Магнитотепловые и магнитострикционные свойства фаз лавеса Tb(Co,In)2
- Авторы: Морозов Д.А.1, Политова Г.А.1,2, Ганин М.А.1, Политов М.Е.3, Михайлова А.Б.1, Филимонов А.В.2
-
Учреждения:
- Институт металлургии и материаловедения им. А. А. Байкова РАН
- Санкт-Петербургский политехнический университет Петра Великого
- Московский государственный технический университет имени Н. Э. Баумана
- Выпуск: Том 125, № 4 (2024)
- Страницы: 438-446
- Раздел: ЭЛЕКТРИЧЕСКИЕ И МАГНИТНЫЕ СВОЙСТВА
- URL: https://ogarev-online.ru/0015-3230/article/view/267547
- DOI: https://doi.org/10.31857/S0015323024040081
- EDN: https://elibrary.ru/WQRADN
- ID: 267547
Цитировать
Полный текст
Аннотация
Впервые получены многокомпонентные поликристаллические твердые растворы TbInxCo2-x (х = 0 – 0.2) и изучены их кристаллическая структура, магнитные, магнитокалорические и магнитострикционные свойства. Рентгенограммы, полученные при комнатной температуре, демонстрируют преимущественное наличие кубической фазы Лавеса C15 во всех исследуемых образцах. Обнаружено, что при увеличении содержания индия до x = 0.1 параметр решетки увеличивается, а при дальнейшем увеличении до х = 0.2 – уменьшается. Температура Кюри TC при этом монотонно возрастает до 245 К. Изотермическое изменение энтропии ΔSmag рассчитано в соответствии с магнитными измерениями с использованием термодинамического соотношения Максвелла. При изменении внешнего магнитного поля от 0 до 1.8 Тл максимальное изменение энтропии монотонно уменьшается и для состава x = 0.2 составляет 1.8 Дж/(кг∙К). Обнаружен рост величины объемной магнитострикции по мере увеличения содержания индия до x = 0.05. При дальнейшем увеличении концентрации индия пиковые значения снижаются и смещаются в область более высоких температур.
Полный текст
ВВЕДЕНИЕ
Интерметаллиды RCo2 (R – редкоземельный металл) кристаллизуются в кубическую структуру типа MgCu2 (структура типа фаз Лавеса (C15), пространственная группа Fd3m), в которой атомы R образуют решетку типа алмаз, а оставшееся пространство внутри ячейки занято правильными тетраэдрами, состоящими из атомов Co [1]. Такие соединения с тяжелыми редкоземельными элементами являются коллинеарными ферримагнетиками и имеют две магнитные подсистемы. Одну из подсистем образуют локализованные R-моменты, а другую – моменты коллективизированных 3d-электронов кобальта, гибридизованных с редкоземельными 5d-электронами. Обмен между d-электронами недостаточен для спонтанного расщепления зон, поэтому соединения с немагнитными редкоземельными элементами (YCo2, LuCo2) являются обменно-усиленными парамагнетиками, а намагниченность d-электронной подсистемы в соединениях с магнитными редкоземельными элементами обусловлена 4f–3d-обменным взаимодействием, наиболее сильном в GdCo2 [2]. Соединения RCo2 проявляют метамагнитные свойства, которые играют решающую роль в определении типа фазового перехода в магнитоупорядоченное состояние (при температуре Кюри). Так температуры Кюри соединений варьируются от 33.6 К (для ErCo2 – переход первого рода) до 398 К (для GdCo2 – переход второго рода). Также в этих соединениях может возникать фазовый переход, индуцированный внешним магнитным полем. Отметим, что нестехиометрические составы, например, TbCo2Mnx (0 ≤ x ≤ 0.6) с кубической структурой типа MgCu2, несмотря на отклонение соотношения Tb к 3d-металлу от стехиометрии, обладают большой объемной и анизотропной магнитострикцией в широком диапазоне температур [3].
Перечисленные особенности оказывают большое влияние на структурные, магнитные, тепловые и транспортные свойства, что позволяет рассматривать эти соединения как перспективные материалы для приборостроения.
Магнитные соединения RCo2 часто проявляют интересные магнитные свойства вблизи температуры Кюри, такие как гигантский магнитокалорический эффект (МКЭ) [1–22], гигантский магнитообъемный эффект [5, 23, 24], метамагнитный переход системы коллективизированных электронов [13, 18, 25]. Основываясь на подобных уникальных свойствах, можно создавать нестандартные инструменты для реализации специальных функций. Одним из примеров является технология магнитного охлаждения, которая, в зависимости от интенсивности МКЭ, отличается высокой энергоэффективностью и экологичностью. На первый план выходит задача поиска материалов с большими МКЭ в малых полях, которые были бы созданы из нетоксичных элементов и являлись бы эффективными теплоносителями, работающими на высоких частотах [26, 27].
Эти явления в области магнитного фазового перехода часто проявляются совместно, демонстрируя связь между магнитными, структурными и электронными особенностями материала. Эта связь позволяет управлять свойствами материалов различными способами, такими как изменение температуры, магнитного поля, давления внешней среды и изменения химического состава. Осуществляя частичные замещения как в R-подрешетке, так и в подрешетке кобальта, можно варьировать температуру Кюри и величину наблюдаемых в ее области эффектов [28, 29]. Известно, что частичная замена Co на p-элементы, такие как Al или Ga, приводит к увеличению параметра решетки, увеличению температуры Кюри и может привести к росту адиабатического изменения температуры и магнитной части энтропии при изменении воздействующего магнитного поля, характеризующих МКЭ [24, 28]. В данной работе предлагается изучить структуру и магнитные свойства ранее не изученной системы замещенных соединений TbInxCo2-x, где в качестве замещающего p-элемента выступают атомы индия с незаполненной 5p-электронной оболочкой.
ДЕТАЛИ ЭКСПЕРИМЕНТА
Поликристаллические образцы твердых растворов TbInxCo2-x (х = 0, 0.05, 0.1, 0.15, 0.2) были получены методом дуговой плавки в медном водоохлаждаемом тигле в атмосфере защитного газа аргона высокой чистоты. Высокочистые металлы (Со 99.99%, редкоземельные металлы Tb и In 99.9%) были подобраны в стехиометрических соотношениях. Выплавку производили троекратно для обеспечения достаточной однородности. Полученные отливки были завернуты в танталовую фольгу, запечатаны в вакуумированные кварцевые ампулы и отожжены при температуре 850°С в течение 40 ч.
Рентгеновские спектры порошкообразных образцов получены в CuKα-излучении при комнатной температуре на дифрактометре Ultima IV (Rigaku, Япония). Рентгеноструктурный и фазовый анализ полученных образцов проведен с использованием пакета программ PDXL, интегрированного с международной базой данных ICDD, а также с использованием пакета программ MAUD по методу Ритвельда.
Намагниченность образцов измерена с помощью индукционного магнитометра (измерительная вставка для установки MagEq MMS 901, AMT&C, Москва, Россия) в магнитных полях до 1.8 Тл в диапазоне температур 90–350 К. Рассчитана удельная намагниченность полученных составов.
Для оценки магнитокалорического эффекта косвенным методом рассчитаны изменения магнитной части энтропии путем интегрирования полевых зависимостей намагниченности в соответствии с соотношением Максвелла.
Продольная и поперечная магнитострикция измерены тензометрическим методом в температурном диапазоне 80–320 К в магнитных полях до 1.2 Тл. Измерения проводили при помощи тензорезисторов с коэффициентом чувствительности 2.15 и сопротивлением 120 Ом. При измерениях использована компенсационная схема, при которой один тензорезистор приклеивали клеем БФ-2 к поверхности образца, второй – к кварцевой пластине. Выходной сигнал тензорезисторов поступал на мостовую схему и регистрировался оборудованием установки.
РЕЗУЛЬТАТЫ ИССЛЕДОВАНИЯ И ОБСУЖДЕНИЕ
Кристаллическая структура. Для определения типа структуры твердых растворов TbInxCo2-x и оценки изменения параметров решетки с увеличением содержания индия был использован метод рентгеновской дифракции.
На рис. 1 показаны дифрактограммы образцов, отмечены угловые положения рефлексов, соответствующие структуре типа С15. Как видно из рисунка, основные рефлексы полученного спектра соответствуют ожидаемым для структуры типа C15 (пространственная группа Fd3m). С увеличением содержания индия появляются новые рефлексы, наиболее заметные для образцов с х = 0.15 и х = 0.2, свидетельствующие о появлении фазы Tb11Co4In9, содержание которой в сплаве TbIn0.2Co1.8 достигает 20 % (отмечены на дифрактограмме для х = 0.2).
Рис. 1. Дифракционные спектры при комнатной температуре для TbInxCo2-x (х = 0, 0.05, 0.1, 0.15, 0.2). Цифрами обозначены рефлексы, соответствующие кубической структуре C15
Сплавы Tb11Co4In9 с орторомбической решеткой (структура типа Nd11Pd4In9, пространственная группа Cmmm) изучают недавно, как показано в работе [11], температура их магнитного упорядочения составляет около 100 К.
Следовательно, эта фаза не оказывает существенного влияния на магнитные свойства изучаемых нами соединений в области более высоких температур. Таким образом, установлено, что во всех исследованных твердых растворах TbInxCo2-x (х = 0, 0.05, 0.1, 0.15, 0.2) присутствует кубическая фаза Лавеса С15 типа MgCu2 в качестве основной фазы.
Параметры решетки изученных соединений приведены в табл. 1. С увеличением содержания индия до х = 0.1 параметр решетки основной фазы сначала увеличивается. Это связано с тем, что кобальт замещается индием, имеющим больший атомный радиус.
Таблица 1. Структурные и магнитные свойства соединений TbInxCo2-x (х = 0, 0.05, 0.1, 0.15, 0.2)
Соединение | a, нм | V, нм3 | TC, К | M, А∙м2/кг при 1.٨ Тл, ٩0 К | –ΔSmag max, Дж/Кг∙К при 1.٨ Тл |
TbCo2 | 0.7208 | 374.65 | 231 | 86.7 | 2.9 |
TbIn0.05Co1.95 | 0.7215 | 375.59 | 234 | 80.4 | 2.7 |
TbIn0.1Co1.9 | 0.7216 | 375.74 | 238 | 78.0 | 2.4 |
TbIn0.15Co1.85 | 0.7214 | 375.43 | 240 | 75.9 | 2.15 |
TbIn0.2Co1.8 | 0.7212 | 375.12 | 245 | 65.7 | 1.8 |
При дальнейшем увеличении содержания индия параметр решетки начинает уменьшаться, что, предположительно, связано с замещением индием не только кобальта, но и тербия, который имеет еще больший, чем у индия, атомный радиус.
Магнитные свойства. Намагниченность соединений измерена в интервале температур от 90 до 350 К. Данные по намагничиванию в магнитном поле 1.8 Тл приведены в табл. 1. На рис. 2а показаны петли гистерезиса соединений при 90 К. Кривые намагничивания соединений не выходят на насыщение в заданных условиях. С увеличением содержания индия удельная намагниченность образцов уменьшается. Петли гистерезиса незначительно расширяются (вставка на рис. 2а), что, по-видимому, вызвано наличием второй фазы.
Рис. 2. Петли гистерезиса удельной намагниченности для TbInxCo2-x (х = 0, 0.05, 0.1, 0.15, 0.2), вставка: увеличенный фрагмент (а), и изотермы удельной намагниченности TbIn0.2Co1.8, измеренные при различных температурах (б)
Температуру Кюри TC соединений определяли как по пику температурной зависимости dM/dT, так и термодинамическим методом Белова–Арротта. На примере TbIn0.2Co1.8 на рис. 2б показаны изотермы намагниченности, температурные зависимости удельной намагниченности (рис. 3а) и кривые Белова–Арротта (рис. 3б). Значения температуры Кюри для приведенного твердого раствора хорошо согласуются между собой (TC = 247 К методом Белова–Арротта и TC = 245 К, соответствующее пику температурной зависимости удельной намагниченности).
Рис. 3. Температурные зависимости намагничивания, вставка: температурная зависимость производной удельной намагниченности по температуре при μ0H = 0.05 Тл (а) и кривые Белова–Арротта для твердого раствора TbIn0.2Co1.8 (б)
Магнитокалорический эффект. Наиболее распространенным подходом к косвенному измерению МКЭ является использование изотерм удельной намагниченности, измеренных вблизи перехода [1].
На рис. 4а представлена температурная зависимость магнитокалорического эффекта – изменение магнитной части энтропии (–ΔS) для TbIn0.2Co1.8 при изменении внешнего магнитного поля от 0 до 1.8 Тл.
Рис. 4. Температурные зависимости изменения магнитной части энтропии ΔSmag для TbIn0.2Co1.8 вблизи температуры упорядочения, вставка: полевая зависимость –ΔSmag (a), и составов TbInxCo2-x (х = 0, 0.05, 0.1, 0.15, 0.2) при максимальном изменении магнитного поля до 1.8 Тл (б)
Расчеты выполняли с использованием соотношения Максвелла (1):
. (1)
Как показано на рис. 4а, для состава TbIn0.2Co1.8 вблизи температуры упорядочения 245 К изменения магнитной части энтропии принимают максимальные значения и составляют |–ΔSmag| = 1.75 Дж/кг∙К. Размытый пик в области 160 К может быть вызван, по-видимому, наличием второй фазы. Гистерезис полевых зависимостей изменения магнитной части энтропии вблизи температуры Кюри отсутствует, ΔSmag увеличивается практически линейно (вставка на рис. 4а). Для остальных исследованных составов температурные и полевые зависимости ΔSmag имеют аналогичный вид.
На рис. 4б показана зависимость ΔSmag от температуры для всех составов. Обнаружено, что в максимальном магнитном поле 1.8 Тл с ростом концентрации индия пиковые значения магнитной части энтропии уменьшаются, смещаясь в область более высоких температур, что согласуется с увеличением температуры Кюри. Максимальные значения изменения магнитной части энтропии при изменении магнитного поля до 1.8 Тл представлены в табл. 1.
Магнитострикция. В работе тензометрическим методом исследована магнитострикция в диапазоне температур 80–350 К во внешних магнитных полях до 1.2 Тл. Магнитное поле было ориентировано как параллельно, так и перпендикулярно направлению тензометрического измерения, что позволило регистрировать как продольную, так и поперечную магнитострикцию соответственно.
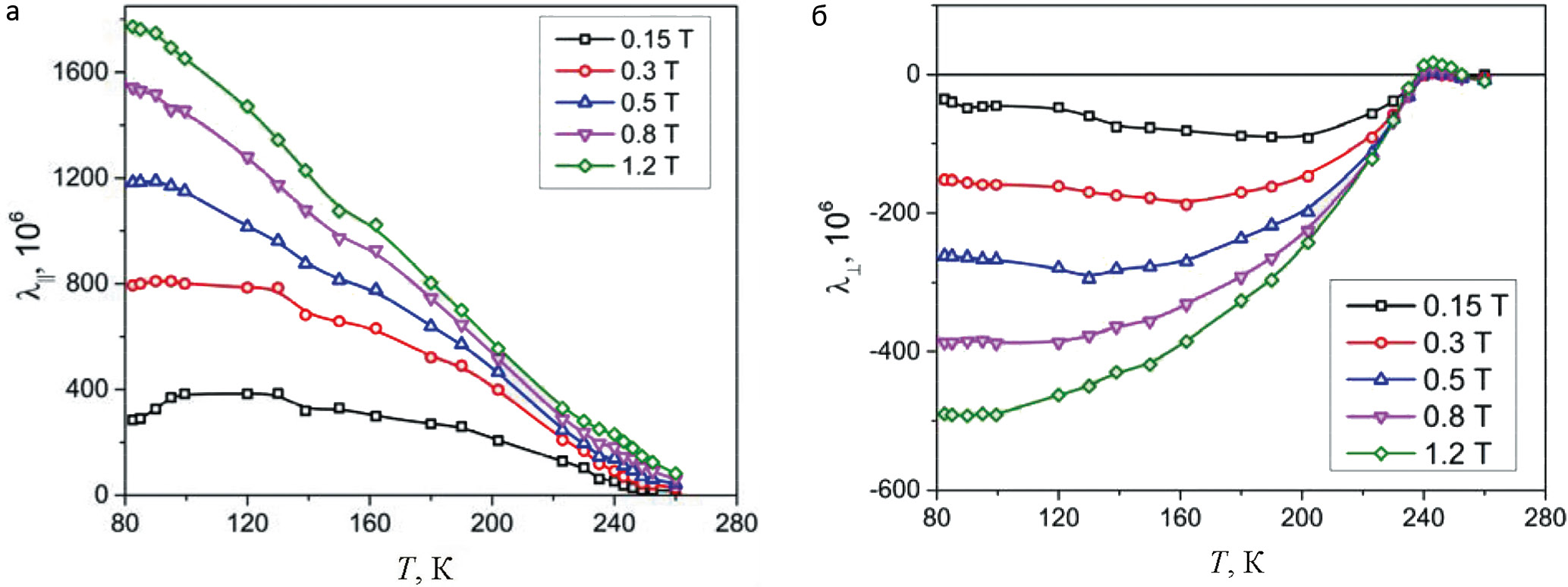
Получены температурные и полевые зависимости продольной и поперечной магнитострикции твердых растворов TbInxCo2-x (х = 0, 0.05, 0.1, 0.15, 0.2). На рис. 5 на примере состава TbIn0.15Co1.85 показаны температурные зависимости продольной (рис. 5а) и поперечной (рис. 5б) магнитострикции при внешнем магнитном поле 0.15 Тл, 0.3 Тл, 0.5 Тл, 0.8 Тл и 1.2 Тл.
Рис. 5. Температурные зависимости продольной (а) и поперечной (б) магнитострикции сплава TbIn0.15Co1.85
Видно, что значение продольной магнитострикции положительно, составляет 1770∙10-6 при 80 К во внешнем поле 1.2 Тл и уменьшается с ростом температуры. Поперечная магнитострикция отрицательна при низких температурах (–500∙10-6 при 1.2 Тл), с ростом температуры уменьшается по абсолютному значению и меняет знак при ТС=240 К, где наблюдается ее максимум.
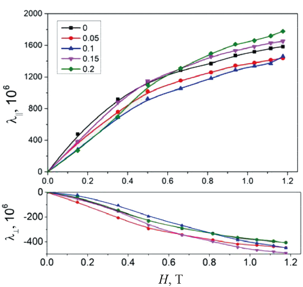
На рис. 6 показаны полевые зависимости продольной и поперечной магнитострикции составов TbInxCo2-x при 100 К. Видно, что как у исходного состава TbCo2, так и у всех замещенных, продольная магнитострикция при низких температурах положительна, а поперечная – отрицательна. В области низких температур частичное замещение кобальта индием незначительно влияет на магнитострикционные свойства, сохраняя их высокие значения. Однако заметим, что величины магнитного поля 1.2 Тл недостаточно для выхода кривых на насыщение.
Рис. 6. Полевые зависимости продольной и поперечной магнитострикции составов TbInxCo2-x (х = 0, 0.05, 0.1, 0.15, 0.2) при 100 К
Известно, что в составах RCo2 в области температуры Кюри кроме МКЭ наблюдается и магнитообъемный эффект [30]. Для оценки объемного изменения образца под действием магнитного поля удобно воспользоваться таким понятием, как объемная магнитострикция.
Объемную магнитострикцию определяли по соотношению:
. (2)
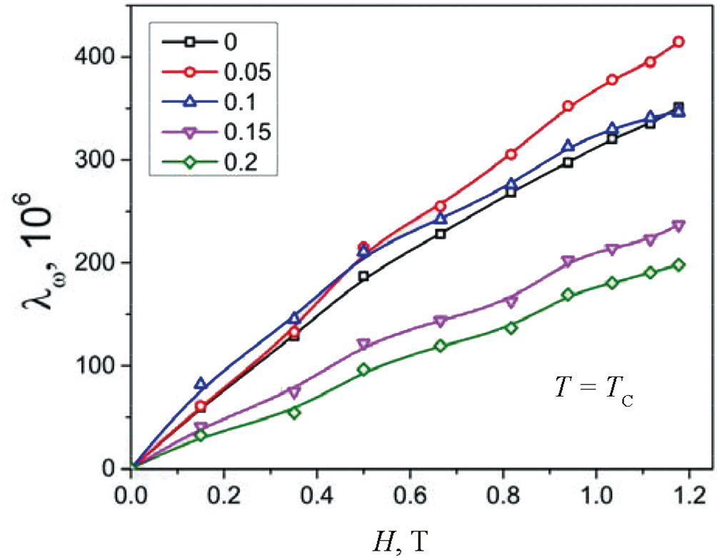
Полученные полевые зависимости объемной магнитострикции составов TbInxCo2-x (х = 0, 0.05, 0.1, 0.15, 0.2) при температуре Кюри приведены на рис. 7. Видно, что с ростом величины магнитного поля индуцированная полем объемная магнитострикция монотонно увеличивается для всех составов, не выходя на насыщение в поле 1.2 Тл.
Рис. 7. Полевые зависимости объемной магнитострикции составов TbInxCo2-x (х = 0, 0.05, 0.1, 0.15, 0.2) при температуре Кюри
Максимального значения в поле 1.2 Тл объемная магнитострикция достигает в составе с содержанием индия х = 0.05. С дальнейшим увеличением его содержания значения объемной магнитострикции снижаются.
На рис. 8 показаны температурные зависимости объемной магнитострикции в области температур Кюри для всех исследованных соединений. На этом рисунке также хорошо видно, что наибольшим значением объемной магнитострикции в максимальном магнитном поле 1.2 Тл в области температуры Кюри обладает состав TbIn0.05Co1.95.
Рис. 8. Температурные зависимости объемной магнитострикции составов TbInxCo2-x (х = 0, 0.05, 0.1, 0.15, 0.2) вблизи температуры Кюри
Если сравнить рис. 4б и рис. 8, то хорошо заметна корреляция между магнитокалорическим и магнитообъемным эффектами в этих составах в области температуры Кюри, наблюдаемая ранее для других составов [18]. Однако, в отличие от МКЭ, изменение объемной магнитострикции при частичном замещении кобальта индием не монотонно.
ВЫВОДЫ
Впервые получены твердые растворы TbInxCo2-x (х = 0, 0.5, 0.1, 0.15, 0.2). Показано, что все составы в качестве основной фазы имеют фазу Лавеса С15 с кубической структурой MgCu2, однако с увеличением содержания индия возрастает количество побочной фазы Tb11Co4In9, достигающей 20% для состава х = 0.2. Параметр решетки основной фазы изменяется немонотонно, демонстрируя максимум при х = 0.1, что связано с различием атомных радиусов кобальта, индия и тербия.
Исследованы магнитные, магнитокалорические и магнитострикционные свойства полученных составов. При увеличении содержания индия температура Кюри смещается в область более высоких температур (на 15 градусов при х = 0.2), при этом удельная намагниченность уменьшается.
В области температуры Кюри наблюдается магнитотепловой и магнитообъемный эффекты, ослабевающие с ростом содержания индия. Максимальные значения изменения магнитной части энтропии уменьшаются монотонно, от 2.9 до 1.8 Дж/Кг∙К при 1.8 Тл. Объемная магнитострикция при ТС для состава х = 0.05 увеличивается до 420∙10-6, а затем монотонно уменьшается. В области низких температур частичное замещение кобальта индием на магнитострикционные свойства влияет незначительно, сохраняя высокие значения.
Работа выполнена в рамках Государственного задания на проведение фундаментальных исследований № 075-00320-24-00. Работа А.В. Филимонова выполнена в рамках Государственного задания на проведение фундаментальных исследований FSEG-2023-0016.
Авторы данной работы заявляют, что у них нет конфликта интересов.
Об авторах
Д. А. Морозов
Институт металлургии и материаловедения им. А. А. Байкова РАН
Автор, ответственный за переписку.
Email: morozoww96@mail.ru
Россия, Москва
Г. А. Политова
Институт металлургии и материаловедения им. А. А. Байкова РАН; Санкт-Петербургский политехнический университет Петра Великого
Email: morozoww96@mail.ru
Россия, Москва; Санкт-Петербург
М. А. Ганин
Институт металлургии и материаловедения им. А. А. Байкова РАН
Email: morozoww96@mail.ru
Россия, Москва
М. Е. Политов
Московский государственный технический университет имени Н. Э. Баумана
Email: morozoww96@mail.ru
Россия, Москва
А. Б. Михайлова
Институт металлургии и материаловедения им. А. А. Байкова РАН
Email: morozoww96@mail.ru
Россия, Москва
А. В. Филимонов
Санкт-Петербургский политехнический университет Петра Великого
Email: morozoww96@mail.ru
Россия, Санкт-Петербург
Список литературы
- Tishin A.M., Spichkin Y.I. The magnetocaloric effect and its applications. Institute of Physics Publishing, Bristol and Philadelphia. 2003. 480 p.
- Gratz E., Markosyan A.S. Physical properties of RCo2 Laves phases // J. Phys. Condensed Matter. 2001. V. 13. P. 385–413.
- Gerasimov E.G., Inishev A.A., Terentev P.B., Kazantsev V.A., Mushnikov N.V. Magnetostriction and thermal expansion of nonstoichiometric TbCo2Mnx compounds // J. Magn. Magn. Mater. 2021. V. 523. P. 167628.
- Дубенко И.С., Звездин А.К., Лагутин А.С., Левитин Р.З., Маркосян А.С., Платонов В.В., Таценко О.М. Исследование метамагнитных переходов в зонной d подситеме интерметаллидов RCo2 в сверхсильных магнитных полях до 300 Тл // Письма в ЖЭТФ. 1996. Т. 64. Вып. 3. С. 188–192.
- Cwik J., Kolchugina N., Nenkov K. Effect of partial Ho-substitution on the magnetic and magnetocaloric properties of polycrystalline DyCo2-based solid solutions // J. Alloys Compounds. 2013. V. 560. Р. 72–79. http://dx.doi.org/10.1016/j.jallcom.2013.01.114
- Александрян В.В., Белов К.П., Левитин Р.З., Маркосян А.С., Снегирев В.В. Гигантское возрастание температуры Кюри редкоземельных интерметаллических соединений RCo2 при малых замещениях магнитного кобальта немагнитным алюминием // Письма ЖЭТФ. 1984. T. 40. C. 77.
- Nikitin S.A., Tskhadadze G.A., Ovchenkova I.A., Zhukova D.A., Ivanova T.I. The Magnetic Phase Transitions and Magnetocaloric Effect in the Ho(Co1-xAlx)2 and Tb(Co1-xAlx)2 Compounds // Solid State Phenomena. 2011. V. 168–169. P. 119–121. https://doi.org/10.4028/www.scientific.net/SSP.168-69.119
- Ouyang Z.W., Rao G.H., Yang H.F., Liu W.F., Liu G.Y., Feng X.M., Liang J.K. Structure and magnetic phase transition in R(Co1−xGax)2 (R=Nd, Gd, Tb, Dy) compounds // Physica B. 2004. V. 344. P. 436.
- Baran S., Tyvanchuk Yu.B., Szytuła A. Crystal structure and magnetic properties of R11Co4In9 (R=Tb, Dy, Ho and Er) compounds // Intermetallics. 2021. V. 130. P. 107065.
- Clark A.E. Magnetostrictive RFe2 intermetallic compounds // Handbook on the Physics and Chemistry of Rare Earths, ed. by K.A. Gschneidner Jr. and L. Eyring. Chapter 15. 1979. P. 231–258.
- Grössinger R., Sato Turtelli R., Mehmood N. Materials with high magnetostriction // IOP Conf. Ser.: Mater. Sci. Eng. 2014. V. 60. P. 012002. https://doi.org/10.1088/1757-899X/60/1/012002
- Belov K.P. Magnetostriction Phenomena and Their Technical Application. Moscow: Nauka, 1987. 159 p. [in Russian].
- Ren W.J., Zhang Z.D. Progress in bulk MgCu2-type rare-earth iron magnetostrictive compounds // Chin. Phys. B. 2013. V. 22 (7). P. 077507.
- Engdahl G. Physics of Giant Magnetostriction, in Electromagnetism // Handbook of Giant Magnetostrictive Materials, Ed.: G. Engdahl, Academic Press, San Diego. Chapter 1. 2000. P. 1–125. ISBN 9780122386404. https://doi.org/10.1016/B978-012238640-4/50017-6
- Tereshina I.S., Politova G.A., Tereshina E.A., Burkhanov G.S., Chistyakov O.D., Nikitin S.A. Magnetocaloric effect in (Tb,Dy,R)(Co,Fe)2 (R = Ho, Er) multicomponent compounds // J. Phys. Conf. Ser. 2011. V. 266. P. 012077. 2nd International Symposium on Advanced Magnetic Materials and Applications (ISAMMA), Sendai, Japan, Jul 12–16, 2010. https://doi.org/10.1088/1742-6596/266/1/012077
- Chzhan V.B., Tereshina I.S., Karpenkov A.Y., Tereshina-Chitrova E.A. Persistent values of magnetocaloric effect in the multicomponent Laves phase compounds with varied composition // Acta Materialia. 2018. V. 154. P. 303–310. https://doi.org/10.1016/j.actamat.2018.05.053
- Tereshina I., Politova G., Tereshina E., Nikitin S., Burkhanov G., Chistyakov O., Karpenkov A. Magnetocaloric and magnetoelastic effects in (Tb0.45Dy0.55)1-xErxCo2 multicomponent compounds // J. Phys.: Conf. Series, (ICM 2009). 2010. V. 200. P. 092012. https://doi.org/10.1088/1742-6596/ 200/9/092012
- Pecharsky V.K., Gschneidner K.A. Magnetocaloric effect from indirect measurements: Magnetization and heat capacity // J. Appl. Phys. 1999. V. 86(1). P. 565–575. https://doi.org/10.1063/1.370767
- Игошев П.А. Магнитокалорический эффект и фазовое расслоение: теория и перспективы // Физика металлов и металловедение. 2023. Т. 124. № 11. С. 1065–1073. https://doi.org/10.31857/ S0015323023601058. – EDN JTMSTQ
- Соколовский В.В., Загребин М.А., Бучельников В.Д., Марченков В.В. Современные магнитокалорические материалы: существующие проблемы и перспективы исследований // ФММ. 2023. Т. 124. № 11. С. 1019–1024. https://doi.org/10.31857/ S0015323023601629. – EDN HIMEEV
- Politova G.A., Tereshina I.S., Karpenkov A.Yu., Chzhan V.B., Cwik J. Magnetism, magnetocaloric and magnetostrictive effects in RCo2 – type (R = Tb, Dy, Ho) laves phase compounds // J. Magn. Magn. Mater. Volume 591, 2024, 171700, ISSN 0304–8853. https://doi.org/10.1016/j.jmmm.2023.171700
- Терешина И.С., Овченкова Ю.А., Политова Г.А., Панкратов Н.Ю. Материалы на основе RCo2 и RMnSi для твердотельного магнитного охлаждения // Изв. РАН. Сер. физическая. 2023. T. 87. № 3. C. 353–358. https://doi.org/10.31857/S0367676522700624, EDN: HFYNVW
- Tereshina I., Cwik J., Tereshina E., Politova G., Burkhanov G., Chzhan V., Ilyushin A., Miller M., Zaleski A., Nenkov K., Schultz L. Multifunctional phenomena in rare-earth intermetallic compounds with a Laves phase structure: Giant magnetostriction and magnetocaloric effect // IEEE Trans. Mag. 2014. V. 50 (11). P. 2504604, IEEE International Magnetics Conference (Intermag), Dresden, Germany, May 04–08, 2014. https://doi.org/10.1109/TMAG.2014.2324636
- Politova G.A., Tereshina I.S., Cwik J. Multifunctional phenomena in Tb-Dy-Gd(Ho)-Co(Al) compounds with a Laves phase structure: Magnetostriction and magnetocaloric effect // J. Alloys Comp. 2020. V. 843. P. 155887. https://doi.org/10.1016/j.jallcom.2020.155887
- Tereshina I., Politova G., Tereshina E., Cwik J., Nikitin S., Chistyakov O., Karpenkov A., Karpenkov D., Palewski T. Magnetostriction in (Tb0.45Dy0.55)1-𝑥Er𝑥Co2 (𝑥 = 0.1, 0.2): high-field investigation // J. Phys.: Conf. Series. 2011. V. 303. P. 012024. https://doi.org/10.1088/1742-6596/ 303/1/012024
- Соколовский В.В., Мирошкина О.Н., Бучельников В.Д. Обзор современных теоретических методов исследования магнитокалорических материалов // ФММ. 2022. Т. 123. № 4. С. 344–402. https://doi.org/10.31857/S0015323022040118. – EDN JSTDQR
- Соколовский В.В., Мирошкина О.Н., Бучельников В.Д., Марченков В.В. Магнитокалорический эффект в металлах и сплавах // ФММ. 2022. Т. 123. № 4. С. 339–343. https://doi.org/10.31857/S0015323022040106. EDN YAZZZB
- Tereshina I.S., Chzhan V.B., Tereshina E.A., Khmelevskyi S., Burkhanov G.S., Ilyushin A.S., Paukov M.A., Havela L., Karpenkov A.Yu., Cwik J., Koshkid’ko Yu.S., Miller M., Nenkov K., Schultz L. Magnetostructural phase transitions and magnetocaloric effect in Tb–Dy–Ho–Co–Al alloys with a Laves phase structure // J. Appl. Phys. 2016. V. 120. P. 013901(10). https://doi.org/10.1063/1.4955047
- Панкратов Н.Ю., Терешина И.С., Никитин С.А. Магнитокалорический эффект в редкоземельных магнетиках // Физика металлов и металловедение. 2023. Т. 124. № 11. С. 1093–1101. https://doi.org/10.31857/S0015323023601095. EDN FUAHZM
- Chzhan V.B., Tereshina I.S., Karpenkov A.Y., Tereshina-Chitrova E.A. Persistent values of magnetocaloric effect in the multicomponent Laves phase compounds with varied composition // Acta Mater. 2018. V. 154. P. 303–310.
Дополнительные файлы










