The Hall Effect in Single Crystals of Topological Semimetals WTe2 and MoTe2
- Authors: Perevalova A.N.1, Naumov S.V.1, Fominykh B.M.1,2, Marchenkova E.B.1, Liang S.H.3, Marchenkov V.V.1,2
-
Affiliations:
- M.N. Mikheev Institute of Metal Physics of the Ural Branch of the Russian Academy of Sciences
- Ural Federal University
- Hubei University
- Issue: Vol 125, No 4 (2024)
- Pages: 453-459
- Section: ЭЛЕКТРИЧЕСКИЕ И МАГНИТНЫЕ СВОЙСТВА
- URL: https://ogarev-online.ru/0015-3230/article/view/267549
- DOI: https://doi.org/10.31857/S0015323024040108
- EDN: https://elibrary.ru/WQMGGS
- ID: 267549
Cite item
Full Text
Abstract
The Hall effect in single crystals of topological semimetals WTe2 and MoTe2 is studied in the temperature range from 2 to 100 K and in magnetic fields up to 9 T. It is established that the Hall resistivity of WTe2 shows a nonlinearly dependence on the magnetic field at temperatures below 100 K. At the same time, the Hall resistivity of MoTe2 depends linearly with the magnetic field at temperatures range from 2 to 25 K and a nonlinear contribution appears at 50 K. Along with the known mechanism of compensation/decompensation of electron and hole charge carriers, the nonlinear dependence of the Hall resistivity of WTe2 and MoTe2 single crystals on the magnetic field is associated with the scattering of charge carriers on the surface.
Keywords
Full Text
ВВЕДЕНИЕ
В последние годы обнаружено и исследуется большое число различных топологических материалов, которые можно разделить на три основные группы: топологические изоляторы, дираковские полуметаллы и вейлевские полуметаллы [1–3]. В топологических изоляторах объем представляет собой изолятор или полупроводник, а поверхность – топологически защищенный металл. Полуметаллы обеих групп обладают необычными электронными свойствами как в объеме, так и на поверхности. В частности, в вейлевском полуметалле две невырожденные зоны пересекаются друг с другом в особых точках (узлах) вблизи уровня Ферми. Закон дисперсии вблизи таких узлов линейный, а соответствующие квазичастицы ведут себя аналогично безмассовым вейлевским фермионам. На поверхности вейлевского полуметалла имеются бесщелевые спин-поляризованные состояния – дуги Ферми, которые связаны с узлами Вейля в объеме.
Впервые существование фазы вейлевского полуметалла было экспериментально подтверждено в нецентросимметричных монокристаллах семейства TaAs [4]. Позднее в монокристаллах WTe2 и MoTe2 был предсказан и обнаружен II тип узлов Вейля [5–7]. В отличие от полуметаллов Вейля I типа, конус Вейля II типа сильно наклонен, а узел Вейля представляет собой точку касания электронного и дырочного листов.
Особенности электронной структуры таких материалов проявляются в их транспортных свойствах, в частности, большом положительном ненасыщающемся магнитосопротивлении [8–10], отрицательном продольном магнитосопротивлении [11], высокой подвижности носителей тока [10, 12]. В качестве причины большого ненасыщающегося магнитосопротивления WTe2 и MoTe2 предложен механизм электронно-дырочной компенсации [8–10]. Согласно двухзонной модели, используемой для описания поведения сопротивления ρxx и холловского сопротивления ρxy в топологических полуметаллах (см., например, [12]), в компенсированных проводниках должна наблюдаться линейная зависимость ρxy(B). Однако для некоторых топологических полуметаллов это не выполняется. В частности, сильно нелинейную полевую зависимость холловского сопротивления наблюдали для WTe2 при низких температурах [12, 13]. Для MoTe2 было показано, что холловское сопротивление отрицательное и изменяется линейно с полем при температурах ниже ~20 К и от ~70 до 90 К, тогда как между 20 и 70 К ρxy демонстрирует нелинейное поведение [10]. Таким образом, причина появления нелинейной полевой зависимости холловского сопротивления топологических полуметаллов остается не вполне понятной. В связи с этим представляет интерес исследовать эффект Холла в монокристаллах WTe2 и MoTe2 и выявить возможные механизмы, приводящие к нелинейной полевой зависимости холловского сопротивления.
ОБРАЗЦЫ И МЕТОДИКА ЭКСПЕРИМЕНТА
Монокристаллы WTe2 и MoTe2 были выращены методом химического газового транспорта, как описано в работах [14, 15]. Для стабилизации высокотемпературной полуметаллической β-фазы кристаллы MoTe2 были закалены в воду от температуры 910°С.
Аттестация полученных образцов проведена методом рентгеноструктурного анализа на дифрактометре DRON-2.0 в излучении Cr–Kα. Фрагменты рентгенограмм, снятых с поверхности монокристаллов WTe2 и MoTe2, приведены на рис. 1. Поскольку все пики могут быть индексированы как (00l), поверхности монокристаллов совпадают с плоскостью типа (001). Установлено, что монокристаллы WTe2 имеют орторомбическую структуру (пространственная группа Pmn21) [14], а монокристаллы MoTe2 – моноклинную (пространственная группа P21/m) [15].
Рис. 1. Фрагменты рентгенограмм, снятых с поверхности монокристаллов WTe2 и MoTe2
Химический состав монокристаллов исследован методом рентгеновского энергодисперсионного микроанализа на сканирующем электронном микроскопе FEI Quanta 200 Pegasus с приставкой EDAX в Центре коллективного пользования (ЦКП) “Испытательный центр нанотехнологий и перспективных материалов” ИФМ УрО РАН. Установлено, что химический состав полученных образцов соответствует стехиометрическим WTe2 и MoTe2 (рис. 2).
Рис. 2. Анализ химического состава монокристаллов WTe2 и MoTe2 на участках поверхности, показанных на соответствующих вставках. Соотношение W и Te составляет 33.17 и 66.83 ат. %. Соотношение Mo и Te составляет 33.01 и 66.99 ат. %
Измерения транспортных свойств проведены на монокристаллах WTe2 и MoTe2 в форме тонкой пластины размером ~4×1×0.4 мм3 и ~6×1×0.2 мм3 соответственно. Электросопротивление и эффект Холла измерены четырехконтактным методом в диапазоне температур от 2 до 300 К и в магнитных полях до 9 Тл на универсальной установке для измерения физических свойств PPMS-9 (Quantum Design) в ЦКП ИФМ УрО РАН. Измерения проводили при протекании тока в плоскости (00l) монокристалла, магнитное поле B направлено перпендикулярно этой плоскости.
РЕЗУЛЬТАТЫ И ОБСУЖДЕНИЕ
3.1. Температурные зависимости электросопротивления WTe2 и MoTe2
Температурные зависимости электросопротивления WTe2 и MoTe2 представлены на рис. 3. Отношение сопротивлений при комнатной температуре и температуре жидкого гелия (Residual Resistivity Ratio) составляет ρ300 К/ρ4.2 К ≈ 55 для WTe2 и ρ300 К/ρ4.2 К ≈ 15 для MoTe2, что свидетельствует о большем количестве дефектов и примесей в MoTe2 по сравнению с WTe2.
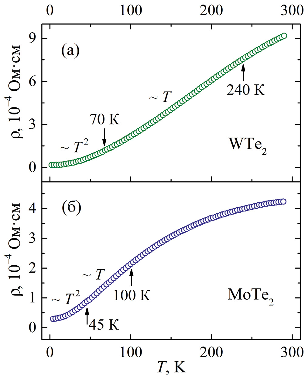
Рис. 3. Температурные зависимости электросопротивления ρ(T) монокристаллов WTe2 и MoTe2 в диапазоне температур от 2 до 290 К
Зависимости ρ(T) обоих соединений имеют “металлический” вид (рис. 3). Электросопротивление WTe2 увеличивается от 0.17·10-4 до 9.2·10-4 Ом·см с ростом температуры от 2 до 290 К (рис. 3а). При T < 70 K величина ρ данного соединения изменяется согласно квадратичному закону, затем линейно с тенденцией к насыщению при T > 240 K. Квадратичную температурную зависимость электросопротивления также наблюдали в WTe2 в интервале температур от 2 до 71 К в работе [16]. Электросопротивление ρ монокристалла MoTe2 увеличивается от 0.3·10-4 до 4.2·10-4 Ом·см с ростом температуры от 2 до 290 К (рис. 3б). При T < 45 K электросопротивление MoTe2 изменяется с температурой по квадратичному закону, затем в интервале температур от 45 до 100 К растет линейно, при T > 100 K имеет тенденцию к насыщению. Квадратичную температурную зависимость электросопротивления MoTe2 наблюдали при температурах ниже 50 К и в предыдущих исследованиях [17, 18].
3.2. Эффект Холла в WTe2
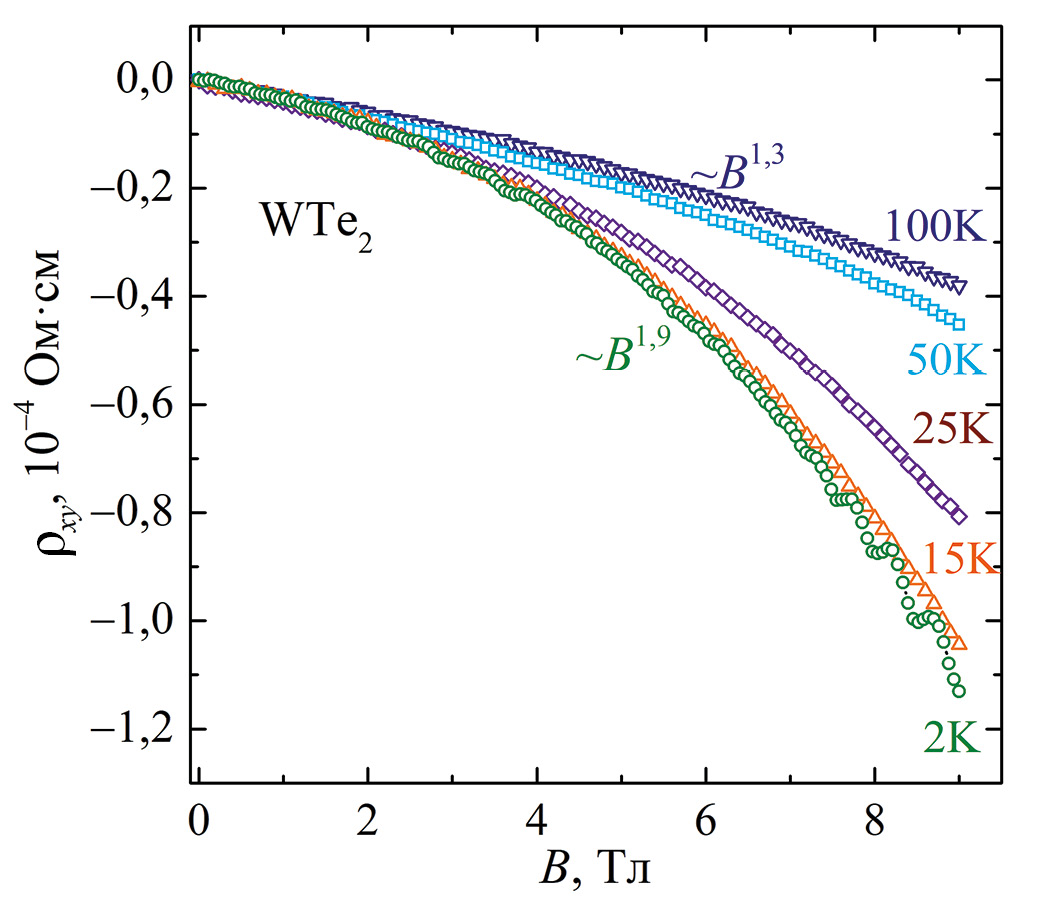
Полевая зависимость холловского сопротивления ρxy(B) монокристалла WTe2 при T = 2 К представлена на рис. 4. Видно, что ρxy изменяется с полем по закону, близкому к квадратичному. Нелинейную зависимость ρxy(B) при низких температурах наблюдали для WTe2 и в предыдущих исследованиях [12, 13]. Согласно работам [12, 13], такая зависимость ρxy(B) свидетельствует о наличии нескольких групп носителей.
Рис. 4. Полевые зависимости холловского сопротивления ρxy(B) монокристалла WTe2 при температурах от 2 до 100 К в полях до 9 Тл
Отметим, что на зависимости ρxy(B) монокристалла WTe2 при T = 2 К наблюдаются квантовые осцилляции Шубникова-де Гааза. Подобные осцилляции на зависимости ρxy(B) наблюдали для WTe2 ранее и в других работах [12, 13, 19]. Анализ осцилляций Шубникова-де Гааза в магнитосопротивлении исследуемого монокристалла WTe2 в полях до 14 Тл при температурах 2 и 5 К проведен в работе [20].
Квадратичную полевую зависимость ЭДС Холла ранее наблюдали в работах [21, 22], где исследовали компенсированные металлы с замкнутой поверхностью Ферми в условиях статического скин-эффекта, т.е. с неоднородным распределением тока по сечению проводника, возникающим в результате рассеяния электронов на поверхности. Авторы работ [21, 22] экспериментально показали на монокристаллах вольфрама различных размеров, формы, кристаллографической ориентации граней и степени чистоты, что уменьшение вклада от рассеяния электронов на поверхности приводит к увеличению линейного вклада в ЭДС Холла и исчезновению квадратичной полевой зависимости. Уменьшение вклада от рассеяния электронов на поверхности в работах [21, 22] связывали с сокращением длины свободного пробега носителей тока при повышении температуры выше 20 К или при использовании более “грязного” кристалла.
Предположим, что аналогичный эффект имеет место в WTe2. Чтобы проверить данное предположение, можно, как это продемонстрировано в работах [21, 22], провести следующие дополнительные измерения: 1) полевых зависимостей холловского сопротивления при более высоких температурах; 2) полевых зависимостей холловского сопротивления для более “грязного” кристалла. С этой целью были измерены полевые зависимости холловского сопротивления монокристалла WTe2 при различных температурах от 2 до 100 К, как это показано на рис. 4. Видно, что более выраженная нелинейность наблюдается при низких температурах, тогда как с ростом температуры заметно увеличение линейного вклада в холловское сопротивление, что согласуется с результатами, описанными в работах [21, 22], и свидетельствует о том, что нелинейная зависимость ρxy(B) монокристалла WTe2 связана с рассеянием на поверхности.
Следует отметить, что в работах [21, 22] квадратичную полевую зависимость ЭДС Холла наблюдали при T < 20 К в том случае, когда длина свободного пробега l электронов проводимости больше или порядка поперечных размеров образца и больше ларморовского радиуса rH электронов в магнитном поле. Длину свободного пробега оценили из формулы для проводимости
, (1)
где n – концентрация носителей тока, e – заряд электрона, m* и vF – эффективная масса носителей тока и фермиевская скорость. В случае монокристалла WTe2 n ≈ 5·1019 см-3 при T = 2 К получено из соотношения n = 1/RH·e (RH = ρxy/B – коэффициент Холла при B = 9 Тл). Значения m* и vF взяты из исследований [13, 24]. Таким образом, длина свободного пробега составила 0.23 мкм при T = 2 К, что меньше поперечных размеров образца. По-видимому, вклад в холловское сопротивление WTe2 от рассеяния на поверхности может быть связан с нетривиальной топологией зонной структуры данного материала и “необычным” переносом носителей тока вблизи поверхности.
Для подтверждения того, что нелинейная полевая зависимость сопротивления Холла монокристалла WTe2 связана с рассеянием на поверхности, также можно было бы измерить зависимости ρxy(B) для более “грязного” кристалла. Однако в данной работе исследовали монокристалл WTe2 с отношением сопротивлений ρ300 К/ρ4,2 К ≈ 55, но не удалось получить образцы другой степени чистоты. В то же время монокристалл MoTe2, который является электронным аналогом WTe2, имеет меньшее отношение сопротивлений ρ300 К/ρ4,2 К ≈ 15. Предполагается, что это приведет к увеличению линейного вклада в холловское сопротивление монокристалла MoTe2.
3.3. Эффект Холла в MoTe2
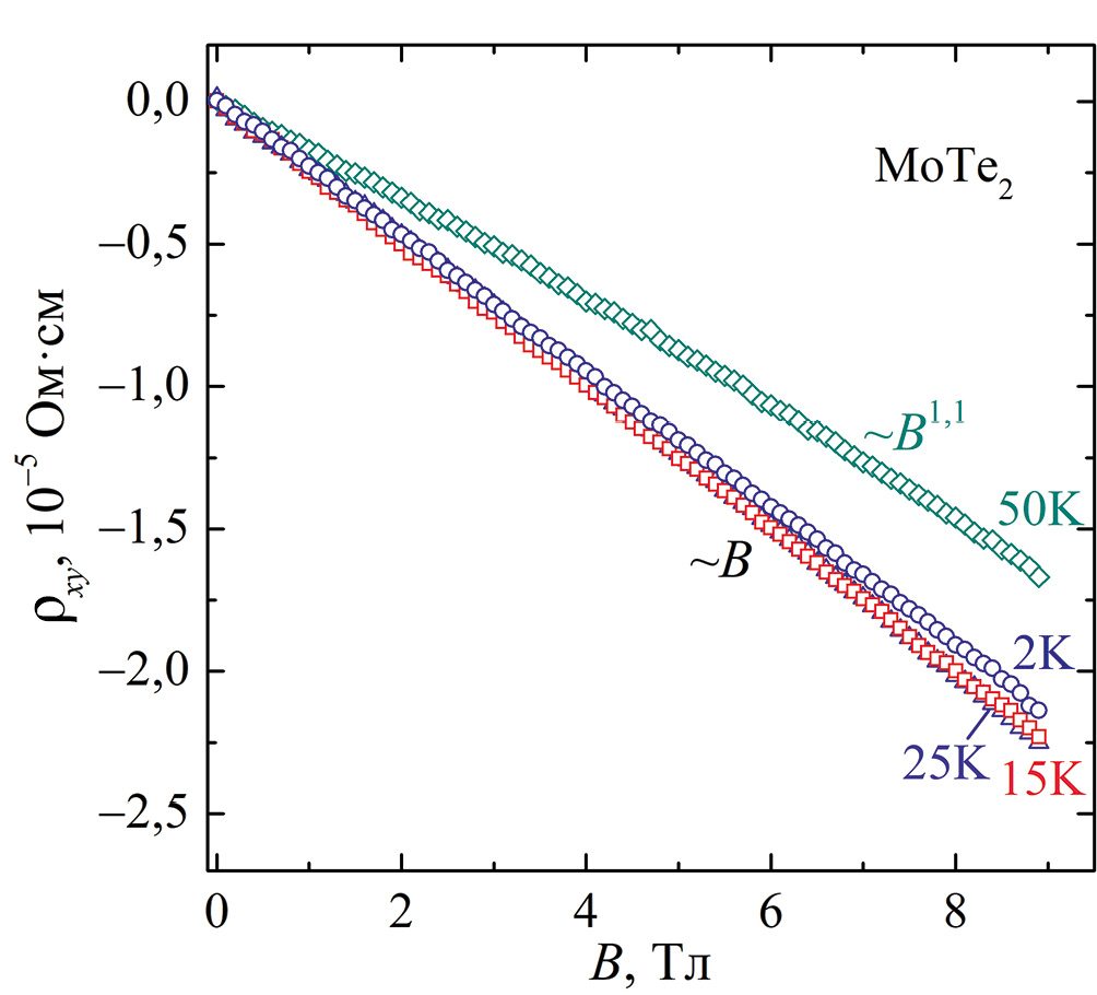
Полевые зависимости холловского сопротивления монокристалла MoTe2 при различных температурах от 2 до 50 К в магнитных полях до 9 Тл представлены на рис. 5. Видно, что ρxy изменяется с магнитным полем по линейному закону при температурах от 2 до 25 К, а при 50 К появляется нелинейный вклад в сопротивление Холла. Исследуемый монокристалл MoTe2 имеет меньшее отношение сопротивлений ρ300 К/ρ4.2 К, поскольку он содержит большее число дефектов и примесей и, по-видимому, обладает меньшей длиной свободного пробега по сравнению с WTe2. Оценка длины свободного пробега l в монокристалле MoTe2 была сделана по формуле (1). Концентрация носителей тока составила n ≈ 2.6·1020 см-3 при 2 К, а значения m* и vF взяты из работы [25]. При T = 2 К величина l составляет 0.04 мкм. По-видимому, рассеяние на поверхности может не вносить существенный вклад в холловское сопротивление монокристалла MoTe2.
Рис. 5. Полевые зависимости холловского сопротивления ρxy(B) монокристалла MoTe2 при температурах от 2 до 50 К в полях до 9 Тл
С другой стороны, нелинейная полевая зависимость ρxy(B) при 50 К может быть связана с раскомпенсацией носителей тока в MoTe2, когда ne ≠ nh. Согласно работе [12], в рамках двухзонной модели справедливо следующее выражение для холловского сопротивления:
, (2)
где ne (nh) и μe (μh) – концентрация и подвижность электронов (дырок) соответственно. Полевые зависимости холловского сопротивления MoTe2, подобные представленным на рис. 5, наблюдали авторы работы [10]. Согласно работе [23], где были оценены концентрации электронных и дырочных носителей тока в MoTe2 в рамках двухзонной модели, при температурах ниже 35 К выполняется соотношение ne = nh, в то время как при 50 К концентрация дырок уменьшается более чем на один порядок. Это согласуется с результатами, представленными на рис. 5. Линейная зависимость ρxy(B) при температурах от 2 до 25 К, по-видимому, связана с электронно-дырочной компенсацией. Нелинейный вклад в холловское сопротивление при 50 К обусловлен раскомпенсацией, которая может быть вызвана уменьшением концентрации дырочных носителей.
ЗАКЛЮЧЕНИЕ
Выполнены исследования эффекта Холла в монокристаллах топологических полуметаллов WTe2 и MoTe2. Показано, что для WTe2 холловское сопротивление нелинейно зависит от магнитного поля при температурах ниже 100 К. В то же время для MoTe2 холловское сопротивление изменяется с магнитным полем по линейному закону при температурах от 2 до 25 К, а при 50 К появляется нелинейный вклад.
Нелинейная полевая зависимость сопротивления Холла монокристаллов WTe2 и MoTe2 связана наряду с известным механизмом компенсации/раскомпенсации электронных и дырочных носителей заряда с рассеянием носителей тока на поверхности.
Результаты исследования электросопротивления и эффекта Холла в WTe2 (разд. 3.1 и 3.2) получены в рамках государственного задания Минобрнауки России (тема “Спин”, № 122021000036-3) при частичной поддержке стипендии Президента Российской Федерации молодым ученым и аспирантам (Перевалова А.Н., СП-2705.2022.1). Исследование эффекта Холла в MoTe2 (разд. 3.3) выполнено за счет гранта Российского научного фонда (проект № 22-42-02021 https://rscf.ru/project/22-42-02021/, Институт физики металлов имени М.Н. Михеева Уральского отделения Российской академии наук, Свердловская обл.).
Авторы данной работы заявляют, что у них нет конфликта интересов.
About the authors
A. N. Perevalova
M.N. Mikheev Institute of Metal Physics of the Ural Branch of the Russian Academy of Sciences
Author for correspondence.
Email: domozhirova@imp.uran.ru
Russian Federation, Ekaterinburg
S. V. Naumov
M.N. Mikheev Institute of Metal Physics of the Ural Branch of the Russian Academy of Sciences
Email: domozhirova@imp.uran.ru
Russian Federation, Ekaterinburg
B. M. Fominykh
M.N. Mikheev Institute of Metal Physics of the Ural Branch of the Russian Academy of Sciences; Ural Federal University
Email: domozhirova@imp.uran.ru
Russian Federation, Ekaterinburg; Ekaterinburg
E. B. Marchenkova
M.N. Mikheev Institute of Metal Physics of the Ural Branch of the Russian Academy of Sciences
Email: domozhirova@imp.uran.ru
Russian Federation, Ekaterinburg
S. H. Liang
Hubei University
Email: domozhirova@imp.uran.ru
China, Wuhan
V. V. Marchenkov
M.N. Mikheev Institute of Metal Physics of the Ural Branch of the Russian Academy of Sciences; Ural Federal University
Email: march@imp.uran.ru
Russian Federation, Ekaterinburg; Ekaterinburg
References
- Hasan M.Z., Kane C.L. Colloquium: Topological insulators // Rev. Mod. Phys. 2010. V. 82. P. 3045–3067.
- Armitage N.P., Mele E.J., Vishwanath A. Weyl and Dirac semimetals in three-dimensional solids // Rev. Mod. Phys. 2018. V. 90. P. 015001.
- Vergniory M.G., Elcoro L., Felser C., Regnault N., Bernevig B.A., Wang Z. A complete catalogue of high-quality topological materials // Nature. 2019. V. 566. P. 480–485.
- Xu S.-Y., Belopolski I., Alidoust N., Neupane M., Bian G., Zhang C., Sankar R., Chang G., Yuan Z., Lee C.-C., Huang S.-M., Zheng H., Ma J., Sanchez D.S., Wang B., Bansil A., Chou F., Shibayev P.P., Lin H., Jia S., Hasan M.Z. Discovery of a Weyl fermion semimetal and topological Fermi arcs // Science. 2015. V. 349. P. 613–617.
- Soluyanov A.A., Gresch D., Wang Z., Wu Q., Troyer M., Dai X., Bernevig B.A. Type-II Weyl semimetals // Nature. 2015. V. 527. P. 495–498.
- Sun Y., Wu S.-C., Ali M.N., Felser C., Yan B. Prediction of Weyl semimetal in orthorhombic MoTe2 // Phys. Rev. B. 2015. V. 92. P. 161107(R).
- Huang L., McCormick T.M., Ochi M., Zhao Z., Suzuki M.-T., Arita R., Wu Y., Mou D., Cao H., Yan J., Trivedi N., Kaminski A. Spectroscopic evidence for a type II Weyl semimetallic state in MoTe2 // Nat. Mater. 2016. V. 15. P. 1155–1160.
- Ali M.N., Xiong J., Flynn S., Tao J., Gibson Q.D., Schoop L.M., Liang T., Haldolaarachchige N., Hirschberger M., Ong N.P., Cava R.J. Large, non-saturating magnetoresistance in WTe2 // Nature. 2014. V. 514. P. 205–208.
- Keum D.H., Cho S., Kim J.H., Choe D.-H., Sung H.-J., Kan M., Kang H., Hwang J.-Y., Kim S.W., Yang H., Chang K. J., Lee Y.H. Bandgap opening in few-layered monoclinic MoTe2 // Nat. Phys. 2015. V. 11. P. 482–486.
- Zhou Q., Rhodes D., Zhang Q.R., Tang S., Schonemann R., Balicas L. Hall effect within the colossal magnetoresistive semimetallic state of MoTe2 // Phys. Rev. B. 2016. V. 94. P. 121101(R).
- Li P., Wen Y., He X., Zhang Q., Xia C., Yu Z.-M., Yang S.A., Zhu Z., Alshareef H.N., Zhang X.-X. Evidence for topological type-II Weyl semimetal WTe2 // Nat. Commun. 2017. V. 8. P. 2150.
- Luo Y., Li H., Dai Y.M., Miao H., Shi Y.G., Ding H., Taylor A.J., Yarotski D.A., Prasankumar R.P., Thompson J.D. Hall effect in the extremely large magnetoresistance semimetal WTe2 // Appl. Phys. Lett. 2015. V. 107. P. 182411.
- Pan X.-C., Pan Y., Jiang J., Zuo H., Liu H., Chen X., Wei Z., Zhang S., Wang Z., Wan X., Yang Z., Feng D., Xia Z., Li L., Song F., Wang B., Zhang Y., Wang G. Carrier balance and linear magnetoresistance in type-II Weyl semimetal WTe2 // Front. Phys. 2017. V. 12(3). P. 127203.
- Перевалова А.Н., Наумов С.В., Подгорных С.М., Чистяков В.В., Марченкова Е.Б., Фоминых Б.М., Марченков В.В. Кинетические свойства монокристалла топологического полуметалла WTe2 // ФММ. 2022. Т. 123. С. 1131–1137.
- Perevalova A.N., Naumov S.V., Marchenkov V.V. Peculiarities of the electro- and magnetotransport in semimetal MoTe2 // Metals. 2022. V. 12. P. 2089–2098.
- Lv Y.-Y., Cao L., Li X., Zhang B.-B., Wang K., Pang B., Ma L., Lin D., Yao S.-H., Zhou J., Chen Y.B., Dong S.-T., Liu W., Lu M.-H., Chen Y., Chen Y.-F. Composition and temperature dependent phase transition in miscible Mo1−xWxTe2 single crystals // Sci. Rep. 2017. V. 7. P. 44587.
- Zandt T., Dwelk H., Janowitz C., Manzke R. Quadratic temperature dependence up to 50 K of the resistivity of metallic MoTe2 // J. Alloys Compd. 2007. V. 442. P. 216–218.
- Santos-Cottin D., Martino E., Le Mardelé F., Witteveen C., von Rohr F.O., Homes C.C., Rukelj Z., Akrap A. Low-energy excitations in type-II Weyl semimetal Td-MoTe2 evidenced through optical conductivity // Phys. Rev. Mater. 2020. V. 4. P. 021201(R).
- Pan X.-C., Chen X., Liu H., Feng Y., Wei Z., Zhou Y., Chi Z., Pi L., Yen F., Song F., Wan X., Yang Z., Wang B., Wang G., Zhang Y. Pressure-driven dome-shaped superconductivity and electronic structural evolution in tungsten ditelluride // Nat. Commun. 2015. V. 6. P. 7805.
- Пирозерский А.Л., Чарная Е.В., Lee M.K., Chang L.-J., Наумов С.В., Доможирова А.Н., Марченков В.В. Магнитосопротивление и квантовые осцилляции в полуметалле WTe2 // ФТТ. 2021. Т. 63. С. 2033–2037.
- Волкенштейн Н.В., Глиньский М., Марченков В.В., Старцев В.Е., Черепанов А.Н. Особенности гальваномагнитных свойств компенсированных металлов в условиях статического скин-эффекта в сильных магнитных полях (вольфрам) // ЖЭТФ. 1989. Т. 95. С. 2103–1116.
- Cherepanov A.N., Marchenkov V.V., Startsev V.E., Volkenshtein N.V., Glin’skii M. High-field galvanomagnetic properties of compensated metals under electron-surface and intersheet electron-phonon scattering (tungsten) // J. Low. Temp. Phys. 1990. V. 80. P. 135–151.
- Chen F.C., Lv H.Y., Luo X., Lu W.J., Pei Q.L., Lin G.T., Han Y.Y., Zhu X.B., Song W.H., Sun Y.P. Extremely large magnetoresistance in the type-II Weyl semimetal MoTe2 // Phys. Rev. B. 2016. V. 94. P. 235154.
- Wu Y., Jo N.H., Mou D., Huang L., Bud’ko S.L., Canfield P.C., Kaminski A. Three-dimensionality of the bulk electronic structure in WTe2 // Phys. Rev. B. 2017. V. 95. P. 195138.
- Luo X., Chen F.C., Zhang J.L., Pei Q.L., Lin G.T., Lu W.J., Han Y.Y., Xi C.Y., Song W.H., Sun Y.P. Td-MoTe2: A possible topological superconductor // Appl. Phys. Lett. 2016. V. 109. P. 102601.
Supplementary files






