Theoretical and Numerical Modeling of Optical Switching of Epitaxial Nanostructures Based on Iron-Garnet Films
- Авторлар: Yurlov V.V.1,2,3, Zvezdin K.A.1,2, Zvezdin A.K.1,2,4
-
Мекемелер:
- MIREA – Russian Technological University
- New Spintronic Technologies LLC
- Moscow Institute of Physics and Technology
- A.M. Prokhorov General Physics Institute of the Russian Academy of Sciences
- Шығарылым: Том 125, № 4 (2024)
- Беттер: 476-484
- Бөлім: ЭЛЕКТРИЧЕСКИЕ И МАГНИТНЫЕ СВОЙСТВА
- URL: https://ogarev-online.ru/0015-3230/article/view/267552
- DOI: https://doi.org/10.31857/S0015323024040139
- EDN: https://elibrary.ru/WQAGHD
- ID: 267552
Дәйексөз келтіру
Толық мәтін
Аннотация
The paper presents a theoretical analysis of magnetization switching in a gadolinium ferrite garnet film due to the demagnetizing effect of a femtosecond laser pulse. Using the Lagrange formalism for a two-sublattice ferrimagnet, the effective Lagrangian, thermodynamic potential, and Rayleigh dissipative function are obtained. The phase diagram of the ferrite film is analyzed, and the main states of the system are identified. Magnetization switching diagrams and trajectories of the order parameter dynamics of the magnet are constructed. The ranges of magnetic fields, temperatures, and demagnetization values for the most efficient magnetization switching are analyzed.
Негізгі сөздер
Толық мәтін
ВВЕДЕНИЕ
За последние десять лет область сверхбыстрого магнетизма привлекает все большее внимание как один из многообещающих разделов современной физики конденсированного состояния [1–9]. Данная область подразумевает собой изучение отклика магнитных систем на сверхкороткие внешние воздействия, такие как лазерные импульсы или импульсы электрического тока [10]. Имея, с одной стороны, большой потенциал с фундаментальной точки зрения [3], данная область имеет и ясный практический интерес. На данный момент множество экспериментальных результатов показывают востребованность активного исследования области сверхбыстрого магнетизма, для дальнейшего применения в будущих логических запоминающих устройствах [4].
Согласно современным тенденциям, в практических отраслях имеется особый запрос на уменьшение характерного времени записи битов информации, равно как и на уменьшение общего энергопотребления запоминающих устройств. Внедрение методов теории сверхбыстрого магнетизма отвечает на данные запросы [4, 5, 9, 11, 12]. Сверхкороткие импульсы способны быстро выводить магнитную пленку из состояния равновесия, что приводит к возможности реализации сверхбыстрой динамики [11, 12]. Особо интересными динамическими свойствами обладают антиферромагнитные и ферримагнитные материалы. Например, для некоторых ферримагнитных пленок характерно наличие температуры компенсации углового момента и намагниченности, где особенности спиновой динамики проявляются наиболее ярко [13–17]. Здесь стоит отметить выдающиеся результаты, представленные в работе [18] по переключению в TmFeO3, где характерное время переключения составило порядка нескольких десятков пикосекунд, а энергия переключения оценивается в 10 аДж, что достаточно близко к пределу Шеннона-фон Неймана-Ландауэра. Однако следует сказать, что переключение в данном материале наблюдали при температурах порядка 90 К вблизи температуры фазового перехода. Данный факт мотивирует к поиску иных материалов, на базе которых возможна реализация подобных времен переключения и потребления энергии, но в пределах комнатных температур. Одними из возможных кандидатов для подобных исследований могут быть редкоземельные феррит-гранаты.
В рамках данной работы мы приведем исследование сверхбыстрой динамики в феррит-гранате гадолиния GdIG с кубической анизотропией, возбуждаемой размагничивающим действием фемтосекундного лазерного импульса вблизи температуры компенсации. Воспользовавшись формализмом Лагранжа для двухподрешеточного ферримагнетика, мы получим эффективный Лагранжиан, эффективную потенциальную энергию и диссипативную функцию Рэлея магнитной пленки. Мы исследовали фазовую H–T-диаграмму ферримагнетика, выделив основные состояния системы. В результате мы получили возможность реализации переключения намагниченности в неколлинеарной области фазовой диаграммы между восемью основными состояниями системы. Также были построены диаграммы переключения намагниченности, показывающие особенности динамики ферримагнетика под воздействием фемтосекундного лазерного импульса вблизи температуры компенсации. Данные результаты могут быть полезны для изучения сверхбыстрой спиновой динамики в пленках феррит-гранатов.
МОДЕЛЬ И ОСНОВНЫЕ УРАВНЕНИЯ
Для описания феррит-граната гадолиния вблизи температуры компенсации намагниченности воспользуемся формализмом Лагранжа для двухподрешеточного ферримагнетика [13] в приближении макроспина. Данный подход аналогичен использованию уравнений Ландау–Лившица–Гильберта для двух подрешеток, связанных сильным обменным взаимодействием. В дальнейшем будем называть соответствующие подрешетки как редкоземельная, или f-подрешетка, и железная, или d-подрешетка. Будем полагать, что динамика магнитного момента возбуждается размагничивающим действием фемтосекундного лазерного импульса. В этом случае действие импульса приводит к изменению величины полной намагниченности феррита, что возбуждает прецессию параметра порядка из метастабильного состояния. Важно отметить, что существуют и другие эффекты, которые способны влиять на спиновую динамику вследствие действия электромагнитного импульса в пленках гранатов. Для примера можно рассмотреть фотоиндуцированную магнитную анизотропию, возникновение которой возможно в гранатах, легированных некоторыми примесями [19, 20]. В этом случае в пленке возникает дополнительный оптический вращающий момент из-за фотомагнитного эффекта, который зависит от магнитного момента пленки и напряженности электрического поля электромагнитного импульса. Также можно привести и другие примеры (обратный эффект Керра и т.п.), в рамках же данной работы мы рассмотрим лишь размагничивание пленки граната и его влияние на спиновую динамику. В общем виде Лагранжиан, потенциальная энергия и диссипативная функция Рэлея для пленки феррит граната, помещенного во внешнее магнитное поле, могут быть записаны в виде:
(1)
где Md,f – намагниченности железной и редкоземельной подрешеток, φd,f и θd,f – азимутальный и полярный углы железной и редкоземельной подрешеток соответственно, γ – гиромагнитное отношение, α – константа затухания Гильберта, H – внешнее магнитное поле, λ – постоянная f–d-обмена, Ua – энергия магнитной кристаллической анизотропии. Для ферримагнитных пленок характерна соответствующая иерархия обменных взаимодействий, при этом магнитные моменты ионов железной подрешетки связаны между собой сильным обменным взаимодействием с обменным полем ∼ 106 Э, взаимодействие d–f более слабое ∼ 105 Э. Взаимодействие магнитных моментов редкоземельных ионов еще более слабое и имеет существенное влияние лишь вблизи низких температур. В связи с этим можно предположить, что намагниченность железной подрешетки не зависит от внешнего магнитного поля и намагничена до насыщения внутренним обменным полем. Зависимостью намагниченности от температуры d-подрешетки мы пренебрежем, в силу удаленности от температуры Кюри. Редкоземельная подрешетка в данной модели может быть рассмотрена как идеальный парамагнетик, помещенный во внешнее и обменное поля [21]. В описанном выше предположении намагниченность f-подрешетки описывается функцией Бриллюэна
,
где g – фактор Ланде, J – полный момент импульса f-подсистемы, μB – магнетон Бора, k – постоянная Больцмана. При этом мы обращаем внимание на то, что, сосредоточившись на влиянии кубической анизотропии на спиновую динамику, в данной модели мы не учитываем поликристалличность, магнитостатическое взаимодействие и иные дефекты магнитной пленки. Вопрос о представленных в работе данных является открытым и требует отдельного изучения. Будем полагать, что магнитное поле направлено вдоль оси [001] магнитной пленки. Спиновая динамика системы описывается уравнениями Эйлера–Лагранжа:
,
где q = θd,f и q = φd,f. Принимая во внимание близость к температуре компенсации, перепишем выражение (1), перейдя от полярного и азимутального угла каждой из магнитных подрешеток к соответствующим углам θ и φ единичного вектора антиферромагнетизма . Для этого рассмотрим квази-антиферромагнитное приближение, допускающее малый скос магнитных подрешеток, при котором справедливо:
(2)
где ε, β << 1 – некоторые малые параметры. В результате, раскладывая исходный Лагранжиан (1) в ряд Тейлора до слагаемых второго порядка, мы получим:
(3)
где m = Mf – Md, m = Mf + Md, δ = 2λMfMd. Записав уравнения Эйлера–Лагранжа для малых параметров, мы можем разрешить эти уравнения относительно ε и β и записать выражение для данных углов:
(4)
Подставляя (4) в (3), получаем эффективные Лагранжиан, диссипативную функцию Рэлея и эффективный термодинамический потенциал:
(5)
где ; выражение для энергии кубической анизотропии имеет вид:
.
в системе координат ([100], [010], [001]) при магнитном поле H, направленном вдоль [001]. Важно отметить, что при выводе Лагранжиана (5) нами было сделано предположение, что гиромагнитные отношения и параметры затухания Гильберта редкоземельной и железной подрешеток равны. Однако если температуры компенсации углового момента, где , и компенсации намагниченности близки друг к другу, необходимо заменить соответствующие величины γ и α в Лагранжиане на эффективные параметры. В этом случае выражение (5) приобретает вид [15]:
(6)
где γd,f и αd,f – гиромагнитные отношения и параметры затухания Гильберта для d- и f- подрешеток, соответственно. Особенности работы вблизи температуры компенсации углового момента подробно разобраны в работах [8, 15, 22]. В рамках нашей модели мы будем предполагать, что гиромагнитные отношения и параметры диссипации Гильберта для двух подрешеток равны друг другу.
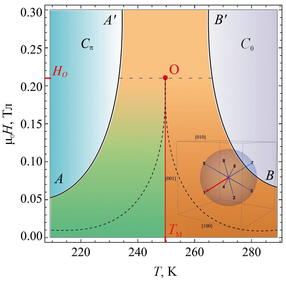
Проанализируем особенности эффективного термодинамического потенциала пленки феррита во внешнем магнитном поле, направленном вдоль легкой оси магнетика. Для моделирования воспользуемся следующими параметрами GdIG: K1 = –7 × 103 эрг/см3, χ⊥ ≈ 1.5 × 10–3, Md = 5μB и Mf(0) = 21μB в расчете на одну молекулу пленки феррит-граната, λMd = 5 × 105 Э. Далее, используя численные методы, построим фазовую H–T-диаграмму GdIG (рис. 1). Для более подробного ознакомления с аналитическим анализом фазовых диаграмм ферримагнитных пленок отсылаем читателей к работам [https://doi.org/10.1016/S1567-2719(05)80008-3, Белов К.П. Звездин А.К., Кадомцева А.М., Летвин Р.З. Ориентационные переходы в редкоземельных магнетиках // Наука, 1979, Гнатченко С.Л. Автореферат кандидатской диссертации // Харьков: ФТИНТ УССР, 1977, A. Zvezdin and V. Matveev, Sov. Phys. JETP 35, 140 (1972).] На данной диаграмме присутствуют две коллинеарные фазы Cπ и C0, где магнитные подрешетки ориентированы антипараллельно, θ = π и θ = 0. Линии AAʹ и BBʹ представляют собой линии фазового перехода второго рода между коллинеарными и неколлинеарными областями диаграммы NC1, NC2 и NC. Каждая из неколлинеарных фаз диаграммы отвечает определенным диапазонам полярного угла: ниже серой штриховой линии существуют две различные неколлинеарные фазы NC1 и NC2, каждая из которых соответствует диапазонам π / 2 < θ1 < π и π < θ2 < π / 2. Для фазы NC (область выше серой штриховой линии) полярный угол лежит в диапазоне 0 < θ < π. В силу симметрии системы легко получить, что каждому полярному углу в областях NC1 и NC2 соответствует 4 различных азимутальных угла. Таким образом, минимуму термодинамического потенциала в неколлинеарных областях соответствуют пары углов для фазы NC1 и для фазы NC2. Вставка на рис. 1 показывает возможные 8 состояний, отвечающих фазам NC1 и NC2, которые пронумерованы от 1 до 8 соответствующим образом: состояния (1, 2, 3, 4) относятся к области NC1, состояния (5, 6, 7, 8) относятся к области NC2. Красная линия TMO является линией фазового перехода первого рода между неколлинеарными фазами NC1 и NC2. Точка TM ≈ 250 К является температурой компенсацией феррита, в то время как точка О есть критическая точка перехода типа пар-жидкость [23]. Области диаграммы, расположенные под черными штриховыми линиями, есть области сосуществования двух неколлинеарных фаз. Записав условие устойчивости коллинеарной фазы в точке компенсации, где m = 0, легко получить, что критическое поле, соответствующее данной точке равно ≈ 0.21 Тл. Приведенный анализ в дальнейшем поможет изучению спиновой динамики в GdIG. Обратим внимание на то, что данное поле получилось существенно ниже, чем экспериментальные значения критических полей для феррит-гранатов [23]. Причиной этому может служить величина χ⊥, определяемая аналитически из описанной модели. В пленках гранатов ее величина может достигать χ⊥ ∼ 10–5, что вызывает увеличение характерных критических полей на несколько порядков. Здесь же можно отметить, что истинная величина данного поля может быть определена как , где Ha есть поле анизотропии, Hex – величина обменного поля. Также отметим, что в рамках работы мы не рассматриваем влияние одноосной анизотропии, которая существенно увеличивает характерные значения критических полей. Однако в данном тексте мы рассматриваем лишь влияние кубической анизотропии и размагничивания системы на спиновую динамику. С учетом всего описанного выше, мы воспользуемся аналитическими результатами, что не повлияет на общие выводы о спиновой динамике, однако сузит реальные области переключения в гранате.
Рис. 1. Фазовая H–T-диаграмма феррит-граната гадолиния GdIG. Внешнее магнитное поле H направлено вдоль оси [001] GdIG. Cπ и C0 представляют коллинеарные фазы феррита, где θ = π и θ = 0. NC1 и NC2 представляют неколлинеарные фазы, отвечающие диапазонам полярного угла π / 2 < θ1 < π и π < θ2 < π / 2, соответственно. TM ≈ 250 К – температура компенсации. Вставка показывает пример стабильных состояний системы в неколлинеарных областях, пронумерованных соответственно от 1 до 8. Состояния (5, 6, 7, 8) относятся к области C0; состояния (1, 2, 3, 4) относятся к области Cπ
Используя выражение (5), запишем уравнения Эйлера–Лагранжа для динамики намагниченности в GdIG:
(7)
Рассмотрим, как реагирует магнитная система на размагничивание вследствие действия фемтосекундного лазерного импульса. Принимая во внимание малость константы затухания Гильберта в феррит-гранате гадолиния, получим закон сохранения азимутального углового момента, что следует из уравнения Эйлера–Лагранжа для азимутального угла:
. (8)
Отметим, что данный закон является общим для любой ферримагнитной пленки без диссипации. Вблизи точки компенсации величина М изменяется слабо, в то время как изменение m может достигать 100%. Предположим, что m(t) = m + Δm(t), где Δm(t) – величина размагничивания, возникающая вследствие действия лазерного импульса. В этом случае из уравнения (8) следует, что изменение полной намагниченности приводит к появлению первой производной азимутального угла. Таким образом, магнитный момент пленки отвечает на размагничивание, приобретая начальную скорость за некоторое характерное время, связанное с длительностью импульса, которая выражается как
. (9)
Особо отметим в данном случае, что сверхкороткие лазерные импульсы оказывают существенное влияние на времена размагничивания магнитных пленок. Так, например, в работе [24] наблюдаемое время размагничивания составило 2 пс или менее, что на порядки меньше, чем предсказанные теоретически времена с учетом спин-решеточной релаксации. Таким образом, сверхкороткие лазерные импульсы позволяют использовать для определенных материалов довольно простую модель, когда система размагничивается мгновенно и спустя некоторое время так же быстро релаксирует в начальное состояние. Действительно, при времени размагничивания порядка 1–10 пс, характерное время динамики для редкоземельных феррит-гранатов может составлять сотни пикосекунд, что верно и для выбранной нами модели. Таким образом, начальную скорость полярного угла легко получить из второго уравнения (7) путем его интегрирования от 0 до τ, где τ – характерное время размагничивания системы. В результате первая производная полярного угла вблизи t = 0 имеет вид:
. (10)
Объединив результаты (7), (9) и (10), мы получаем задачу Коши для магнитного момента. Воспользуемся полученными уравнениями для моделирования спиновой динамики.
ДИАГРАММА ПЕРЕКЛЮЧЕНИЯ НАМАГНИЧЕННОСТИ И ОБСУЖДЕНИЕ РЕЗУЛЬТАТОВ
Перейдем к анализу динамических уравнений (9) GdIG под воздействием фемтосекундного лазерного импульса, размагничивающего пленку феррита. В результате сверхбыстрого размагничивания системы намагниченность не успевает мгновенно релаксировать в новое стабильное состояние. Таким образом, система быстро выводится из равновесия, что возбуждает спиновую динамику. В результате параметр порядка феррита может релаксировать в одно из восьми возможных состояний. Легко понять, что вблизи температуры компенсации подобное переключение особенно эффективно. Действительно, вблизи температуры компенсации суммарный магнитный момент подрешеток практически отсутствует m = 0. Однако при включении размагничивания величина m изменяется на Δm и в динамических уравнениях (7) появляется дополнительное слагаемое, что возбуждает прецессию параметра порядка. При этом следует понимать, что вследствие действия лазерного импульса может изменяться намагниченность как железной, так и редкоземельной подрешеток. В ходе реального эксперимента полная намагниченность m феррита может как уменьшаться (Δm < 0), так и увеличиваться (Δm > 0) в зависимости от доминирования размагничивания той или иной подрешеток. В результате диаграмма переключения будет соответствующим образом изменяться. Проанализировав возможные динамические процессы в GdIG, приступим к численному моделированию процесса переключения намагниченности.
Для моделирования воспользуемся следующими параметрами GdIG: 4πMd ≈ 1800 Гс, τ =10 пс, α = 0.005, K1 = –7 × 103 эрг/см3, χ⊥ ∼ 1.5 × 10–3. Для определенности будем считать, что начальное состояние системы соответствует паре углов (θ1, φ1 = π / 4), а также положим, что Δm > 0. В результате численного моделирования получим H–T-диаграмму переключения намагниченности при фиксированной величине размагничивания пленки Δm / Md = 0.04 (рис. 2а). Каждое из 8 возможных конечных состояний обозначается соответствующим цветом. Белой области соответствуют коллинеарные фазы, в рамках которых переключение путем размагничивания не происходит вследствие отсутствия метастабильных состояний. Из рис. 2а видим, что слева от температуры компенсации переключение возможно лишь в узкой области сосуществования фаз NC1 и NC2. В области выше штриховой линии слева от температуры компенсации переключение намагниченности отсутствует ввиду существования только фазы NC1. С другой стороны, справа от температуры компенсации выбранное начальное состояние является метастабильным. Из рис. 2а видно, что область переключения справа от температуры компенсации намного шире, чем слева, при этом в области низких полей переключение отсутствует (синяя область). При увеличении величины магнитного поля и при приближении к ТМ переключение происходит в широкой области под штриховой линией. При воздействии лазерного импульса начальное метастабильное состояние перестает существовать, что возбуждает динамику намагниченности системы. Важно отметить, что выше пунктирной линии диаграмма отвечает переключению намагниченности, однако формально переключение в этой области отсутствует, так как начальное состояние, отвечающее углам (θ1, φ1 = π / 4), не является стабильным в данной области диаграммы. Траектории переключения намагниченности, отвечающие областям переключения слева и справа от температуры компенсации, соответственно, изображены на рис. 2б и рис. 2в. Зеленая стрелка обозначает начальное состояние, красная стрелка – конечное состояние. Таким образом, легко видеть, что переключение намагниченности в модели размагничивания пленки феррит-граната фемтосекундным лазерным импульсом происходит лишь в узкой области сосуществования двух неколлинеарных фаз вблизи температуры компенсации. Отметим и то, что переключение на данной диаграмме не имеет стохастичного вида. Данный результат является следствием подбора константы затухания Гильберта. При выбранных параметрах переключение имеет четкую закономерность. Однако вследствие уменьшения параметра диссипации, при сохранении общих трендов диаграммы, стохастичность процесса переключения может начать проявляться наиболее ярко.
Рис. 2. a – H–T-диаграмма переключения намагниченности при фиксированной величине размагничивания; цветом отображается каждое из восьми возможных состояний; б, в – представляют траектории динамики намагниченности для соответствующих точек (б) и (в) на диаграмме (красная и желтая точка, соответственно), зеленая стрелка изображает начальное состояние, красная стрелка – конечное
Для более подробного изучения процесса переключения намагниченности вблизи температуры компенсации была построена диаграмма переключения в зависимости от величины размагничивания пленки феррит-граната при фиксированной температуре ТМ ≈ 250 К. Данная диаграмма в координатах ∆m – H изображена на рис. 3а. Белая область диаграммы отвечает отсутствию переключения при полях, выше критического. В области низкого размагничивания переключение отсутствует при всех возможных величинах внешнего магнитного поля. При увеличении величины размагничивания возможны как переключение, так и его отсутствие. Однако из рис. 3а видно, что чередование областей переключения существенно учащается при возрастании величины размагничивания. Таким образом, визуально возможно выделить диапазон размагничивания, где переключение происходит наиболее активно: при величинах размагничивания Δm / Md = 0.03 – 0.05 и Δm / Md = 0.07 – 0.10 переключение происходит в широком диапазоне внешних магнитных полей. На рис. 3б и рис. 3в изображены траектории динамики намагниченности для двух различных точек диаграммы. При этом рис. 3б соответствует переключению намагниченности, а рис. 3в соответствует его отсутствию. Таким образом, была проанализирована ∆m – H-диаграмма переключения вблизи температуры компенсации.
Рис. 3. a – ∆m – H-диаграмма переключения намагниченности при фиксированной температуре ТМ ≈ 250 К; цветом отображается каждое из восьми возможных состояний; б, в – представляют траектории динамики намагниченности для соответствующих точек (б) и (в) на диаграмме (красная и желтая точка, соответственно), зеленая стрелка изображает начальное состояние, красная стрелка – конечное
ЗАКЛЮЧЕНИЕ
В рамках работы исследована динамика намагниченности феррит-граната гадолиния под воздействием фемтосекундного лазерного импульса. Построен формализм Лагранжа для двухподрешеточного ферримагнетика с кубической анизотропией и получены уравнения динамики квази-антиферромагнитного вектора.
Для анализа возможных динамических процессов построена фазовая диаграмма феррита. Выделена область сосуществования двух коллинеарных фаз, в рамках которой возможно возбуждение динамики вследствие размагничивающего действия лазерного импульса.
Численно исследованы диаграммы переключения намагниченности феррита в координатах. Продемонстрировано, что наиболее эффективно переключение происходит вблизи температуры компенсации в области сосуществования двух неколлинеарных фаз.
Определены диапазоны размагничивающих факторов, для более эффективного переключения вблизи компенсации. Построены траектории переключения намагниченности.
Данное исследование может быть полезно для анализов процессов переключения вследствие размагничивания пленок ферритов не только лазерным импульсом, но и, например, электрическим током.
Исследование выполнено за счет гранта Российского научного фонда № 22-12-00367, https://rscf.ru/project/22-12-00367/, Общество с ограниченной ответственностью “Новые спинтронные технологии”, г. Москва.
Авторы данной работы заявляют, что у них нет конфликта интересов.
Авторлар туралы
V. Yurlov
MIREA – Russian Technological University; New Spintronic Technologies LLC; Moscow Institute of Physics and Technology
Хат алмасуға жауапты Автор.
Email: yurlov.vv@phystech.edu
Ресей, Moscow; Moscow; Dolgoprudny
K. Zvezdin
MIREA – Russian Technological University; New Spintronic Technologies LLC
Email: yurlov.vv@phystech.edu
Ресей, Moscow; Moscow
A. Zvezdin
MIREA – Russian Technological University; New Spintronic Technologies LLC; A.M. Prokhorov General Physics Institute of the Russian Academy of Sciences
Email: yurlov.vv@phystech.edu
Ресей, Moscow; Moscow; Moscow
Әдебиет тізімі
- Mashkovich E.A., Grishunin K.A., Zvezdin A.K., Blank T.G.H., Zavyalov A.G., van Loosdrecht Paul H.M., Kalashnikova A.M., Kimel A.V. Terahertz-driven magnetization dynamics of bismuth-substituted yttrium iron-gallium garnet thin film near a compensation // Phys. Rev. B. 2023. V. 106. P. 184425.
- Blank T.G.H., Mashkovich E.A., Grishunin K.A., Schippers C.F., Logunov M.V., Koopmans B., Zvezdin A.K., Kimel A.V. Effective rectification of terahertz electromagnetic fields in a ferrimagnetic iron garnet // Phys. Rev. B. 2023. V. 108. P. 094439.
- Kirilyuk A., Kimel A.V., Rasing Th. Ultrafast optical manipulation of magnetic order // Rev. Mod. Phys. 2010. V. 82. P. 2731–2784.
- Kimel A.V., Li M. Writing magnetic memory with ultrashort light pulses // Nature Rev. Mater. 2019. V. 4. P. 189–200.
- Kirilyuk A., Kimel A.V., Rasing Th. Ultrafast optical manipulation of magnetic order // Rev. Mod. Phys. 2010. V. 82. P. 2731–2784.
- Stanciu C.D., Hansteen F., Kimel A.V., Kirilyuk A., Tsukamoto A., Itoh A., Rasing Th. All-Optical Magnetic Recording with Circularly Polarized Light // Phys. Rev. Lett. 2007. V. 99. P. 047601.
- Kimel A.V., Kirilyuk A., Tsvetkov A., Pisarev R.V., Rasing Th. Laser-induced ultrafast spin reorientation in the antiferromagnet TmFeO3 // Nature. 2004. V. 429. P. 850–853.
- Stanciu C.D., Kimel A.V., Hansteen F., Tsukamoto A., Itoh A., Kirilyuk A., Rasing Th. Ultrafast spin dynamics across compensation points in ferrimagnetic GdFeCo // Phys. Rev. B. 2006. V. 73. P. 220402.
- Mendil J., Nieves P., Chubykalo-Fesenko O., Walowski J., Santos T., Pisana S., Münzenberg M. Resolving the role of femtosecond heated electrons in ultrafast spin dynamics // Scientific Reports. 2014. V. 4. P. 3980.
- Yang Yang, Wilson R.B., Gorchon J., Lambert C., Salahuddin S., Bokor J. Ultrafast magnetization reversal by picosecond electrical pulses // Sci. Advances. 2017. V. 3. P. e16033117.
- Vahaplar K., Kalashnikova A.M., Kimel A.V., Hinzke D., Nowak U., Chantrell R., Tsukamoto A., Itoh A., Kirilyuk A., Rasing Th. Ultrafast Path for Optical Magnetization Reversal via a Strongly Nonequilibrium State // Phys. Rev. Lett. 2009. V. 103. P. 117201.
- Savoini M., Medapalli R., Koene B., Khorsand A.R., Le Guyader L., Duò L., Finazzi M., Tsukamoto A., Itoh A., Nolting F., Kirilyuk A., Kimel A.V., Rasing Th. Highly efficient all-optical switching of magnetization in GdFeCo microstructures by interference-enhanced absorption of light // Phys. Rev. B. 2012. V. 32. P. 140404.
- Davydova M.D., Zvezdin K.A., Kimel A.V., Zvezdin A.K. Ultrafast spin dynamics in ferrimagnets with compensation point // J. Phys. Condensed Matter. 2020. V. 32. P. 01LT01.
- Yurlov V.V., Zvezdin K.A., Kichin G.A., Davydova M.D., Tseplina A.E., Ngo Trong Hai, Jong-Ching Wu, Sheng-Zhe Ciou, Yi-Ru Chiou, Lin-Xiu Ye, Te-Ho Wu, Ramesh Chandra Bhatt, Zvezdin A.K. Magnetization switching by nanosecond pulse of electric current in thin ferrimagnetic film near compensation temperature // Appl. Phys. Lett. 2020. V. 116. P. 222401.
- Yurlov V.V., Zvezdin K.A., Skirdkov P.N., Zvezdin A.K. Domain wall dynamics of ferrimagnets influenced by spin current near the angular momentum compensation temperature // Phys. Rev. B. 2021. V. 103. P. 134442.
- Ovcharenko S.V., Yakushenkov P.O., Ilyin N.A., Brekhov K.A., Semenova E.M., Wu A., Mishina E.D. Ultrafast Magnetization Reversal in DyFeCo Thin Film by Single Femtosecond Laser Pulse // Phys. Metals Metallogr. 2019. V. 120. P. 825–830.
- Kobelev A.V., Shvachko Yu.N., Ustinov V.V. Angular dependence of the FMR linewidth and the anisotropy of the relaxation time in iron garnets // Phys. Metals Metal. 2016. V. 117. P. 9–15.
- Schlauderer S., Lange C., Baierl S., Ebnet T., Schmid C.P., Valovcin D.C., Zvezdin A.K., Kimel A.V., Mikhaylovskiy R.V., Huber R. Temporal and spectral fingerprints of ultrafast all-coherent spin switching // Nature. 2019. V. 569. P. 383–387.
- Teale R.W., Temple D.W. Photomagnetic Anneal, A New Magneto-Optic Effect, in Si-Doped Yttrium Iron Garnet// Phys. Rev. Lett. 1967. V. 19. P. 904.
- Stupakiewicz A., Pashkevich M., Maziewski A., Stognij A., Novitskii N. Spin precession modulation in a magnetic bilayer// Appl. Phys. Lett. 2012. V. 101. P. 262406.
- Davydova M.D., Zvezdin K.A., Becker J., Kimel A.V., Zvezdin A.K. H-T phase diagram of rare-earth–transition-metal alloys in the vicinity of the compensation point // Phys. Rev. B. 2019. V. 100. P. 064409.
- Schlickeiser F., Atxitia U., Wienholdt S., Hinzke D., Chubykalo-Fesenko O., Nowak U. Temperature dependence of the frequencies and effective damping parameters of ferrimagnetic resonance// Phys. Rev. B 2012. V. 86. P. 214416.
- Beaurepaire E., Merle J.C., Daunois A., Bigot J.Y. Ultrafast Spin Dynamics in Ferromagnetic Nickel // Phys. Rev. Lett. 1996. V. 76. P. 4250–4253.
- Alben R. Phase Transitions in the Anisotropic Ferrimagnetic Ytterbium Iron Garnet // Phys. Rev. B. 1970. V. 101. P. 262406.
Қосымша файлдар



