним отличием от переходов в исходном сплаве стало формирование фазы B2 при нагреве в интервале (680–795)°С и при охлаждении в интервале (810–500)°С и формирование фазы D03 при охлаждении в интервале (635–500)°С. Интенсивности сверхструктурных пиков этих фаз относительно малы. Можно предполагать, следовательно, что либо эти фазы формируются в малых изолированных объемах образца, либо мала степень упорядочения их структуры. Но основной особенностью фазовых переходов в сплаве с Dy является полное отсутствие гексагональной фазы D019 при охлаждении, тогда как при охлаждении исходного сплава (без Dy) ее объемная доля и доля фазы L12 становились примерно одинаковыми при КТ.
Рис. 5. Дифракционные спектры сплава Fe73Gа27Dy0.5, измеренные в ходе нагрева и последующего охлаждения со скоростью ±2°С/мин. Ось температуры (и времени) направлена снизу вверх, ось межплоскостных расстояний – слева направо. Исходное состояние образца – фаза D03, при нагреве происходят переходы D03 → L12 → D019 → B2 → A2, при охлаждении происходят переходы A2 → B2 → D03 → L12. Индексы Миллера пиков, принадлежащих фазам А2, B2 и D03, приведены для ячейки D03. Время измерения одного спектра – 1 минута, всего 3D-карта содержит около 900 спектров.
Рис. 6. Зависимости от температуры интенсивностей некоторых основных и сверхструктурных дифракционных пиков сплава Fe73Gа27Dy0.5 в ходе его нагрева (до 850°С) и последующего охлаждениях. Вертикальными линиями указаны (условно) температуры переходов между структурными фазами.
Совершенно другая ситуация наблюдается в сплавах с Er и Tb, а именно, при нагреве происходит почти полное подавление образования плотноупакованных фаз D019 и L12, а при охлаждении они вообще не появляются. Визуализация переходов в сплаве с Er представлена на рис. 7, для сплава с Tb картина идентична. Возникающие при нагреве ГЦК и ГПУ-фазы неупорядочены (А1 вместо L12 и А3 вместо D019), а температурные интервалы их существования невелики: (450–580)°С для А1 и (580–650)°С для А3. Фазы, основанные на ОЦК-решетке, существуют во всем температурном интервале: D03 до ≈ 620°С, а далее следует А2. При охлаждении упорядоченная фаза D03 образуется при Т ≈ 620°С. Соответствующие зависимости интенсивностей характерных дифракционных пиков для сплава с Er показаны на рис. 8.
Рис. 7. То же, что на рис. 5, но для сплава Fe73Gа27Er0.5. Ось температуры (и времени) направлена снизу вверх. Исходное состояние образца – фаза D03, при нагреве происходят переходы D03 → (D03 + A1) → (D03 + А3) → A2, при охлаждении происходит переход A2 → D03. Индексы Миллера пиков, принадлежащих фазам А2 и D03, приведены для ячейки D03. Время измерения одного спектра – 1 минута, всего 3D-карта содержит около 900 спектров.
Рис. 8. Зависимости от температуры интенсивностей характерных дифракционных пиков сплава Fe73Gа27Er0.5 в ходе его нагрева и последующего охлаждениях.
В сплаве с Yb картина переходов еще более упростилась – плотноупакованные фазы отсутствуют не только при охлаждении, но и при нагреве. Зависимости интенсивностей дифракционных пиков, принадлежащих ОЦК-фазам, практически такие же, как для сплава с Er.
Температурное поведение интенсивностей пиков для сплавов с Er, Tb и Yb в целом определяется температурной зависимостью фактора Дебая–Валлера. Нерегулярности, возникающие в области фазовых переходов, связаны с экстинкционными эффектами, отражающими разную степень упорядоченности структуры и размер монокристаллических зерен и, как следствие, разный уровень экстинкции.
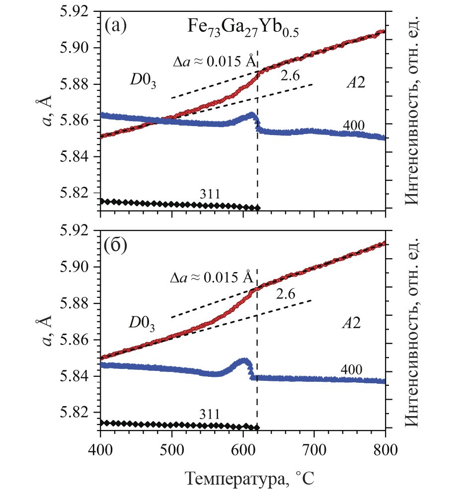
В бинарных сплавах, помимо поведения интенсивностей сверхструктурных пиков, о переходах порядок-беспорядок можно судить по зависимости параметров элементарной ячейки (атомного объема) от температуры [14]. Примеры характерного S-образного изменения параметра ячейки сплава Fe73Gа27Yb0.5 при появлении или исчезновении упорядоченных кластеров приведены на рис. 9. Вне области этих переходов наблюдается линейное изменение параметра с практически одинаковыми коэффициентами теплового расширения (сжатия) β = (Δa/a)/ΔT ≈ ≈ ±2.6·10-5 K-1, что заметно больше (на ~57%), чем у литого железа. Условный “скачок” параметра при этом составляет Δa/a ≈ 2.6·10-3. Поскольку параметр ячейки определяется из положений основных пиков, имеющих большую интенсивность, он может быть измерен с большой точностью и, соответственно, является более чувствительным индикатором перехода, чем поведение интенсивностей слабых сверхструктурных пиков.
Рис. 9. Зависимость от температуры параметра элементарной ячейки (левая шкала) сплава Fe73Gа27Yb0.5 и интенсивностей основного (400) и сверхструктурного (311) пиков (правая шкала) при его нагреве (а) и последующем охлаждении (б). Показан интервал температур в области структурного перехода D03 ↔ А2. Наклонные линии – описание экспериментальных точек линейной функцией. Цифрами указан температурный коэффициент линейного расширения (в ед. 10–5 1/К).
Оценка объемной доли тетрагональных фаз L60 и D022. Большая часть работ, в которых обсуждается формирование тетрагональных фаз в сплавах Fe–Ga, относится к сплавам с ~19 ат.% Ga. Данные по присутствию этих фаз в сплавах с ~27 ат.% Ga, полученные методом SAED, приведены в работе [10], в которой были идентифицированы признаки как L60, так и (впервые) D022 и сделана оценка параметров их элементарных ячеек. Фаза L60 относится к структурному типу Ti3Cu (P4/mmm) с параметрами ячейки a ≈ 4.10 Å, c ≈ 2.98 Å и степенью тетрагональности c/a = 0.727. При полной когерентности кристаллических решеток L60 и D03: a(L60) = a(D03)/√2, c(L60) = a(D03)/2, c/a =1/√2 = 0.707. Фаза D022 относится к структурному типу Al3Ti (I4/mmm) с параметрами ячейки a ≈ 3.70 Å, c ≈ 7.20 Å. Структурно она представляет собой удвоенную по оси c фазу L12.
Явных признаков сверхструктурных пиков, которые можно было бы отнести к тетрагональным фазам, ни в одном из измеренных нейтронных дифракционных спектров обнаружено не было. Один из спектров, измеренный в режиме высокой светосилы в области больших dhkl, где должны располагаться наиболее интенсивные сверхструктурные пики L60- и D022-фаз, показан на рис. 10. Интенсивности сверхструктурных пиков фазы L12 (100 и 110) составляют не более 10% от интенсивностей основных пиков этой фазы, но они хорошо видны, тогда как в местах расположения пиков тетрагональных фаз ничего, кроме флуктуаций фона не наблюдается. В случае статистики Пуассона флуктуации фона со средним значением Ib составляют ΔIb = = , где – дисперсия распределения отсчетов и ~95% отсчетов укладываются в этот интервал.
Рис. 10. Нейтронный дифракционный спектр Fe73Ga27Dy0.5, измеренный в области больших dhkl после нагрева и охлаждения сплава. Масштаб по оси ординат увеличен. Штрихами отмечены положения основных и сверхструктурных пиков фазы L12 (100, 110, 111, 200) и расчетные положения пиков тетрагональных фаз L60 и D022 (сверху вниз). Указаны пики, связанные с окружением образца (печь) и следами фазы А2 (А2).
Дифракционный пик будет уверенно наблюдаться, если его амплитуда удовлетворяет условию: Ap > 2ΔIb = , т. е. в 2 раза превышает флуктуации фона. Это условие позволяет получить верхнюю оценку возможной объемной доли тетрагональных фаз. Для этого следует учесть, что для TOF-дифрактометра при отсутствии текстурных эффектов, для интенсивностей сверхструктурных (IS) пиков можно написать:
(1)
где Φ(λ) – эффективный спектр нейтронов при длине волны λ, VS – доля упорядоченной фазы в объеме образца, jhkl – фактор повторяемости, Lhkl – фактор Лоренца ( для TOF-дифрактометра), (hkl) – индексы Миллера конкретного пика, FS – структурный фактор, – зависящая от температуры степень упорядочения структуры, 0 ≤ ≤ 1. Структурные факторы сверхструктурных пиков для рассматриваемых фаз в первом приближении одинаковы и определяются величиной FS ~ (bFe – bGa), где bFe = 0.945, bGa = 0.729 – нейтронные когерентные длины рассеяния (в единицах 10-12 см). Для получения оценки объемной доли необходимо еще предположить полную упорядоченность всех структурных фаз.
Используя указанный критерий наблюдаемости пиков, известный уровень фона и экспериментальные значения интенсивностей сверхструктурных пиков фазы D03 для отношений объемов, занимаемых фазами L60 и D022 и основной фазы D03, в сплаве Fe73Ga27Dy0.5 до нагрева получено: V(L60)/V(D03) ≤ 0.03, V(D022)/V(D03) ≤ 0.06. Статистические ошибки этих оценок невелики и составляют около 10%. Основная неопределенность связана со сделанными предположениями. Например, в случае неполного упорядочения фаз L60 и D022 их возможная объемная доля соответствующим образом возрастет. Для сплава с Dy и для других сплавов в состоянии после нагрева–охлаждения эти цифры незначительно (примерно в 1.5 раза) уменьшаются вследствие увеличения интенсивностей сверхструктурных пиков основной фазы.
Обсуждение и выводы
Ранее было установлено (см., напр. [17]), что сплав Fe73Ga27 в исходном (литом) состоянии характеризуется D03 структурой со сравнительно большими (~1500 Å) размерами областей когерентного рассеяния. Из приведенных результатов следует, что при легировании этого сплава редкоземельными элементами RE = Dy, Er, Tb и Yb в количестве ~0.5 ат.% фаза D03 сохраняется, но организация микроструктуры сплава заметно изменяется. Построения Вильямсона–Холла (рис. 3) позволяют сделать вывод, что при легировании Dy микроструктура сплава становится более однородной, что отражается в значительном увеличении характерных размеров ОКР (L > 3000 Å). Наоборот, при легировании Er, Tb и Yb микроструктура становится неоднородной, превращаясь в матрицу со структурой фазы A2 с дисперсно встроенными в нее кластерами фазы D03 с характерными размерами ~900 Å. В результате процедуры контролируемых нагрева и охлаждения со скоростью ±2°С/мин кластеры фазы D03 в сплавах с Er, Tb и Yb значительно увеличиваются в размерах (сливаются), что переводит микроструктуру сплавов в однородное состояние с большими размерами ОКР (L > 3000 Å).
Специфической особенностью Fe–Ga-сплавов, легированных малыми количествами RE элементов, является неоднородность распределения последних в объеме сплава, отмеченная во многих публикациях (ссылки в обзоре [6]). В частности, с использованием электронной микроскопии и энергодисперсионной рентгеновской спектроскопии получены свидетельства преимущественной концентрации RE элементов по границам зерен.
По вопросу степени растворимости RE элементов в Fe–Ga сплавах в литературе до сих пор нет точных данных. Наиболее исследованы сплавы с Tb, для растворимости которого в большинстве работ указывается 0.1–0.2 ат.%. Надежных данных по растворимости других RE элементов не существует. Некоторые оценки основываются на косвенных данных измерения магнитострикции и составляют от 0.1 до 0.6 ат.%. Показанная на рис. 4 корреляция параметра ячейки исходной фазы D03 с ионным радиусом RE элементов свидетельствует о том, что, возможно не вся, но все-таки значительная их доля встроена в кристаллическую решетку и оказывает влияние на магнитострикцию сплава через модификацию атомной и магнитной структуры. Обнаруженные изменения микроструктуры сплавов также подтверждают это предположение.
Конкретная последовательность структурных фазовых переходов при нагреве и охлаждении сплавов Fe73Ga27RЕ0.5 существенно зависит от типа RE элемента:
1) в сплаве с Dy при нагреве последовательность переходов такая же, как в исходном сплаве Fe73Ga27 (D03 → L12 → D019 → B2 → A2), и несколько отличная при охлаждении (A2 → B2 → D03 → L12), отсутствует фаза D019;
2) переходы в сплавах с Er и Tb отличаются тем, что вместо упорядоченных фаз L12 и D019 образуются их неупорядоченные аналоги, т.е. наблюдается последовательность D03 → (D03 + A1) → → (D03 + А3) → A2 при нагреве и А2 → D03 при охлаждении (см. рис. 7);
3) наконец, в сплаве с Yb плотноупакованных фаз совсем не образуется, т.е. в цикле нагрев-охлаждение наблюдается последовательность D03 → A2 → D03.
Эти результаты позволяют уточнить и конкретизировать выводы, впервые сделанные в [4] для сплавов Fe73Ga27Tbx (x = 0.15–0.5) и в [8] для сплавов с ~27 ат.% Ga и RE = Tb, Er, Yb, Pr и Sm, о подавлении формирования L12 и D019-фаз и стабилизации D03-фазы при легировании Fe–Ga-сплавов RE элементами.
Увеличение содержания галлия до ~27 ат.%, по сравнению с сплавами Fe–Ga–RЕ с ~19 ат.% Ga [15], не привело к положительным результатам при поиске тетрагональных фаз L60 и D022 в измеренных нейтронных дифракционных спектрах. Не было обнаружено ни принадлежащих этим фазам сверхструктурных пиков, ни характерного расщепления профилей основных дифракционных пиков. Из анализа флуктуаций фона в нейтронограммах сделана оценка максимальной доли объема образца, которую могли бы занимать тетрагональные фазы. Она оказалась примерно такой же, как в случае сплавов с ~19 ат.% Ga, а именно, если эти фазы и присутствует в образцах (как это отмечалось в ряде ТЕМ-исследований), то они занимают не более (3÷6)% их объема. Следует отметить, что в последнее время появляются работы, в которых делается попытка объяснения необычных магнитоэластических свойств Fe–Ga-сплавов без привлечения гипотезы о наличии тетрагональных включений в кристаллическую матрицу. Например, в [20] проведены ab initio расчеты спиновой динамики в Fe75Ga25 и показана связь атомного упорядочения сплава со смягчением спектра магнонов и уменьшением жесткости спиновых волн.
Резюмируя, можно сказать, что структурные перестройки в сплавах Fe73Ga27RЕ0.5 при их нагреве и последующем охлаждении протекают существенно по-разному для разных RЕ элементов. Фазовые переходы в сплаве с Dy во многом аналогичны переходам в исходном сплаве Fe73Ga27, хотя их финальные состояния после охлаждения различаются существенно. В сплавах с Er и Tb в значительной степени подавляется образование плотноупакованных фаз и происходит замещение их упорядоченных состояний на неупорядоченные аналоги. В сплаве с Yb образования плотноупакованных фаз не происходит.
Достоверные причины этих эффектов пока не ясны. Можно предполагать разные фактические доли RЕ элементов, встроенных в структуру сплава и сконцентрированных по границам кристаллитов. Некоторое различие использованных RЕ элементов по ионным радиусам вряд ли может вызывать столь значимые следствия. Одной из вероятных причин может быть влияние магнитных характеристик этих элементов, по которым их можно разделить на три группы. Выделяются Dy и Yb с большим и малым магнитными моментами, соответственно, mDy = 10.5 mB, mYb = 4.4 mB. Третью группу составляют Er и Tb, магнитные моменты которых примерно одинаковы: mEr = 9.5 mB, mTb = 9.6 mB. Такое разделение коррелирует с особенностями представленных структурных перестроек. Проверка этого предположения могла бы состоять в анализе перестроек в сплавах, содержащих RЕ элементы с заметно другими магнитными моментами, например, с Sm (mSm = 1.5 mB) или с Ce (mCe = 2.4 mB). Возможно, что ab initio вычисления, например, такие как выполненные в работах [21, 22, 23], также помогут прояснить влияние RЕ элементов на структурные перестройки в сплавах Fe73Ga27RЕ0.5.
Авторы благодарят А. Мохамеда за помощь в подготовке образцов для исследований.
Нейтронные дифракционные эксперименты проведены на нейтронном источнике ИБР-2 (ОИЯИ, Дубна). Работа выполнена при финансовой поддержке проекта “Жас ғалым” ИРН AP14971722 (А.М. Балагуров и Б. Мухаметулы) и РНФ, проект 22-42-04404.
Авторы данной работы заявляют, что у них нет конфликта интересов.
Об авторах
А. М. Балагуров
Объединенный институт ядерных исследований; Национальный исследовательский технологический университет “МИСиС”
Email: bekarys@jinr.ru
Россия, 141980, Дубна, ул. Жолио Кюри, 6; 119049, Москва, Ленинский просп., 4
Б. Ержанов
Объединенный институт ядерных исследований
Автор, ответственный за переписку.
Email: bekarys@jinr.ru
Россия, 141980, Дубна, ул. Жолио Кюри, 6
Б. Мухаметулы
Объединенный институт ядерных исследований; Казахский национальный университет имени аль-Фараби; Институт ядерной физики Министерства энергетики Республики Казахстан
Email: bekarys@jinr.ru
Россия, 141980, Дубна, ул. Жолио Кюри, 6; 050040, Казахстан, Алматы, просп. аль-Фараби, 71; 050032, Казахстан, Алматы, ул. Ибрагимова, 1
Н. Ю. Самойлова
Объединенный институт ядерных исследований
Email: bekarys@jinr.ru
Россия, 141980, Дубна, ул. Жолио Кюри, 6
В. В. Палачева
Объединенный институт ядерных исследований; Национальный исследовательский технологический университет “МИСиС”
Email: bekarys@jinr.ru
Россия, 141980, Дубна, ул. Жолио Кюри, 6; 119049, Москва, Ленинский просп., 4
С. В. Сумников
Объединенный институт ядерных исследований; Национальный исследовательский технологический университет “МИСиС”
Email: bekarys@jinr.ru
Россия, 141980, Дубна, ул. Жолио Кюри, 6; 119049, Москва, Ленинский просп., 4
И. С. Головин
Объединенный институт ядерных исследований; Национальный исследовательский технологический университет “МИСиС”
Email: bekarys@jinr.ru
Россия, 141980, Дубна, ул. Жолио Кюри, 6; 119049, Москва, Ленинский просп., 4
Список литературы
- Ma T.Y., Hu S.S., Bai G.H., Yan M., Lu Y.H., Li H.Y., Peng X.L., Ren X.B. Structural origin for the local strong anisotropy in melt-spun Fe–Ga–Tb: Tetragonal nanoparticles // Appl. Phys. Lett. 2015. V. 106. P. 112401.
- He Y., Jiang C., Wu W., Wang B., Duan H., Wang H., Zhang T., Wang J., Liu J., Zhang Z., Stamenov P., Coey J.M.D., Xu H. Giant heterogeneous magnetostriction in Fe–Ga alloys: Effect of trace element doping // Acta Mater. 2016. V. 109. P. 177–186.
- He Y., Ke X., Jiang C., Miao N., Wang H., Coey J.M.D., Wang Y., Xu H. Interaction of trace rare earth dopants and nanoheterogeneities induces giant magnetostriction in Fe–Ga alloys // Adv. Funct. Mater. 2018. V. 28. P. 1800858.
- Emdadi A., Palacheva V.V., Balagurov А.M., Bobrikov I.A., Cheverikin V.V., Cifre J., Golovin I.S. Tb-dependent phase transitions in Fe–Ga functional alloys // Intermetallics. 2018. V. 93. P. 55–62.
- Wu Y., Chen Y., Meng Ch., Wang H., Ke X., Wang J., Liu J., Zhang T., Yu R., Coey J.M. D., Jiang C., Xu H. Multiscale influence of trace Tb addition on the magnetostriction and ductility of <100> oriented directionally solidified Fe–Ga crystals // Phys. Rev. Mat. 2019. V. 3. P. 033401.
- Головин И.С., Палачева В.В., Мохамед А.К., Балагуров А.М. Структура и свойства Fe–Ga сплавов – перспективных материалов для электроники // ФММ. 2020. Т. 121. С. 937–980.
- Jin T., Wang H., Golovin I.S., Jiang C. Microstructure investigation on magnetostrictive Fe100-xGax and (Fe100-xGax)99.8Tb0.2 alloys for 19 ≤ x ≤ 29 // Intermetallics. 2019. V. 115. P. 106628.
- Golovin I.S., Mohamed A.K., Palacheva V.V., Zanaeva E.N., Cifre J., Samoylova N. Yu., Balagurov A.M. Mechanical spectroscopy of phase transitions in Fe–(23–38) Ga–RE alloys // J. Alloy and Comp. 2021. V. 874. P. 159882.
- Jin T., Wang H., Chen Y., Li T., Wang J., Jiang C. Evolution of nanoheterogeneities and correlative influence on magnetostriction in FeGa-based magnetostrictive alloys // Materials Characterization. 2022. V. 186. P. 111780.
- Gou J., Yang T., Qiao R., Liu Y., Ma T. Formation mechanism of tetragonal nanoprecipitates in Fe–Ga alloys that dominate the material's large magnetostriction // Scr. Mater. 2020. V. 185. P. 129–133.
- Xing Q., Kramer M.J., Wu D., Lograsso T.A. Influence of surface oxidation on transmission electron microscopy characterization of Fe–Ga alloys // Materials Charact. 2010. V. 61. P. 598–602.
- Liu H., Wang Y., Dong L., Wang H., Zhang Y., Zhang Z., Tan W. Structure and magnetic properties of Fe–Ga ribbons doped by Sn // J. Mater. Sci.: Mater. Electron. 2021. V. 32. P. 745–751.
- Dai Z., Zhou C., Guo C., Cao K., Zhang R., Chang T., Matsushita Y., Murtaza A., Tian F., Zuo W., Zhang Y., Yang S., Song X. Giant enhancement of magnetostriction in Pt doped FeGa ribbons // Appl. Phys. Lett. 2023. V. 123. P. 082402.
- Балагуров А.М., Головин И.С. Рассеяние нейтронов в исследованиях функциональных сплавов на основе железа (Fe–Ga, Fe–Al) // УФН. 2021. Т. 191(7). С. 738–759.
- Балагуров А.М., Ержанов Б., Мухаметулы Б., Самойлова Н.Ю., Палачева В.В., Сумников С.В., Головин И.С. Фазовые переходы порядок-беспорядок в сплавах Fe81Ga19–RE (RE = Dy, Er, Tb, Yb) по данным дифракции нейтронов // ФММ. 2024. Т. 125. № 2. С. 202–213.
- Summers E.M., Lograsso T.A., Wun-Fogle M.J. Magnetostriction of binary and ternary Fe–Ga alloys // Mater. Sci. 2007. V. 42. P. 9582.
- Golovin I.S., Mohamed A.K., Palacheva V.V., Cheverikin V.V., Pozdnyakov A.V., Korovushkin V.V., Balagurov A.M., Bobrikov I.A., Fazel N., Mouas M., Gasser J. – G., Gasser F., Tabary P., Lan Q., Kovacs A., Ostendorp S., Hubek R., Divinski S., Wilde G. Comparative study of structure and phase transitions in Fe–(25–27)%Ga alloys // J. Alloy and Comp. 2019. V. 811. P. 152030.
- Balagurov A.M., Golovin I.S., Bobrikov I.A., Palacheva V.V., Sumnikov S.V., Zlokazov V.B. Comparative study of structural phase transitions in bulk and powdered Fe-27Ga alloy by real-time neutron thermodiffractometry // J. Appl. Cryst. 2017. V. 50. P. 198–210.
- Balagurov A.M. Scientific reviews: high-resolution Fourier diffraction at the IBR-2 reactor // Neutron News. 2005. V. 16. P. 8–12.
- Johansson G., Gorbatov O.I., Etz C. Theoretical investigation of magnons in Fe–Ga alloys // Phys. Rev. B. 2023. V. 108. P. 184410.
- Matyunina M.V., Zagrebin M.A., Sokolovskiy V.V., Pavlukhina O.O, Buchelnikov V.D., Balagurov A.M., Golovin I.S. Phase diagram of magnetostrictive Fe-Ga alloys: insights from theory and experiment // Phase Trans. 2019. V. 92. P. 101–116.
- Adelani M.O., Olive-Méndez S.F., Espinosa-Magaña F., Aquino J.A.M., Grijalva-Castillo M.C. Structural, magnetic and electronic properties of Fe-Ga-Tbx (0 ≤ x ≤ 1.85) alloys: Density-functional theory study // J. Alloys Comp. 2021. V. 857. P. 157540.
- Матюнина М.В., Загребин М.А., Соколовский В.В., Бучельников В.Д. Влияние легирования Al на стабильность фаз D03 и L12 в сплавах Fe73.44 (Ga, Al) 26.56: ab initio расчет и Монте-Карло моделирование // ФММ. 2023. Т. 124. № 1. С. 98–105.
Дополнительные файлы












