Influence of the temperature of high pressure torsion deformation on the recrystallization kinetics of iron with a submicrocrystalline structure
- Authors: Voronova L.M.1, Degtyarev М.V.1, Chashchukhina T.I.1
-
Affiliations:
- Miheev Institute of Metal Physics, Ural Branch, Russian Academy of Sciences
- Issue: Vol 125, No 5 (2024)
- Pages: 579-590
- Section: СТРУКТУРА, ФАЗОВЫЕ ПРЕВРАЩЕНИЯ И ДИФФУЗИЯ
- URL: https://ogarev-online.ru/0015-3230/article/view/272582
- DOI: https://doi.org/10.31857/S0015323024050103
- EDN: https://elibrary.ru/XWKDRS
- ID: 272582
Cite item
Full Text
Abstract
The kinetics of recrystallization of pure iron deformed by high pressure torsion at 20 and 250°C has been studied in the course of annealing at 450°C. The change in grain size upon annealing at 450°C does not obey the law of normal grain growth, either in iron with an SMC structure formed at 20°C or in iron with a dynamically recrystallized structure formed at 250°C. This is because new thermally activated recrystallization centers appear upon annealing. The study has also established the influence of deformation temperature on the annealing texture. Similarly, after deformation at 20°C, a sharper texture is formed with a predominance of two components {110} <111> and {110} <001>, and after deformation at 250°C, with a predominance of three components {110} <111>, {110} <001> and {112} <111>, is formed.
Full Text
Введение
Важной характеристикой материалов с ультрадисперсной структурой деформационного происхождения является их термическая стабильность [1–3]. Из теоретических представлений следует, что чем меньше размер элементов структуры, тем больше движущая сила роста зерна [4]. Благодаря этому и большой запасенной энергии деформации в таких материалах быстрее и при меньшей температуре происходят релаксационные процессы, например, рекристаллизация [5]. С другой стороны, уменьшение размера элементов деформационной структуры ниже некоторого критического размера (десятки нанометров) может привести к повышению ее термической стабильности [2]. Подавление быстрого роста зерна в чистых металлах возможно и за счет формирования структуры “сотового” типа, образованной однородными по размеру зернами [6]. В железе подобная структура была получена в результате низкотемпературной рекристаллизации субмикрокристаллической структуры (СМК), сформированной в ходе большой пластической деформации сдвигом под давлением при комнатной температуре [7].
Одним из признаков термической стабильности структуры служит равновероятный рост большого количества зерен, что обеспечивает низкую среднюю скорость их роста и формирование размерно однородной зеренной структуры. Поэтому для оценки термической стабильности материала важно установить кинетику рекристаллизации. В большинстве СМК-материалов (Cu и ее сплавы [8, 9], Ni [10, 11], Nb [12, 13], Ti [14]) при первичной рекристаллизации наблюдается опережающий рост отдельных центров, которые еще до ее завершения имеют размеры, значительно превосходящие 1 мкм. В чистом железе и конструкционных сталях с СМК-структурой [15, 16] укрупнение зерна на стадии первичной рекристаллизации подчиняется кинетике нормального роста, что позволяет сохранить размерно однородную структуру, а при наиболее низкой температуре рекристаллизации даже наибольший размер зерна не превышает 1 мкм [17].
Осуществление кинетики нормального роста зерна при первичной рекристаллизации возможно благодаря наличию большого количества созданных при деформации центров рекристаллизации (микрокристаллитов) и отсутствию элементов структуры другого типа, например, с малоугловыми дислокационными границами.
Особенность материалов с СМК-структурой, полученной в результате деформации, – формирование при температуре отжига, равной температуре рекристаллизации умеренно деформированного материала, дополнительных центров по механизму термоактивированного зарождения [12, 16–19]. В этом случае кинетика нормального роста зерна нарушается, но наблюдается уменьшение среднего размера рекристаллизованного зерна либо при увеличении продолжительности [16, 18], либо при повышении температуры отжига [12, 17, 19]. Например, в железе, в котором в результате деформации сдвигом под давлением при комнатной температуре была сформирована СМК-структура, повышение температуры отжига от 350 до 450°С привело к формированию рекристаллизованного зерна меньшего размера: 1.3 и 0.5 мкм, соответственно [17]. Следует отметить, что 450°С – это температура рекристаллизации железа с ячеистой структурой, в которой после деформации нет готовых центров рекристаллизации (микрокристаллитов) [17].
Повышение температуры деформации должно понизить запасенную энергию, что может привести к повышению термической стабильности структуры. С другой стороны, деформация при повышенной температуре сопровождается динамической рекристаллизацией или динамическим возвратом. В этом случае в материале формируется структура, элементы которой различаются плотностью дефектов [8, 20–24]. В работе [24] установлено, что в чистом железе СМК-структура, сформированная при 250°С, стабильна при нагреве до 450°С, но при повышении температуры нагрева до 650°С проявляет склонность к вторичной рекристаллизации.
Цель настоящей работы – исследовать кинетику рекристаллизации в ходе отжига при 450°С железа с СМК-структурой, сформированной в результате деформации сдвигом под давлением при 250 и 20°С. Это позволит установить влияние температуры деформации на термическую стабильность железа и определить оптимальную продолжительность отжига для получения наиболее мелкозернистой однородной по размеру рекристаллизованной структуры.
Методика эксперимента
В качестве материала исследования было выбрано чистое железо (99.97%Fe), деформированное в наковальнях Бриджмена методом “сдвиг под давлением” при двух температурах 250 и 20°С. Образцы диаметром 5 и толщиной 0.3 мм деформировали под давлением 8 ГПа при скорости вращения наковальни 0.3 об/мин, угол поворота наковальни составил 2 × 360° (2 полных оборота). Рассчитывали истинную деформацию (е), которая зависела от угла поворота наковальни, расстояния от оси вращения (центра образца) и осадки образца на фиксированном его радиусе [17]. Расчетные значения истинной деформации при 250 и 20°С составили на расстоянии 1 мм от центра образца 5.3±0.3 и 6.2±0.2 соответственно, а на расстоянии 1.5 мм – 5.9±0.3 и 7.1±0.6 соответственно.
Для исследования кинетики рекристаллизации деформированные образцы отжигали в вакуумной печи (10–5Па) при 450°С, продолжительность изотермической выдержки варьировали от 15 мин до 16 часов.
Твердость железа измеряли по двум взаимно перпендикулярным диаметрам с шагом 0.25 мм как после деформации, так и после отжига. Значения, полученные на одинаковом расстоянии от центра образца, усредняли. Измерения проводили на твердомере ПМТ-3 при нагрузке 0.5Н. Погрешность определения твердости не превышала 10%.
Исследования структуры в плоскости сдвига проводили методами растровой и просвечивающей электронной микроскопии (РЭМ и ПЭМ соответственно). Методом ПЭМ были проанализированы микрокристаллиты и рекристаллизованные зерна размером менее 5 мкм, а методом РЭМ – рекристаллизованные зерна размером более 0.5 мкм.
Для РЭМ-исследований использовали микроскопы QUANTA_200 Philips и TESCAN MIRA LMS, оборудованные приставками для анализа дифракции обратно рассеянных электронов (EBSD). Съемку проводили на расстоянии 1.0±0.3 мм от центра образца при ускоряющем напряжении 25–30 кВ. Перед EBSD исследованием поверхность образцов подвергали механической шлифовке и электролитической полировке. Шаг сканирования выбирали в зависимости от размера элементов структуры, изменяя от 0.07 до 0.7 мкм. При анализе полученных EBSD-изображений исключали точки с индексом конфиденциальности (CI) ниже 0.1 [25] и зерна, содержащие менее 4 пикселей. Анализировали следующие параметры структуры: размеры зерен, их ориентировку, спектр углов разориентировки, долю рекристаллизованной структуры. К малоугловым (МУГ) относили границы с углом разориентировки меньше 15°, а к большеугловым (БУГ) – больше 15° [26]. Средний и максимальный размер зерна оценивали по методу секущих. Для определения доли рекристаллизованной структуры использовали данные о разбросе ориентировки в пределах зерна (GOS-карты), к рекристаллизованным относили зерна с GOS<2.5° [25].
ПЭМ-исследования проводили на расстояниях 1.5+0.2 мм от центра образца с помощью микроскопа JEM200CX. Размеры элементов структуры (микрокристаллитов и мелких рекристаллизованных зерен) определяли по светлопольным изображениям, а также по темнопольным изображениям в рефлексе типа {110}. Строили гистограммы распределения элементов структуры по размерам и рассчитывали коэффициент вариации линейных размеров (Квар), как отношение среднеквадратичного отклонения к среднему размеру элементов структуры.
Результаты и их обсуждение
На рис. 1 приведена структура железа, деформированного при 250 и 20°С с одинаковым углом поворота наковальни. Видно, что в ходе деформации при 250°С в результате динамической рекристаллизации практически сформировалась зеренная структура. Средний размер зерна составляет 0.5 мкм, доля БУГ – около 90%. Распределение границ по углам разориентировки отличается от распределения, характерного для случайного ансамбля зерен [26], наличием пика в области малых углов < 5° [24].
Рис. 1. Структура железа после деформации при 250°С (а, б) и 20°С (в, г); а, в – светлопольные изображения; б, г – темнопольные изображения в рефлексе типа {110}. ПЭМ.
Структура характеризуется высокой размерной однородностью (коэффициент вариации линейных размеров Квар = 0.6), но на рис. 1а видно, что дефектность отдельных зерен различается: наблюдаются наклепанные зерна и зерна, не содержащие дислокаций. По данным EBSD-анализа доля рекристаллизованной структуры составляет примерно 50%. Темнопольное изображение структуры (рис. 1б) свидетельствует о существовании соседних зерен, которые имеют малую взаимную разориентировку. Очевидно, что чистые зерна без дислокаций, которые граничат с наклепанной структурой, будут иметь преимущество в росте при последующем нагреве.
Деформация при 20°С приводит к формированию СМК-структуры (рис. 1в, г). Размеры микрокристаллитов в несколько раз меньше размеров рекристаллизованных зерен, полученных в результате деформации при 250°С, и составляют 0.14 мкм. При этом, размерная однородность структуры такая же высокая (Квар = 0.6). На рис. 1г видно, что микрокристаллиты разориентированы случайным образом, близкие ориентировки соседних элементов структуры отсутствуют. В работах [7, 10, 12, 16, 17] было показано, что такие микрокристаллиты могут служить готовыми к росту зародышами рекристаллизации. Таким образом, в структуре, полученной при обеих температурах деформации, уже содержатся разные по природе возникновения центры рекристаллизации.
На рис. 2 показано изменение твердости при отжиге деформированного железа. Видно, что за 15 мин твердость резко снижается, и достигнутое значение не зависит от температуры деформации. При увеличении времени выдержки до 1 ч твердость железа, деформированного при 250°С, не меняется, а деформированного при комнатной температуре – продолжает снижаться. Длительность отжига 4 ч и более обеспечивает одинаковую твердость, независимо от температуры деформации. Такое изменение твердости может свидетельствовать о существенном развитии рекристаллизации за 15 мин. отжига при 450°С как в случае исходной деформационной СМК, так и в случае динамически рекристаллизованной структуры.
Рис. 2. Изменение твердости (Н) в результате отжига при 450°С железа, деформированного при 20 (○) и 250°С (■).
Исследования методами ПЭМ и РЭМ (рис. 3) показали, что после отжига в течение 15 мин железа, деформированного при 250°С, сохраняются отдельные участки структуры, в которых еще не прошла статическая рекристаллизация (рис. 3а, б). Эти участки отчетливо видны на ПЭМ-изображении (рис. 3а). Средний размер микрокристаллитов и мелких рекристаллизованных зерен, полученный по данным ПЭМ, составляет 0.4 мкм. Ориентационные карты, построенные методом EBSD (рис. 3б), также показывают, что структура не однородна по размеру: существуют как области мелкозернистой структуры, так и крупные зерна (более 10 мкм).
Рис. 3. Структура железа после деформации при 250°С и отжига при 450°С, 15 мин (а, б) и гистограммы распределения зерен по размерам (в) и границ по углам разориентировки (г); а – светлопольное изображение, ПЭМ; б – ориентационная карта в цветах ОПФ; (б–г) – РЭМ.
На гистограмме распределения зерен по размерам, построенной по данным РЭМ, пик соответствует элементам (зернам и субзернам) субмикронного размера (рис. 3в), а средний размер зерна составляет 2 мкм. В структуре наблюдаются соседние зерна с близкой ориентировкой (рис. 3б). При этом распределение границ по углам разориентировки говорит о формировании случайного ансамбля хаотически ориентированных зерен (рис. 3г).
В железе, деформированном при 20°С, за это же время рекристаллизация СМК-структуры полностью завершилась с образованием однородной по размеру зеренной структуры (рис. 4а, б). Пик распределения зерен по размерам приходится на область значений 2–4 мкм, на гистограмме присутствуют отдельные небольшие пики в области размеров больше 10 мкм (рис. 4в). Однако распределение границ по углам разориентировки сильно отличается от распределения, характерного для ансамбля случайно ориентированных зерен (рис. 4г). Средний размер зерна по данным РЭМ и ПЭМ составляет 3.4 и 2.4 мкм соответственно.
Рис. 4. Структура железа после деформации при 20°С и отжига при 450°С, 15 мин (а, б) и гистограммы распределения зерен по размерам (в) и границ по углам разориентировки, сплошная линия на заднем плане показывает распределение, характерное для случайного ансамбля зерен (г); а – светлопольное изображение, ПЭМ, б – карта контрастов Кикучи-картин (восстановленное изображение, полученное на основе анализа качества дифракционной картины), (б–г) – РЭМ.
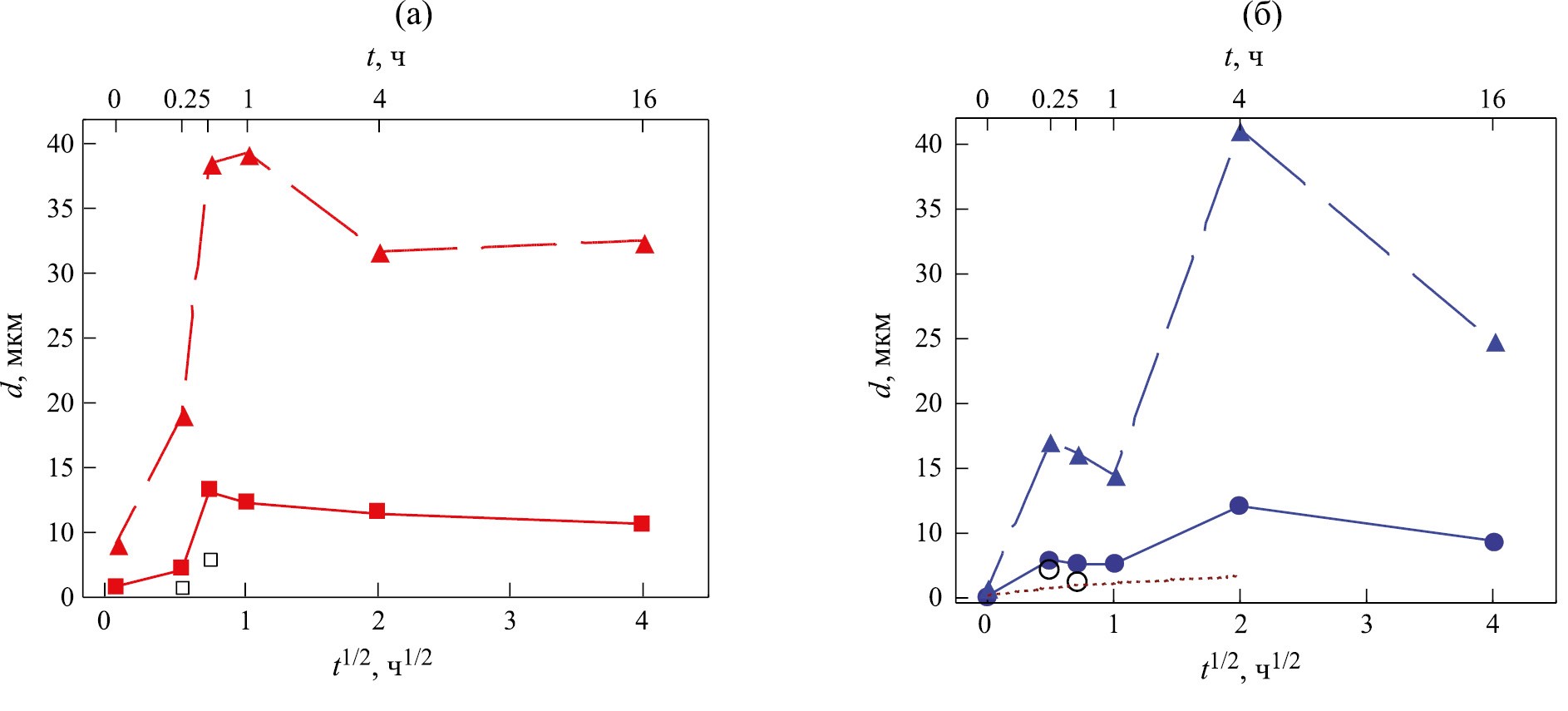
Увеличение продолжительности отжига до 30 мин приводит к завершению рекристаллизации железа, деформированного при 250°С (рис. 5а–в). Средний размер зерна в этом случае составляет 9 мкм. Распределение зерен по размерам одномодальное (рис. 5г), хотя на рис. 5в отчетливо видны как крупные (больше 30 мкм) зерна, так и мелкие зерна, размером около 2 мкм, которые соответствуют пику распределения по размерам. Распределение границ по углам разориентировки подобно приведенному на рис. 4г, т. е. не соответствует случайному ансамблю зерен. В железе, деформированном при 20°С, после такого отжига средний размер зерна изменился мало (dср = 3 мкм), таким образом, зерно оказалось в 3 раза мельче, чем после аналогичного отжига железа, деформированного при 250°С. Такое соотношение размеров сохраняется и после отжига в течение 1 ч. После более длительных отжигов средний размер зерна слабо зависит от температуры деформации. Зависимости среднего (dср) и максимального размера (dmax) зерна от длительности отжига железа, деформированного при 250 и 20°С, приведены на рис. 6. Зависимость максимального размера зерна от длительности отжига подобна зависимости среднего размера зерна, но экстремальные точки проявляются на ней более ярко.
Рис. 5. Структура железа (а–в) и гистограммы распределения зерен по размерам (г) и границ по углам разориентировки (д) после деформации при 250°С и отжига при 450°С, 30 мин; а, б – ПЭМ, б – темнопольное изображение в рефлексе типа {110}, в – карта контрастов Кикучи-картин (восстановленное изображение); (в–д) – РЭМ.
Рис. 6. Зависимости среднего (■, ●) и максимального размера зерна (▲, ▲) от длительности отжига железа, деформированного при 250 (а) и 20°С (б). Залитые значки – РЭМ, прозрачные значки (□, ○) – размер элементов структуры, усредненный по данным ПЭМ. На рис. 6б пунктирной линией для сравнения приведена зависимость для железа, деформированного при 20°С и отожженного при 300°С [7].
Например, на зависимости, полученной для железа, деформированного при 20°С, при увеличении времени отжига от 15 мин до 1 ч средний размер зерна остается практически неизменным, а максимальный размер зерна уменьшается.
Подобное снижение максимального размера зерна наблюдается и в железе, деформированном при 250°С, при увеличении длительности отжига от 1 до 4 ч. Вероятно, такое измельчение структуры связано с появлением в ходе отжига новых центров рекристаллизации. На рис. 7 видно, что в этом случае в структуре наблюдаются мелкие зерна, расположенные преимущественно по границам крупных зерен. На распределениях зерен по размерам (рис. 7б, г) увеличивается высота пика, соответствующего зернам размером до 1–2 мкм.
Рис. 7. Структура железа (а, в – ориентиционные карты в цветах ОПФ) и гистограммы распределения зерен по размерам (б, г) после деформации и отжига при 450°С; (а, б) деформация при 20°С, отжиг в течение 1 ч; (в, г) деформация при 250°С, отжиг в течение 4 ч, РЭМ.
Для продолжительности отжига 15 и 30 мин на рис. 6 приведены результаты, полученные методами как РЭМ, так и ПЭМ-исследований. Значения dср, определенные разными методами, практически совпадают за исключением точек, соответствующих кратковременному отжигу в течение 15–30 мин железа, деформированного при 250°С. В этом случае на карте контрастов Кикучи-картин наблюдаются крупные зерна (рис. 5в), которые не могут быть зафиксированы методом ПЭМ (dmax = 40 мкм). В тоже время, мелкие рекристаллизованные зерна и микрокристаллиты в нерекристаллизованных областях не разрешаются методом РЭМ. Поскольку область образца, анализируемая методом РЭМ, значительно превышает область, исследованную с помощью ПЭМ, первый метод дает более адекватную оценку среднего размера зерна. Рис. 7 показывает, что после горячей деформации по завершении статической рекристаллизации структура характеризуется широким распределением зерен по размерам, несмотря на его одномодальность.
Кинетические зависимости роста зерна на рис. 6 представлены в координатах dср–t1/2. В этих координатах при нормальном росте зерна зависимость должна быть линейной [6]. На рис. 6б пунктиром приведена зависимость для отожженного при 300°С железа, в котором в результате деформации при 20°С была получена СМК-структура, и эта зависимость линейная. В работе [7] показано, что при 300°С в железе с СМК-структурой развивается низкотемпературная рекристаллизация, при которой происходит рост центров, сформированных во время деформации. Видно, что изменение размера зерна в ходе отжига при 450°С не подчиняется закону нормального роста ни для железа с СМК-структурой, сформированной при 20°С (рис. 6б), ни для железа с динамически рекристаллизованной структурой (рис. 6а).
Анализ обратных полюсных фигур (ОПФ), приведенных на рис. 8, показал, что в результате отжига железа, деформированного при 20°С, по завершению первичной рекристаллизации формируется аксиальная текстура {110} (рис. 8а). Такая же текстура, но более слабая и размытая была зафиксирована непосредственно после деформации железа при 250°С (рис. 8д). Текстура, полученная в результате деформации при 20°С и отжига, более острая: максимальная полюсная плотность после отжига при 450°С в течение как 30 мин, так и 16 ч в 1.5 раза выше, чем в результате деформации при 250°С и аналогичного отжига (рис. 8). Появление новых мелких зерен в результате отжига в течение 1 ч железа, деформированного при 20°С, сопровождается значительным в 1.5 раза снижением максимальной полюсной плотности (от 7 после отжига в течение 30 мин до 4 после часового отжига). Вероятно, новые зерна имеют ориентировку, отличную от {110} (рис. 8в). Увеличение длительности отжига способствует восстановлению остроты текстуры (рис. 8г) После горячей деформации подобное измельчение структуры в результате отжига в течение 4 ч не приводит к уменьшению остроты аксиальной текстуры (рис. 8ж).
Рис. 8. Обратные полюсные фигуры [001], полученные методом EBSD с железа, деформированного при 20 (а–г) и 250°С (д–з) и отожженного при 450°С в течение: а – 15 мин; б, е – 30 мин; в – 1 ч; ж – 4 ч; г, з – 16 ч; д – без отжига.
Следует отметить, что методом рентгеноструктурного анализа ранее было установлено, что в железе на стадии СМК-структуры разрушается текстура {110}, созданная на предыдущей стадии холодной деформации [27]. Настоящая работа показала, что последующий отжиг приводит к восстановлению данной текстуры. Подобные результаты были получены и при рекристаллизации СМК-структуры ниобия, деформированного при комнатной температуре [12]. Такое поведение ниобия было связано с избирательным ростом зерен указанной ориентировки. В работе [28] было установлено, что в ОЦК-металлах ориентировки {110} по обе стороны от границы раздела обеспечивают ансамблю зерен наиболее низкую энергию, независимо от угла разориентации соседних зерен. Возможно, это является причиной формирования текстуры {110} при отжиге железа, деформированного сдвигом под давлением.
Известно [29], что при сдвиговой деформации ОЦК-металлов текстура характеризуется образованием волокон двух типов. Первый тип представляет собой плоскость {110} ‖ плоскости сдвига и содержит компоненты F ({110}<001>), J ({110}<112>) и E ({110}<111>). Второй тип — {hkl} <111> содержит компоненты D ({112}<111>) и E ({110}<111>). Наиболее явно они проявляются на сечениях ФРО (функции распределения ориентировок) при φ2 = 0° и 45° (рис. 9а). Компоненты F, J и E на ОПФ должны приводить к усилению полюсной плотности вблизи полюса 101.
Рис. 9. Стандартные сечения ФРО, показывающие положение компонентов текстуры ОЦК-металлов, деформированных методом “сдвиг под давлением” [29] (а) и экспериментально полученные методом EBSD сечения ФРО железа, деформированного при 20 (б–г) и 250°С (д–з) и отожженного при 450°С в течение: б, е – 15 мин; в, ж – 30 мин; г, з – 1 ч; д – без отжига.
Анализ ФРО, полученных с исследованного в настоящей работе железа, подвергнутого деформации при разных температурах и последующему отжигу при 450°С в течение разного времени, позволил проследить эволюцию компонент текстуры. Результаты приведены на рис. 9.
На рис. 9б–г показаны сечения ФРО для железа, деформированного при комнатной температуре и отожженного в течение от 15 мин до 1 ч. После отжига в течение 15 мин на ФРО обнаруживаются пики интенсивности вблизи компонент J и F (рис. 9б). Эти пики отклонены в направлении φ1 от их идеального положения, указанного на рис. 9а, а компонента J раздвоена в направлении Φ. После 30 мин отжига (рис. 9в) раздвоение максимумов J исчезает, а максимумы, отвечающие компоненте F, смещаются в сторону идеальной ориентировки. При увеличении продолжительности отжига до 1 ч (рис. 9г) происходит значительное изменение вида сечений ФРО: компоненты J заменяются компонентами Е и появляются новые ориентировки, часть из которых соответствует компоненте D.
Эти изменения ФРО, вероятно, связаны с появлением иных ориентировок в результате термоактивированного образования новых центров рекристаллизации. Дальнейшее увеличение выдержки до 4 ч не приводит к изменению положения пиков Е и F, но сопровождается уменьшением их размытия, а компонента D исчезает.
После отжига в течение 16 ч кроме компонент Е и F появляются слабые максимумы других ориентировок, которые не соответствуют компонентам текстуры сдвига или компоненте текстуры рекристаллизации ОЦК-металлов (“Куб” {001} <100> [29]). Таким образом в ходе отжига после деформации при 20°С формируется текстура с преобладанием двух компонент {110}<111> (Е) и {110}<001> (F).
После деформации при 250°С компоненты текстуры сильно размыты, но наблюдается повышенная интенсивность ориентировок вблизи положений J, F и D (рис. 9д). Отжиг при 450°С в течение 15 мин приводит к значительному усилению компоненты F, наблюдается рост пика интенсивности вблизи этой компоненты от 1 до 13 (рис. 9е). После отжига в течение 30 мин (рис. 9ж) появляется размытая в направлении φ1 компонента D, пик интенсивности, наблюдавшийся после более короткой выдержки, растянут в том же направлении и захватывает компоненты Е и F, при этом компонента J после отжига отсутствует. В результате увеличения длительности отжига до 1 и 4 ч размытие D уменьшается, при сохранении общей картины сечения ФРО (рис. 9з). После отжига в течение 16ч положение и интенсивность основных максимумов не меняется, но появляются слабые пики других ориентировок. Следовательно, в ходе отжига при 450°С железа, деформированного при 250°С, формируется текстура с преобладанием трех компонент {110}<111> (Е), {110}<001> (F) и {112}<111> (D).
В работе [30] после горячей деформации (при 300°С) сплава Fe–9%Cr сдвигом под давлением наблюдали формирование компонент J{110}<211>, D{112}<111> и E{011}<111>, причем компоненты текстуры отклонялись от своих идеальных симметричных положений в направлении сдвига. Это отклонение сохранялось после отжига. В настоящей работе также наблюдаются отклонения компонент текстуры, но набор компонент немного отличается: вместо компоненты Е, обнаруженной в сплаве Fe–9%Cr [30], в чистом железе после горячей деформации присутствует компонента F (рис. 9д). В сплаве Fe–9%Cr после деформации и отжига при 600°С пики интенсивности обнаруживались только вблизи текстурных компонент J ({110} <211>), в то время как в железе мы этой компоненты после отжига не наблюдаем. Это справедливо для обеих температур предварительной деформации, примененных в настоящей работе. Возможно, это противоречие связано со снижением ЭДУ-железа в результате легирования хромом.
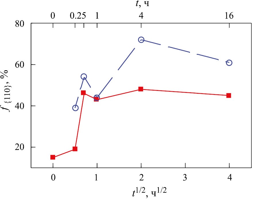
Анализ ориентации зерен показал, что доля площади (f{110}), занятой зернами, в которых плоскость {110} ориентирована параллельно поверхности образца, зависит от температуры предварительной деформации (рис. 10). Максимальная доля достигает 48% после отжига в течение 4 ч горячедеформированного железа и 72% после отжига холоднодеформированного железа. Присутствие компоненты текстуры D{112}<111> в железе, деформированном при 250°С, и ее сохранение при отжиге определяет более низкую долю площади, занятой зернами {110}, чем в железе, деформированном при комнатной температуре. Снижение на 10% f{110} после деформации при 20°С и часового отжига хорошо согласуется с появлением новых компонент текстуры, обусловленных термоактивированным зарождением. Снижение f{110} после отжига 16 ч сопровождается повышением доли ориентировок {321} и {221}, положение которых в ориентационном треугольнике близко к полюсу 110. Т. е. такое снижение показывает рассеяние сформированной текстуры.
Рис. 10. Изменение доли площади, занятой зернами с ориентировкой {110}, в ходе отжига при 450°С железа, деформированного при 20°С (○) и 250°С (■).
Заключение
Исследована кинетика рекристаллизации в ходе отжига при 450°С железа с СМК-структурой, сформированной в результате деформации сдвигом под давлением при 250 и 20°С. Установлено, что изменение размера зерна в ходе отжига при 450°С не подчиняется закону нормального роста ни для железа с СМК-структурой, сформированной при 20°С, ни для железа с динамически рекристаллизованной структурой. В обоих случаях зафиксировано существенное развитие рекристаллизации за 15 мин отжига.
Анализ обратных полюсных фигур показал, что в результате отжига железа, деформированного как при 20°С, так и при 250°С, формируется аксиальная текстура {110}.
Доля площади, занятой зернами, в которых плоскость {110} ориентирована параллельно поверхности образца, зависит от температуры предварительной деформации и составляет около 50 и 70% после отжига горяче- и холоднодеформированного железа соответственно. В ходе отжига после деформации при 20°С формируется текстура с преобладанием двух компонент {110}<111> и {110}<001>, а после деформации при 250°С – с преобладанием трех компонент {110}<111>, {110}<001> и {112}<111>.
Обнаружено появление в ходе отжига новых центров рекристаллизации, которые приводят к уменьшению среднего и максимального размера зерна и размытию текстуры рекристаллизации {110}.
Работа выполнена в рамках государственного задания МИНОБРНАУКИ России (тема “Давление”, № 122021000032-5). Работа выполнена с использованием оборудования ЦКП “Испытательный центр нанотехнологий и перспективных материалов” ИФМ УрО РАН. Авторы выражают благодарность Пилюгину В.П. за проведение деформации методом сдвиг под давлением и глубокую признательность Н.В. Николаевой за помощь в проведении структурных исследований.
Авторы данной работы заявляют, что у них нет конфликта интересов.
About the authors
L. M. Voronova
Miheev Institute of Metal Physics, Ural Branch, Russian Academy of Sciences
Author for correspondence.
Email: highpress@imp.uran.ru
Russian Federation, 620108, Ekaterinburg
М. V. Degtyarev
Miheev Institute of Metal Physics, Ural Branch, Russian Academy of Sciences
Email: highpress@imp.uran.ru
Russian Federation, 620108, Ekaterinburg
T. I. Chashchukhina
Miheev Institute of Metal Physics, Ural Branch, Russian Academy of Sciences
Email: highpress@imp.uran.ru
Russian Federation, 620108, Ekaterinburg
References
- Zhou X., Li X.Y., Lu K. Enhanced thermal stability of nanograined metals below a critical grain size // Scince. 2018. V. 360. P. 526–530.
- Zhou X., Li X.Y., Lu K. Stabilizing nanograins in metals with grain boundary relaxation //Scripta Mater. 2020. V. 187. P. 345–349.
- Li X.Y., Zhou X., Lu K. Rapid heating induced ultrahigh stability of nanograined copper // Science. Adv. 2020. V. 6. P. eaaz8003.
- Murty B.S., Datta M.K. and Pabi S.K. Structure and thermal stability of nanocrystalline materials // S¯adhan¯a. 2003. V. 28. № 1 & 2. P. 23–45.
- Чувильдеев В.Н., Копылов В.И., Нохрин А.В., Макаров И.М., Грязнов М.Ю. Рекристаллизация в микрокристаллических меди и никеле, полученных методами РКУ-прессования. III. Аномальный рост зерен. Модель // ФММ. 2004. Т. 97. № 1. С. 3–8.
- Горелик С.С., Добаткин С.В., Капуткина Л.М. Рекристаллизация металлов и сплавов. М.: МИСиС, 2005. 432 с.
- Дегтярев М.В., Воронова Л.М., Губернаторов В.В., Чащухина Т.И. О термической стабильности микрокристаллической структуры в однофазных металлических материалах // ДАН. 2002. Т. 386. № 2. С. 180–183.
- Takayama A., Yang X., Miura H., Sakai T. Continuous static recrystallization in ultrafine-grained copper processed by multi-directional forging // Mater. Sci. Eng. A. 2008. V. 478. P. 221–228
- Jiang H., Zhu Y.T., Butt D.P., Alexandrov I.V., Lowe T.C. Microstructural evolution, microhardness and thermal stability of HPT-processed Cu // Mater. Sci. Eng. A. 2000. V. 290. P. 128–138
- Voronova L.M., Degtyarev M.V., Chashchukhina T.I., Krasnoperova Yu.G., Resnina N.N. Effect of dynamic recovery on structure formation in nickel upon high-pressure torsion and subsequent annealing // Mater. Sci. Eng. A. 2015. V. 639. Р. 155–164.
- Zhang H.W., Huang X., Pippan R., Hansen N. Thermal behavior of Ni (99.967% and 99.5% purity) deformed to an ultra-high strain by high pressure torsion // Acta Mater. 2010. V. 58. 1698–1707.
- Degtyarev M., Chashchukhina T., Voronova L., Gapontseva T., Levit V. Evolution of microstructure and microtexture upon recrystallization of submicrocrystalline niobium // International Journal of Refractory Metals & Hard Materials. 2020. V. 86. P. 105117.
- Popov V.V., Popova E.N. Behavior of Nb and CuNb Composites under Severe Plastic Deformation and Annealing // Mater. Trans. 2019. V. 60. No. 7. P. 1209–1220.
- Stotskiy A.G., Polyakov A.V., Dyakonov G.S. and. Semenova I.P. Thermal Stability of Titanium Alloy VT8M-1 with Ultrafine-Grained Structure// MATEC Web of Conferences. 2020. V. 321. P. 11060.
- Дегтярев М.В., Воронова Л.М., Чащухина Т.И. Влияние структуры, созданной при большой пластической деформации, на кинетику превращений при нагреве // Металлы. 2003. № 3. С. 53–61.
- Воронова Л.М., Дегтярев М.В., Чащухина Т.И. Низкотемпературная рекристаллизация субмикрокристаллической структуры армко-железа и стали 30Г2Р // ФММ. 2004. Т. 98. № 1. С. 93–102.
- Воронова Л.М., Дегтярев М.В., Чащухина Т.И. Рекристаллизация ультрадисперсной структуры чистого железа, сформированной на разных стадиях деформационного наклепа // ФММ. 2007. Т. 104. № 3. С. 275–286.
- Воронова Л.М., Дегтярев М.В., Чащухина Т.И. Кинетика роста зерна при нагреве никеля, деформированного сдвигом под давлением // ФММ. 2021. Т. 122. № 6. С. 600–607.
- Красноперова Ю.Г., Дегтярев М.В., Воронова Л.М., Чащухина Т.И. Влияние температуры отжига на рекристаллизацию никеля с ультрадисперсной структурой различного типа // ФММ. 2016. Т. 117. № 3. С. 279–286.
- Jie Xu, Jianwei Li, Chuan Ting Wang, Debin Shan, Bin Guo, Langdon T.G. Evidence for an early softening behavior in pure copper processed by high-pressure torsion // J. Mater. Sci. 2016. V. 51. P. 1923–1930.
- Dudova N., Belyakov A., Sakai T., Kaibyshev R. Dynamic recrystallization mechanisms operating in a Ni-20%Cr alloy under hot-to-warm working // Acta Mater. 2010. V. 58. P. 3624–3632.
- Edalati K., Horita Z., Furuta T., Kuramoto S. Dynamic recrystallization and recovery during high-pressure torsion: Experimental evidence by torque measurement using ring specimens // Mater. Sci. Eng. A. 2013. V. 559. P. 506–509.
- Карамышев К.Ю., Чащухина Т.И., Воронова Л.М., Дегтярев М.В., Пилюгин В.П. Температурно-скоростные условия деформации и структурообразующие процессы в никеле при сдвиге под давлением//ФММ. 2023. Т. 124. № 1. С. 106–113.
- Шугаев К.Е., Дегтярев М.В., Воронова Л.М., Чащухина Т.И. Рост зерна при отжиге железа, деформированного при 250C методом сдвига под давлением // ФММ. 2022. Т. 123. № 10. С. 1046–1053.
- Bernardi H.H., Sandim H.R.Z., Zilnyk K.D., Verlinden B., Raabe D. Microstructural Stability of a Niobium Single Crystal Deformed by Equal Channel Angular Pressing // Materials Research. 2017. V. 20. P. 1238–1247.
- Humphreys F.J. Review grain and subgrain characterisation by electron backscatter diffraction // J. Mater. Sci. 2001. V. 36. Р. 3833–3854.
- Дегтярев М.В., Чащухина Т.И., Воронова Л.М., Пацелов А.М. Влияние деформации сдвигом под давлением на параметры структуры железа и конструкционной стали 30Г2Р // Материаловедение. 2003. № 2. С. 28–31.
- Ratanaphan S., Olmsted D.L., Bulatov V.V., Holm E.A., Rollett A.D., Rohrer G.S. Grain boundary energies in body-centered cubic metals // Acta Mater. 2015. V. 88. P. 346–354.
- Azzeddine H., Bradai D., Baudin T., Langdon T.G. Texture evolution in high-pressure torsion processing // Progress Mater. Sci. 2022. V. 125. P. 100886.
- Duan J., Wen H., Zhou C., Islamgaliev R., Li X. Evolution of microstructure and texture during annealing in a high-pressure torsion processed Fe-9Cr alloy // Materialia. 2019. V. 6. P. 100349.
Supplementary files











