Особенности процессов намагничивания в закаленном состоянии лент аморфного сплава на основе кобальта
- Авторы: Скулкина Н.А.1, Некрасов Е.С.1, Еремин Ю.Д.1, Кузнецов Н.В.1
-
Учреждения:
- Уральский федеральный университет
- Выпуск: Том 125, № 2 (2024)
- Страницы: 144-152
- Раздел: ЭЛЕКТРИЧЕСКИЕ И МАГНИТНЫЕ СВОЙСТВА
- URL: https://ogarev-online.ru/0015-3230/article/view/264398
- DOI: https://doi.org/10.31857/S0015323024020042
- EDN: https://elibrary.ru/YPMWRX
- ID: 264398
Цитировать
Полный текст
Аннотация
Исследования аморфного магнитомягкого сплава на основе кобальта АМАГ-172 (Co–Ni–Fe–Cr–Mn–Si–B) разных производителей показали, что в закаленном состоянии неоднородность магнитных характеристик по ширине ленты производства МСТАТОР (Боровичи) существенно ниже. Однако имеет место неоднородность ленты по толщине, что способствует формированию бимодальной полевой зависимости магнитной проницаемости. Ступенчатая форма начальных участков кривых намагничивания в области первого максимума магнитной проницаемости и скачкообразный характер процессов намагничивания в области слабых полей позволяют заключить, что в образцах ленты производства МСТАТОР формирование первого максимума полевой зависимости связано с независимым перемагничиванием поверхностного слоя. В формировании второго максимума участвует основной слой ленты. В образцах производства НИИМЭТ сглаженная форма ступенчатого начального участка кривой намагничивания соответствует постепенному вовлечению в процессы намагничивания и перемагничивания основного слоя ленты. Анализ петель гистерезиса показывает, что полевой сдвиг связан с межслойным взаимодействием поверхности и объема ленты, а формирование асимметричных петель гистерезиса происходит с участием второго слоя при постепенном вовлечении его в процессы намагничивания и перемагничивания.
Полный текст
ВВЕДЕНИЕ
В закаленном состоянии ленты быстрозакаленных сплавов обладают высоким уровнем неоднородных внутренних напряжений и, вследствие этого, неоднородными магнитными характеристиками по длине, ширине и толщине ленты [1, 2]. Исследование магнитных характеристик в исходном состоянии ленты является важным, поскольку это базовое состояние для формирования уровня магнитных свойств в результате термообработки. Игнорирование этого фактора не позволяет получить состояние с однородными характеристиками после отжига [1].
Ранее проведенные исследования ленты аморфного магнитомягкого сплава на основе кобальта АМАГ-172 (Co–Ni–Fe–Cr–Mn–Si–B) производства НИИМЭТ (Калуга) показали наличие существенной неоднородности магнитных характеристик в закаленном состоянии [1]. По длине ленты наблюдаются противофазные синусоидальные изменения максимальной магнитной проницаемости (μmax) и объема доменов с ортогональной намагниченностью (Vорт). Период этих изменений коррелирует с размерами охлаждающего диска стандартных установок по производству ленты. Для двух серий образцов, полученных разрезанием ленты пополам, неоднородность магнитных характеристик по ширине ленты также весьма существенна. На участках ленты, соответствующих максимальной магнитной проницаемости и минимальным значениям объема доменов с ортогональной намагниченностью, в области смещения 180-градусных доменных границ обнаружен бимодальный вид полевой зависимости магнитной проницаемости и полевой сдвиг петель гистерезиса. Это служит основанием для вывода о неоднородности магнитных характеристик по толщине ленты [1, 2]. Полевой сдвиг и асимметрия формы петель гистерезиса находят объяснение в рамках формирования однонаправленной обменной анизотропии на поверхности раздела ферромагнитной и антиферромагнитной фаз компонент планарной намагниченности, ориентированных вдоль оси ленты [3–7]. Наблюдаемое исчезновение полевого сдвига и асимметрии петель гистерезиса по ширине ленты может быть связано с уменьшением толщины оксидного антиферромагнитного слоя CoO. Градиенты температуры способствуют формированию различной концентрации и глубины проникновения внедренных в поверхность ленты атомов кислорода и водорода при изготовлении ленты в результате взаимодействия с атмосферным паром [2, 8, 9].
На основании результатов предыдущих исследований можно заключить, что неоднородность внутренних напряжений в закаленном состоянии ленты из-за различной скорости теплоотвода при ее изготовлении является причиной соответствующей неоднородности процессов намагничивания, а, значит, и магнитных характеристик. Важность проводимых исследований обусловлена также и тем, что сплав АМАГ-172 используется в изделиях и в закаленном состоянии, поскольку обладает высокими значениями максимальной магнитной проницаемости [10].
Термические обработки (ТО) являются стандартным способом улучшения магнитных свойств лент аморфных магнитомягких сплавов. При этом важную роль играют зависящие от параметров термообработки процессы структурной релаксации и релаксации внутренних напряжений [11–14]. Однако неоднородность внутренних напряжений не способствует формированию состояния ленты с однородными оптимальными характеристиками после отжига [1, 15–18].
Заметим, что результаты систематического исследования, представленные в работах [1, 2], позволили выявить влияние технологического процесса на неоднородность магнитных характеристик. Тем не менее эти исследования не являются достаточно полными, поскольку касаются только одного производителя. Поэтому в настоящей работе представлены также результаты исследования неоднородности процессов намагничивания в закаленном состоянии ленты аморфного магнитомягкого сплава аналогичного состава (АМАГ-172 с околонулевой отрицательной константой магнитострикции) производства МСТАТОР (Боровичи).
МЕТОДИКА ЭКСПЕРИМЕНТА
Исследования проводили на образцах в форме полос, вырезанных из промышленных лент: а) шириной 20 мм производства НИИМЭТ (Калуга), размером 110×10×0.022 мм и б) шириной 30 мм производства МСТАТОР (Боровичи), размером 110×10×0.017 мм. Кривые намагничивания и петли гистерезиса измеряли индукционным методом с погрешностью измерения магнитной индукции и поля, не превышающей 2 %, магнитной проницаемости – 3 %. Объем доменов с ортогональной намагниченностью определяли по корреляционной зависимости между максимальными значениями остаточной индукции и относительным объемом доменов с ортогональной намагниченностью, полученной с помощью мессбауровских исследований [18, 19]. Распределение намагниченности в плоскости ленты: относительные объемы доменов с планарной намагниченностью, ориентированной вдоль (V180) и поперек оси ленты (V90) определяли с использованием зависимости остаточной индукции (Br) от максимальной (Bm), измеренной по частным петлям гистерезиса. Относительная погрешность определения распределения намагниченности не превышала 5 % [9, 11].
РЕЗУЛЬТАТЫ И ОБСУЖДЕНИЕ
Для проведения исследований сформированы серии образцов обеих лент исследуемого сплава. Внутри каждой серии находилось несколько образцов, изготовленных разрезанием одного и того же участка ленты по ширине. Серии образцов производства НИИМЭТ состояли из двух, а МСТАТОР – из трех образцов. Образцы, анализ результатов которых представлен в настоящей работе, пронумерованы следующим образом. Первые цифры серий 1 и 2 соответствуют производителям ленты МСТАТОР и НИИМЕТ соответственно. Вторые цифры – номерам образцов одного и того же участка ленты.
В табл. 1 представлены значения магнитных характеристик серии образцов производства НИИМЭТ (Калуга), а на рис. 1 зависимости остаточной индукции от максимальной и полевые зависимости магнитной проницаемости.
Таблица 1. Магнитные характеристики ленты аморфного сплава Co–Ni–Fe–Cr–Mn–Si–B производства НИИМЕТ в закаленном состоянии
Образцы | μmax | Нс, А/м | Vорт, % | η = V180 / V90 |
2.1 | 60000 | 1.27 | 30.0 | 1.76 |
2.2 | 177000 | 0.96 | 10.0 | 2.06 |
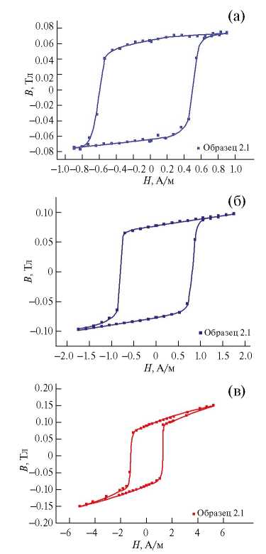
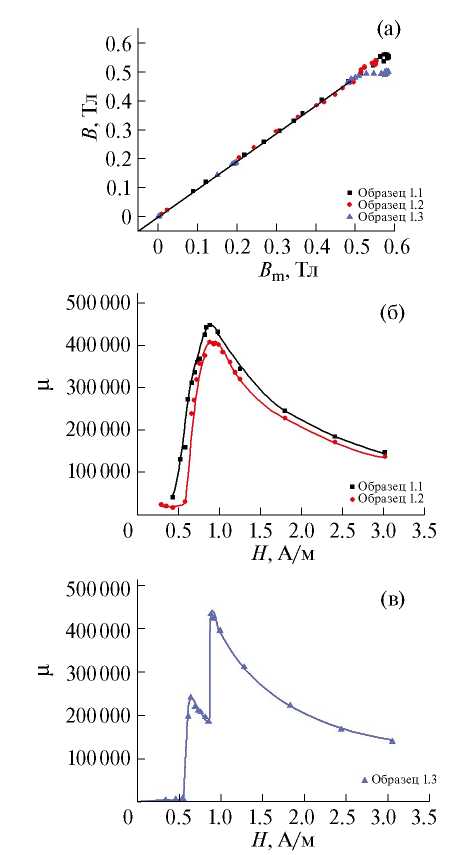
Рис. 1. Зависимости остаточной индукции от максимальной (а) и полевые зависимости магнитной проницаемости (б) образцов 2.1 и 2.2.
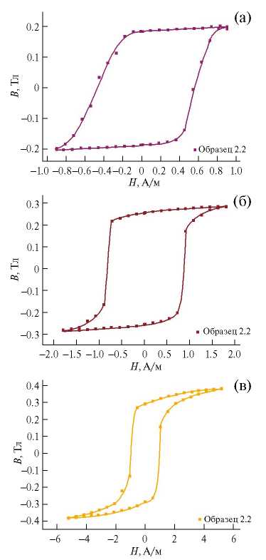
Видно, что для образцов этой серии наблюдается существенная неоднородность магнитных характеристик по ширине ленты. В первую очередь это касается распределения намагниченности как в плоскости ленты, которое характеризуется остротой магнитной текстуры η= V180/ V90, так и объемом доменов с намагниченностью, перпендикулярной плоскости ленты. Неоднородность распределения намагниченности способствует формированию неоднородности максимальной магнитной проницаемости и коэрцитивной силы. Для одного из образцов этой серии, образца 2.2, имеет место бимодальная полевая зависимость магнитной проницаемости, что свидетельствует в пользу неоднородности ленты по толщине. Полученные результаты подтверждают результаты, представленные в работах [1, 2].
Исследование магнитных характеристик серии образцов ленты аналогичного состава производства МСТАТОР (Боровичи) показало, что максимальная магнитная проницаемость в закаленном состоянии существенно выше (рис. 2, табл. 2). Для крайних образцов эти значения равны 450 000 и 430 000, для образца, соответствующего среднему участку ленты, несколько ниже: 410 000. То есть лента меньшей толщины по ширине более однородна.
Таблица 2. Магнитные характеристики ленты аморфного сплава Co–Ni–Fe–Cr–Mn–Si–B производства МСТАТОР в закаленном состоянии
Образцы | μmax | Нс, А/м | Vорт, % | V180, % |
1.1 | 450000 | 0.60 | 1.50 | 98.5 |
1.2 | 410000 | 0.60 | 2.50 | 97.5 |
1.3 | 430000 | 0.60 | 3.50 | 96.5 |
Рис. 2. Зависимости остаточной индукции от максимальной (а) и полевые зависимости магнитной проницаемости образцов 1.1, 1.2 (б) и 1.3 (в).
Обращает на себя внимание также характер зависимости остаточной индукции от максимальной, измеренной по частным петлям гистерезиса. Практически во всем интервале индукций она линейна, что соответствует процессам перемагничивания, которые осуществляются смещением 180-градусных доменных границ. На долю процессов вращения намагниченности приходится совсем небольшая часть. Анализ горизонтальных участков показывает, что относительный объем доменов с ортогональной намагниченностью увеличивается по ширине ленты от одного края до другого от 1.5 до 3.5 %. Полевые зависимости магнитной проницаемости крайнего и среднего образцов 1.1 и 1.2 не имеют особенностей, в то время как для образца 1.3 наблюдается бимодальная зависимость μ(Н). Также не имеют особенностей и начальные участки кривых намагничивания образцов 1.1 и 1.2 (рис. 3). Тем не менее для образца 1.3 наблюдается ступенчатая форма начального участка кривой намагничивания: в области полей, соответствующих первому максимуму на полевой зависимости магнитной проницаемости. При индукции 0.2 Тл присутствует горизонтальный участок. Следовательно, на этом участке увеличение магнитного поля не приводит к изменению магнитной индукции, вследствие чего имеет место уменьшение магнитной проницаемости в этом интервале полей. Это свидетельствует о неоднородности ленты по толщине: наличии в образце двух слоев с планарной намагниченностью, ориентированной вдоль оси ленты. Например, такому случаю соответствует модель доменной структуры с противоположной ориентацией намагниченности в слоях и возможным замыканием магнитного потока на торцах полос. В поле до 0.5 А/м наблюдается весьма слабое увеличение магнитной индукции до 4 мТл, что может быть связано со стабилизацией доменных границ в результате межслойного взаимодействия. В поле несколько большем 0.5 А/м процессы намагничивания осуществляются скачкообразным движением 180-градусных доменных границ первого слоя. Процессы намагничивания с участием второго слоя начинаются в поле около 0.7 А/м после окончания процессов смещения доменных границ первого слоя, и также носят скачкообразный характер. При этом наблюдается резкое увеличение магнитной проницаемости и достижение ее второго максимума. В результате смещения доменных границ первого слоя ленты достигается индукция 0.2 Тл, что составляет третью часть от индукции насыщения. Следовательно, можно считать, что и толщина первого поверхностного слоя в этом месте ленты примерно равна 1/3 её толщины, и этот слой относится к свободной поверхности ленты. Это может означать, что на такую глубину проникают напряжения, индуцируемые внедренными в поверхностный слой ленты атомами водорода и кислорода при её взаимодействии с атмосферным паром в процессе изготовления. Например, присутствие значительно окисленного поверхностного слоя глубиной до 150 нм в исходном состоянии быстрозакаленой ленты было обнаружено в работе [9].
Рис. 3. Начальные участки кривых намагничивания образцов 1.1, 1.2 (а) и 1.3 (б).
Анализ формы петли гистерезиса при значениях магнитной индукции и поля, соответствующих области первого максимума магнитной проницаемости, показывает, что в этом случае наблюдается небольшой полевой сдвиг петли гистерезиса (рис. 4а). Петли гистерезиса, измеренные в области магнитного поля, где процессы намагничивания осуществляются при участии обоих слоев ленты, симметричны и обладают высокой прямоугольностью с коэффициентом прямоугольности 0.98 (рис. 4б).
Рис. 4. Петли гистерезиса образца 1.3, измеренные в области поля первого максимума магнитной проницаемости (а) и большем поле (б).
Анализ начального участка кривой намагничивания образца 2.2 (рис. 5а) с бимодальной полевой зависимостью магнитной проницаемости (рис. 1б) показывает, что и в этом случае имеет место ступенчатый вид кривой, но с плавным перегибом в той же области магнитной индукции, что и для образца 1.3. На рис. 5б и 6б представлены начальные участки кривых намагничивания образцов 2 и 2.4 с бимодальной полевой зависимостью магнитной проницаемости, вырезанных с того же края ленты, что и образец 2.2. Полевая зависимость магнитной проницаемости и петли гистерезиса для образца 2 представлены в работе [2]. Образец под номером 2 относится к другой серии образцов, и соответствует другому участку длины ленты производства НИИМЕТ с бимодальной полевой зависимостью магнитной проницаемости.
Рис. 5. Начальные участки кривых намагничивания образцов 2.1 и 2.2 второй серии и образца 2, бимодальная зависимость μ(H) которого представлена в работе [2].
Видно, что вид начальных участков кривых намагничивания аналогичен. Некоторое отличие имеет начальный участок образца 2.4. Небольшой горизонтальный участок при индукции около 0.2 Тл, соответствующий резкому возрастанию магнитной проницаемости в области первого максимума, переходит в плавную линию. Далее имеет место более резкое возрастание магнитной индукции вплоть до достижения поля второго максимума на полевой зависимости магнитной проницаемости (рис. 6а). Следовательно, в образцах этой части ленты не наблюдается процессов намагничивания при последовательном участии слоев. Намагничивание начинается с вовлечения в процесс первого слоя, затем при увеличении поля вовлекается второй слой. Процесс смещения доменных границ заканчивается вкладом обоих слоев без разделения их участия в процессе намагничивания. Тем не менее замечателен тот факт, что вклад первого слоя в процессы намагничивания и в этом случае заканчивается при достижении магнитной индукции значения около 0.2 Тл, как и для образца 1.3 ленты производства МСТАТОР.
Рис. 6. Полевая зависимость магнитной проницаемости (а) и начальный участок кривой намагничивания (б) образца 2.4.
Аналогично образцу 1.3 на начальном участке кривой намагничивания в образцах 2 и 2.4 наблюдается слабое изменение магнитной индукции в силу тех же причин. Отличительной особенностью второго (основного) слоя образцов с бимодальной полевой зависимостью магнитной проницаемости является наличие доменов с планарной намагниченностью, ориентированной не только вдоль, но и поперек оси ленты, и доменов с ортогональной намагниченностью (см. рис. 1а, табл. 1). В этом случае они также принимают участие в процессе намагничивания. Аналогичные выводы получены в работах [20, 21] по наблюдению поверхностной доменной структуры в закаленном состоянии ленты на основе кобальта с околонулевой константой магнитострикции. Они касаются участия в процессе поверхностного намагничивания 180-градусных границ доменов с планарной намагниченностью, ориентированной вдоль оси ленты, с преобладанием в процессе объемного намагничивания обратимого вращения намагниченности.
Петли гистерезиса образцов 2.1 и 2.2, соответствующие различным процессам перемагничивания, показаны на рис. 7 и 8. Из рис. 7а видно, что для образца 2.2 имеет место асимметричная смещенная петля гистерезиса, вершина которой соответствует значению поля первого максимума на полевой зависимости магнитной проницаемости. Значения коэрцитивных полей составляют 0.47 и 0.56 А/м и различаются на 24 %, что также связано с неоднослойностью ленты по толщине. Увеличение поля до значения, соответствующего второму максимуму магнитной проницаемости, устраняет асимметрию петли и ее полевой сдвиг (рис. 7б). В этом случае в процессах намагничивания и перемагничивания участвуют оба слоя ленты. При этом коэрцитивная сила несколько повышается и достигает 0.84 А/м. При дальнейшем повышении поля процессы намагничивания и перемагничивания осуществляются с участием смещения 90-градусных доменных границ. При этом наблюдаются стандартные петли гистерезиса (рис. 7в), а коэрцитивная сила увеличивается до 0.86 А/м. Перемагничивание образца с участием обратимых процессов вращения намагниченности не приводит к росту коэрцитивной силы [2]. Аналогичные петли гистерезиса для второй части ленты (образец 2.1) показаны на рис. 8. Для этой части ленты не наблюдается бимодальная полевая зависимость магнитной проницаемости (см. рис. 1а). Тем не менее в интервале полей, соответствующих первому максимуму на аналогичной зависимости для образца 2.2, имеет место постоянство магнитной проницаемости. Петля гистерезиса, измеренная в области постоянства магнитной проницаемости, представлена на рис. 8а. Видно, что в этом случае тоже имеет место полевой сдвиг петли гистерезиса со значениями коэрцитивных полей 0.60 и 0.50 А/м и различием между ними в 20 %. И в этом случае полевой сдвиг петли гистерезиса может быть связан с межслойным взаимодействием поверхностного слоя меньшей толщины и объема ленты. Отличительной особенностью является заметное отсутствие асимметрии петли гистерезиса. Сравнение петель гистерезиса обеих частей ленты, измеренных в одной области магнитного поля, позволяет заключить, что полевой сдвиг петель гистерезиса связан с межслойным взаимодействием поверхности и объема ленты, а формированию асимметричных петель гистерезиса способствует последовательный вклад слоев в процессы намагничивания и перемагничивания. Этому свидетельствует также сравнение вида петель гистерезиса образцов обеих частей ленты, измеренных в поле, соответствующем максиму магнитной проницаемости образца 2.1 и второму максимуму образца 2.2. В обоих случаях отсутствует полевой сдвиг петель гистерезиса с близкими значениями коэрцитивной силы: 0.84 и 0.81 А/м для образцов 2.2 и 2.1 соответственно. Отличие заключается в значениях максимальной индукции, соответствующей вершине петли гистерезиса, и меньшей прямоугольности петли гистерезиса образца 2.1 (рис. 8б).
Рис. 7. Петли гистерезиса образца 2.2, измеренные в области поля (а) первого, (б) второго максимума магнитной проницаемости и (в) смещения 90-градусных доменных границ.
Рис. 8. Петли гистерезиса образца 2.1, измеренные в области постоянства (а), максимума (б) магнитной проницаемости и (в) смещения 90-градусных доменных границ.
Петля гистерезиса образца 2.1, измеренная в области смешения 90-градусных доменных границ, также не имеет особенностей, ее форма отличается меньшей прямоугольностью и большей коэрцитивной силой: 1.27 А/м (рис. 8в).
ЗАКЛЮЧЕНИЕ
Исследования аморфного магнитомягкого сплава на основе кобальта АМАГ-172 (Co–Ni–Fe–Cr–Mn–Si–B) показали, что неоднородность магнитных свойств в лентах двух разных производителей различна. Это подтверждает выводы предыдущих работ [1, 2] о влиянии технологических условий производства ленты на неоднородность распределения намагниченности и магнитные характеристики. В закаленном состоянии неоднородность максимальной магнитной проницаемости по ширине ленты производства МСТАТОР (Боровичи) существенно ниже. Это связано с более однородным распределением намагниченности в ленте, следовательно, и уровня внутренних напряжений. Тем не менее, аналогично ленте производства НИИМЭТ (Калуга), имеет место неоднородность ленты по толщине, которая способствует формированию бимодальной полевой зависимости магнитной проницаемости. Это может быть следствием неоднородной концентрации по ширине ленты внедренных в ее поверхность атомов водорода и кислорода при взаимодействии с атмосферным паром и наличии градиентов температуры в процессе изготовления.
Анализ зависимостей остаточной индукции от максимальной представленных в работе образцов ленты производства МСТАТОР показал, что практически вся намагниченность в ленте ориентирована вдоль ее оси. Следовательно, эти образцы можно использовать в качестве модельных для выявления особенностей процессов намагничивания в этих материалах. Подробное изучение начальных участков кривых намагничивания обнаружило наличие горизонтальной ступеньки в области первого максимума магнитной проницаемости. С учетом скачкообразного характера процессов намагничивания в области поля, соответствующего максимумам магнитной проницаемости, можно заключить, что формирование первого максимума полевой зависимости связано в этом случае с независимым перемагничиванием поверхностного слоя. В формировании второго максимума участвует основной слой ленты. В образцах ленты с бимодальной полевой зависимостью магнитной проницаемости производства НИИМЭТ ступенчатый начальный участок кривой намагничивания имеет сглаженную форму, что соответствует постепенному вовлечению в процессы намагничивания и перемагничивания основного слоя ленты.
Сравнение петель гистерезиса обеих частей ленты, измеренных в одной области магнитного поля, позволяет заключить, что полевой сдвиг петель гистерезиса связан с межслойным взаимодействием поверхности и объема ленты. Формирование асимметричных петель гистерезиса происходит с участием второго слоя при постепенном вовлечении его в процессы намагничивания и перемагничивания. Работа выполнена при частичной финансовой поддержке гранта Министерства науки и высшего образования Российской Федерации FEUZ–2023–0020.
Авторы данной работы заявляют, что у них нет конфликта интересов.
Об авторах
Н. А. Скулкина
Уральский федеральный университет
Автор, ответственный за переписку.
Email: nadezhda-skulkina@yandex.ru
Россия, ул. Мира, 19, Екатеринбург, 620002
Е. С. Некрасов
Уральский федеральный университет
Email: nadezhda-skulkina@yandex.ru
Россия, ул. Мира, 19, Екатеринбург, 620002
Ю. Д. Еремин
Уральский федеральный университет
Email: nadezhda-skulkina@yandex.ru
Россия, ул. Мира, 19, Екатеринбург, 620002
Н. В. Кузнецов
Уральский федеральный университет
Email: nadezhda-skulkina@yandex.ru
Россия, ул. Мира, 19, Екатеринбург, 620002
Список литературы
- Скулкина Н.А., Некрасов Е.С., Денисов Н.Д., Кузнецов П.А., Мазеева А.К. Неоднородность магнитных характеристик аморфного сплава на основе кобальта в закаленном состоянии // ФММ. 2021. Т. 122. № 11. C.1135–1141. doi: 10.31857/S0015323021110140
- Скулкина Н.А., Некрасов Е.С. Неоднородность процессов намагничивания в закаленном состоянии ленты аморфного сплава на основе кобальта // ФММ. 2023. Т. 124. № 8. C. 703–709. doi: 10.31857/S0015323021110140
- Яминский И.В., Тишин А.М. Магнитная силовая микроскопия поверхности // Успехи химии. 1999. Т. 68. № 3. C. 187–193.
- Kools J.C.S. Exchange-Biased Spin-Valves for Magnetic Storage // IEEE Trans. Magn. 1996. V. 4(32). P. 3165–3184.
- Dan Dahlberg E., Miller B., Hill B., Jonsson B.J., Strom V., Rao K.V., Nogues J., Schuller I.K. Measurements of the ferromagnetic/antiferromagnetic interfacial exchange energy in CО/CoO and Fe/FeF2//J. Appl. Phys. 1998. V. 83. P. 6893.
- Berkowitz A.E., Takano K. Exchange anisotropy // J. Magn. Magn. Mat. 1999. V. 200. P. 552–570.
- Чернышова Т.А. Магнитные и магниторезистивные свойства спиновых клапанов с синтетическим ферримагнетиком и микрообъектов на их основе / Дис. … канд. физ.-мат. наук: 01.04.11.Екатеринбург: Институт физики металлов имени М.Н. Михеева УрО РАН, 2018. 149 с.
- Flanders P.J., Liebermann H.H., Graham C.D. Changes in curie temperature, physical dimensions, and magnetic anisotropy during annealing of amorphous magnetic alloys // IEEE Trans. Magn. 1977. V. 13. № 5. P. 1541–1543.
- Bulavin L.A., Karbivskyy V., Artemyuk V., Karbivska L. Relaxation and vitrification processes of disordered iron-based systems// Springer Proceed. in Phys. 2018. V. 197. P. 331–372. https://mstator.ru/ru
- Dai J., Wang Y.G., Yang L., Xia G.T., Zeng Q.S., Lou H.B. Structural aspects of magnetic softening in Fe-based metallic glass during annealing //Scr. Mater. 2017. V. 127. P. 88–91.
- Орлова Н.Н. Влияние механических напряжений на структуру, фазовые превращения и свойства аморфных сплавов / Дис. … канд. физ.-мат. наук: 01.04.07. Черноголовка: Институт физики твердого тела РАН, 2014. 133 с.
- Evenson Z., Koschine T., Wei S., Gross O., Bednarcik J., Gallino I., Kruzic J.J., Rätzke K., Faupel F., Busch R. The effect of low-temperature structural relaxation on free volume and chemical short-range ordering in a Au49Cu26.9Si16.3Ag5.5Pd2.3 bulk metallic glass // Scr. Mater. 2015. V. 103. P. 14–17.
- Nagel C., Rätzke K, Schmidtke E., Wolff J. Free-volume changes in the bulk metallic glass Zr46.7Ti 8.3Cu7.5Ni10B27.5 and the undercooled liquid // Рhysical review B. 1998. V. 57. P. 10224.
- Скулкина Н.А., Иванов О.А., Павлова И.О., Минина О.А. Длительность изотермической выдержки во время термообработки на воздухе и магнитные свойства лент аморфных магнитомягких сплавов на основе железа // ФММ. 2011. Т. 112. № 6. C. 613–619.
- Скулкина Н.А., Иванов О.А., Павлова И.О., Минина О.А. Влияние параметров термообработки на магнитные свойства и распределение намагниченности в лентах аморфных магнитомягких сплавов на основе железа // ФММ. 2013. Т. 114. № 5. С. 411–418.
- Скулкина Н.А., Иванов О.А., Шубина Л.Н., Блинова О.В. Распределение намагниченности в исходном состоянии ленты аморфного магнитомягкого сплава и эффективность термической обработки // ФММ. 2016. Т. 117. № 11. C. 1121–1129. DOI:0.7868/S0015323016110127
- Скулкина Н.А. Распределение намагниченности и магнитные свойства кристаллических, аморфных и нанокристаллических магнитомягких материалов / Дис. ... д-ра. физ.-мат. наук: 01.04.11. Екатеринбург: Уральский государтвенный университет, 2008. 340 c.
- Скулкина Н.А., Иванов О.А., Мазеева А.К., Кузнецов П.А., Степанова Е.А., Блинова О.В., Михалицына Е.А., Денисов Н.Д., Чекис В.И. Влияние полимерного покрытия и прессующего давления на магнитные свойства аморфных сплавов на основе кобальта // ФММ. 2017. Т. 118. № 12. C. 1248–1256. doi: 10.7868/S0015323017120026
- Dong X.Z., Gröger B., Kronmüller H. Annealing effect of domain patterns of thel nearly non‐magnetostrictive amorphous alloy Co58Ni10Fe5Si11B16 //Appl. Phys. A 1982. V. 28. P. 103–107.
- Lopatina E., Soldatov I., Budinsky V., Marsiliusc M., Schultz L., Herzer G., Schäfer R. Surface crystallization and magnetic properties of Fe84.3Cu0.7Si4B8P3 soft magnetic ribbons //Acta Mater. 2015. V. 96. P. 10–17. https://doi.org/10.1016/j.actamat.2015.05.051Get rights and content
Дополнительные файлы










