Связь магнетизма сплавов 3d-металлов с электронной структурой в теории Стонера и в ДТСФ
- Авторы: Мельников Н.Б.1, Гуленко А.С.1, Резер Б.И.2
-
Учреждения:
- Московский государственный университет им. М.В. Ломоносова
- Институт физики металлов УрО РАН
- Выпуск: Том 125, № 1 (2024)
- Страницы: 56-61
- Раздел: ЭЛЕКТРИЧЕСКИЕ И МАГНИТНЫЕ СВОЙСТВА
- URL: https://ogarev-online.ru/0015-3230/article/view/259713
- DOI: https://doi.org/10.31857/S0015323024010085
- EDN: https://elibrary.ru/ZQRSXA
- ID: 259713
Цитировать
Полный текст
Аннотация
Исследуется зависимость магнитных свойств: температуры Кюри, среднего и локального магнитных моментов – от типа кристаллической решетки и среднего числа d-электронов на атом. Проблема рассматривается в двух приближениях: без учета спиновых флуктуаций, в теории среднего поля Стонера, и с учетом спиновых флуктуаций, в динамической теории спиновых флуктуаций (ДТСФ). В ДТСФ получен аналог кривой Слэтера-Полинга для среднего магнитного момента при конечных температурах. Численные результаты в ДТСФ находятся в качественном согласии с экспериментом: магнитной фазовой диаграммой и зависимостью магнитного момента от концентрации в ферромагнитных сплавах.
Ключевые слова
Полный текст
1. ВВЕДЕНИЕ
Анализ взаимосвязи электронной структуры и магнитных свойств 3d-металлов при конечных температурах остается важной проблемой в теории и приложениях и имеет большое значение при изучении магнитных свойств сплавов (см., напр., [1–3]).
В большинстве первопринципных расчетов в металлах при конечных температурах нелокальными спиновыми корреляциями либо пренебрегают (см., напр., [4–6]), либо описывают их с помощью адиабатической спиновой динамики и эффективных гамильтонианов с классическими спинами (см., напр., [7, 8]). Одновременный учет квантового характера и нелокальности спиновых флуктуаций реализован пока лишь в динамической теории спиновых флуктуаций (ДТСФ) [9, 10]. Использование ДТСФ позволяет получить зависимость температуры Кюри сплава Fe1–xNix от концентрации x, которая хорошо согласуется с экспериментом [11].
В настоящей работе исследуется зависимость магнитных свойств: температуры Кюри TC, среднего магнитного момента mz и локального магнитного момента mL – от типа кристаллической решетки и среднего числа d-электронов на атом Ne. Проводится сравнение результатов теории Стонера и ДТСФ с экспериментом для бинарных сплавов Fe1–xNix [12–14] и Fe1–xCox [15].
Изложение построено следующим образом. В разделе 2 кратко описана расчетная схема в ДТСФ. В разделе 3 приведены результаты и обсуждение. В разделе 4 сформулированы выводы, которые можно сделать на основе выполненных расчетов.
2. ТЕОРЕТИЧЕСКАЯ МОДЕЛЬ
Основные идеи и обоснования приближений ДТСФ приведены в работах [9, 10, 16, 17]. Напомним, что в ДТСФ при фиксированной температуре T (в энергетических единицах) решается система нелинейных уравнений для средних квадратов флуктуаций обменного поля на узле
(1)
где N – число узлов решетки в кристалле, Nd – число d-полос на атом и спин,
для среднего обменного поля
(2)
и химического потенциала µ,
(3)
где
(4)
— число электронов с проекцией спина или ±1, а ne – полное число электронов (на атом и полосу). В приведенных соотношениях – динамическая восприимчивость, – функция Ферми,
(5)
— средняя одноузельная функция Грина, где ν(ɛ) – немагнитная плотность электронных состоянии (ПЭС) на атом, полосу и спин, а – флуктуационный вклад в собственно-энергетическую часть, вычисляемый по формуле
(6)
При Т = 0 средние квадраты флуктуаций обращаются в нуль, и система переходит в систему уравнений теории среднего поля Стонера (2) и (3). Это дает возможность найти эффективную константу U по известному магнитному моменту , после чего при Т ≠ 0 исходная система решается методом продолжения по параметру [18] относительно переменных , , и µ. Вычисление температурной зависимости магнитных характеристик выполняется с помощью программы MAGPROP 3.0, которая является обновленной версией программы [19].
Решая систему уравнений ДТСФ (1)–(3) при фиксированной температуре, находим средний магнитный момент и локальный магнитный момент
(7)
РЕЗУЛЬТАТЫ И ОБСУЖДЕНИЕ
Немагнитные ПЭС железа, кобальта и никеля вычислены в приближении локальной плотности методом Корринги-Кона-Ростокера с самосогласованным потенциалом [20]. Полученные ПЭС сглажены с помощью свертки с функцией Лоренца полуширины Г = 0.005W для удаления нефизических пиков в зонном расчете, который полностью игнорирует затухание одноэлектронных состояний (подробнее см. [9, 10, 17]). ПЭС металлов, нормированные на одно d-состояние (на атом, полосу и спин), изображены на рис. 1.
Рис. 1. ПЭС d-электронов железа, кобальта и никеля: исходная и сглаженная с помощью свертки с функцией Лоренца полуширины Г = 0.005W. Энергии приведены в единицах ширины полосы (таблица 1). Вертикальной чертой обозначен уровень Ферми ɛF.
Соответствующие значения ширины полосы W, константы взаимодействия U и числа d - электронов на атом Ne приведены в таблице 1.
Таблица 1. Ширина полосы W, константа взаимодействия U и число d-электронов на атом Ne в ферромагнитных 3d-металлах
Металл | Fe | Co | Ni |
W, эВ | 7.27 | 7.35 | 6.01 |
U, W | 0.73 | 0.82 | 0.85 |
Ne | 7.43 | 8.47 | 9.35 |
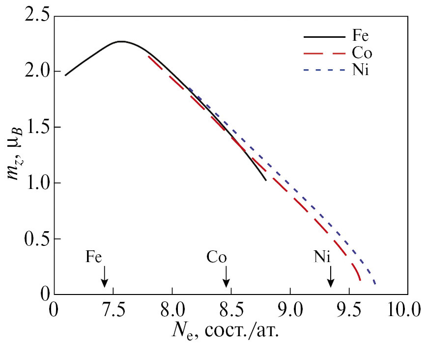
Критерий Стонера Uν(εF) > 1 предсказывает наличие ферромагнитного состояния при условии, что уровень Ферми находится не слишком далеко от основного пика ПЭС v(ɛ). Чтобы выявить качественные особенности ферромагнетизма в сплавах 3d-металлов, мы фиксируем константу взаимодействия U и ПЭС металла v(ɛ) и варьируем число d - электронов на атом Ne = Ndne (или, что то же самое, уровень Ферми εF) вблизи его значения для металла. Значение магнитного момента mz при T = 0 получается из решения системы уравнений Стонера при фиксированном U (таблица 1). Значения mz при T = 0, вычисленные нами при различных Ne для ПЭС железа, кобальта и никеля с помощью теории Стонера, ложатся на кривую Слэтера-Полинга (рис. 2). Как известно, кривая Слэтера-Полинга дает хорошее приближение для среднего магнитного момента в металлах и сплавах при T = 0 [14, 21, 22].
Рис. 2. Зависимость среднего магнитного момента mz при T = 0 для ПЭС железа, кобальта и никеля от числа d-электронов на атом Ne в теории Стонера. Стрелками обозначены значения Ne железа, кобальта и никеля.
Мы исследуем, как меняется кривая Слэтера-Полинга при конечных температурах. На рис. 3 приведены зависимости среднего магнитного момента mz от числа d-электронов на атом Ne для ПЭС Fe, Co и Ni, рассчитанные в теории Стонера и в ДТСФ при различных значениях T. Максимум mz отвечает основному пику ПЭС для каждого металла. Средний магнитный момент mz убывает с увеличением T при каждом фиксированном Ne. Для удобства сравнения на каждом графике температура нормирована на расчетную температуру Кюри соответствующего металла. Как видно, область значений Ne, при которых сохраняется ферромагнитное упорядочение, в ДТСФ убывает намного быстрее, чем в теории Стонера (которая полностью игнорирует спиновые флуктуации).
Рис. 3. Зависимость среднего магнитного момента mz от числа d-электронов на атом Ne для ПЭС железа, кобальта и никеля в теории Стонера (слева) и в ДТСФ (справа) при различных T. Вертикальной чертой обозначено число d-электронов на атом Ne для соответствующего металла, а температура измеряется в единицах TC соответствующего металла.
Особенно это заметно в Co и Ni. Кроме того, в отличие от теории Стонера, ДТСФ правильно предсказывает рост температуры Кюри при увеличении числа d-электронов на атом Ne для ПЭС Fe и Co и при уменьшении Ne для ПЭС Ni. Действительно, на рис. 3, справа, зеленая кривая, вычисленная в ДТСФ, находится правее вертикальной черты для ПЭС Fe и Co и левее для ПЭС Ni. Связано это с тем, что уровень Ферми находится левее основного пика ПЭС Fe и Co и правее основного пика ПЭС Ni (рис. 1).
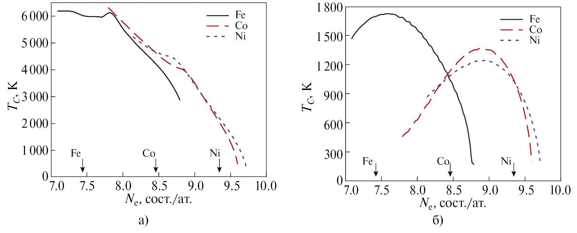
Рис. 4. Зависимость температуры Кюри TC от числа d-электронов на атом Nₑ для ПЭС железа, кобальта и никеля: а) в теории Стонера и б) в ДТСФ. Стрелками обозначены значения Ne железа, кобальта и никеля.
На рис. 4 приведена зависимость температуры Кюри TC от числа d-электронов на атом Ne для ПЭС железа, кобальта и никеля, полученная варьированием Ne как описано выше. В теории Стонера (рис. 4а) кривые TC(Ne) имеют лишь небольшие пики около 7.8 (Fe) и 8.8 (Co и Ni), которые отвечают положению уровня Ферми в окрестности основного пика ПЭС (см. рис. 1). В отличие от теории Стонера, в ДТСФ кривая TC(Ne) имеет ярко выраженный локальный максимум в окрестности основного пика ПЭС (рис. 4б). Такая же форма зависимости TC от концентрации x наблюдается в эксперименте на магнитной фазовой диаграмме для сплавов Fe1–xNix [12, 13] и Fe1–xCox [15]. Кроме того, в ДТСФ кривая TC(Ne) для ПЭС ОЦК железа резко отличается от кривых TC(Ne) для ПЭС ГЦК кобальта и никеля, которые близки между собой (рис. 4б). Аналогичное явление наблюдается в эксперименте на магнитной фазовой диаграмме сплавов Fe1–xNix и Fe1–xCox: кривые TC(x) образуют две различные ветви, отвечающие ОЦК и ГЦК-решеткам. При этом в нашем расчете на рис. 4б, как и в эксперименте для сплавов, значения TC для ОЦК-фазы больше, чем для ГЦК.
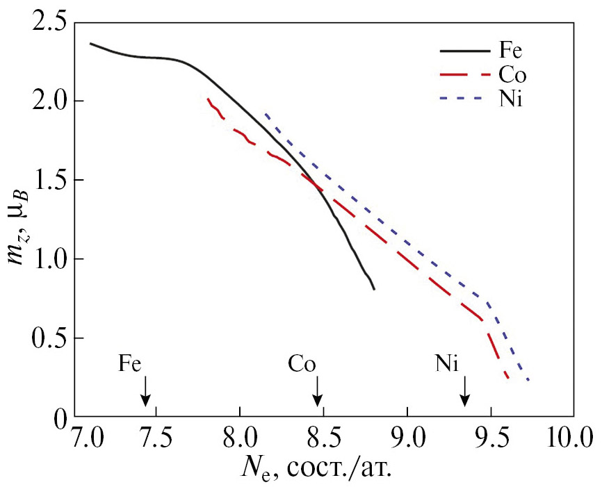
Рис. 5. Зависимость среднего магнитного момента mz для ПЭС железа, кобальта и никеля от числа d-электронов на атом в ДТСФ при T = 870 K (соответствует максимальной ТС для ГЦК-фазы сплавов Fe-Ni [25]). Стрелками обозначены значения Ne железа, кобальта и никеля.
Похожая ситуация наблюдается для кривой mz(Ne), вычисленной в ДТСФ при конечных температурах (рис. 5). Кривая mz(Ne) имеет ярко выраженный локальный максимум в окрестности основного пика ПЭС. Кроме того, кривая mz(Ne) для ПЭС ОЦК железа резко отличается от кривых для ПЭС ГЦК кобальта и никеля, которые близки между собой. Аналогичная зависимость наблюдается в экспериментальных кривых mz(Ne) для сплавов Fe1–xNix [12] и Fe1–xCox [15]: кривые зависимости mz от концентрации x образуют две различные ветви, отвечающие ОЦК и ГЦК-решеткам. При этом значения mz на рис. 5, как и для сплавов, для ОЦК-фазы больше, чем для ГЦК. Наконец, отметим, что кривые ТС(Ne) и mz(Ne) в ДТСФ находятся в качественном согласии не только с экспериментом, но и с расчетными кривыми [23], полученными в статической теории когерентного потенциала (подробнее см. [24]).
Рис. 6. Зависимость локального момента mL для ПЭС железа, кобальта и никеля от числа d-электронов на атом в ДТСФ при T = 870 K. Стрелками обозначены значения Ne железа, кобальта и никеля.
На рис. 6 изображена зависимость локального магнитного момента mL от числа d-электронов на атом Ne при конечной температуре. Как и на рис. 4 и 5, кривые mL(Ne) для ПЭС ГЦК кобальта и никеля находятся близко друг к другу и резко отличаются от кривой для ПЭС ОЦК железа. Значения mL для ОЦК-фазы больше, чем для ГЦК. Однако, в отличие от кривых mz(Ne), кривые mL(Ne) для ПЭС железа, кобальта и никеля лежат практически на одной прямой и при конечных температурах, а не только при T = 0, где кривая mL(Ne) просто совпадает с кривой Слэтера-Полинга (рис. 2).
4. ЗАКЛЮЧЕНИЕ
Теория Стонера дает кривую Слэтера-Полинга при нулевой температуре, но не дает удовлетворительного описания магнитного момента при конечных температурах, а магнитная фазовая диаграмма в теории Стонера даже качественно отличается от эксперимента. Последовательный учет квантового и нелокального характера спиновых флуктуаций в ДТСФ позволяет получить вид кривой Слэтера-Полинга при конечных температурах, магнитную фазовую диаграмму и зависимость других магнитных характеристик от числа d-электронов на атом.
Варьируя значение числа d-электронов на атом Ne вблизи основного пика ПЭС железа, кобальта и никеля, мы показали, что зависимость среднего магнитного момента mz(Ne) и температуры Кюри TC(Ne) имеет ярко выраженный локальный максимум в окрестности основного пика ПЭС. Кроме того, кривые mz(Ne) и TC(Ne) для ПЭС ОЦК железа резко отличаются от кривых для ПЭС ГЦК кобальта и никеля, которые близки между собой. Аналогичная зависимость наблюдается в экспериментальных кривых mz(Ne) и TC(Ne) для сплавов Fe-Ni и Fe-Co. Кривые локального момента mL(Ne) для ПЭС железа, кобальта и никеля слабо зависят от температуры и лежат практически на одной прямой при всех T.
Отметим, что кривая Слэтера-Полинга относится как к двойным сплавам 3d-металлов [14], так и к более сложным сплавам, например тройным [26]. Детальное изучение связи магнетизма с электронной структурой для ферромагнитных сплавов в ДТСФ является задачей для дальнейшего исследования.
БЛАГОДАРНОСТИ
Мы благодарны рецензентам за полезные замечания. Работа выполнена в рамках госзадания Министерства науки и высшего образования Российской Федерации (тема “Квант” № 122021000038-7).
Авторы данной работы заявляют, что у них нет конфликта интересов.
Об авторах
Н. Б. Мельников
Московский государственный университет им. М.В. Ломоносова
Автор, ответственный за переписку.
Email: melnikov@cs.msu.ru
Россия, Ленинские горы, Москва, 119991
А. С. Гуленко
Московский государственный университет им. М.В. Ломоносова
Email: melnikov@cs.msu.ru
Россия, Ленинские горы, Москва, 119991
Б. И. Резер
Институт физики металлов УрО РАН
Email: melnikov@cs.msu.ru
Россия, ул. С. Ковалевской, 18, Екатеринбург, 620108
Список литературы
- Köbler U. Sample-size dependent temperature dependence of the spontaneous magnetization // J. Magn. Magn. Mater. 2019. V. 491. P. 165632.
- Leedahl B., Korolev A.V., Zhidkov I.S., Skornyakov S.L., Anisimov V.I., Belozerov A.S., Kukharenko A.I., Kurmaev E.Z., Grokhovskii V.I., Cholakh S.O., Moewes A. Searching for pure iron in nature: the Chelyabinsk meteorite // RSC Adv. 2016. V. 6. P. 85844–85851.
- Mushnikov N., Popov A., Gaviko V., Protasov A., Kleinerman N., Golovnya O., Naumov S. Peculiarities of phase diagram of Fe-Ni system at Ni concentrations 0–20 at.% // Acta Mater. 2022. V. 240. P. 118330.
- Lichtenstein A.I., Katsnelson M.I., Kotliar G. Finite-temperature magnetism of transition metals: An ab initio dynamical mean-field theory // Phys. Rev. Lett. 2001. V. 87. P. 067205.
- Kakehashi Y. Modern Theory of Magnetism in Metals and Alloys. Berlin: Springer, 2013.
- Belozerov A.S., Leonov I., Anisimov V.I. Magnetism of iron and nickel from rotationally invariant Hirsch-Fye quantum Monte Carlo calculations // Phys. Rev. B. 2013. V. 87. P. 125138.
- Ruban A.V., Khmelevskyi S., Mohn P., Johansson B. Temperature-induced longitudinal spin fluctuations in Fe and Ni // Phys. Rev. B. 2007. V. 75. P. 054402.
- Gambino D., Brännvall M.A., Ehn A., Hedström Y., Alling B. Longitudinal spin fluctuations in bcc and liquid Fe at high temperature and pressure calculated with a supercell approach // Phys. Rev. B. 2020. V. 102. P. 014402.
- Melnikov N.B., Reser B.I. Magnetism of metals in the dynamic spin-fluctuation theory // Phys. Met. Metallogr. 2016. V. 117, no. 13. P. 1328–1383.
- Melnikov N., Reser B. Dynamic Spin Fluctuation Theory of Metallic Magnetism. Berlin, Springer, 2018.
- Paradezhenko G.V., Yudin D., Pervishko A.A. Random iron-nickel alloys: From first principles to dynamic spin fluctuation theory // Phys. Rev. B. 2021. V. 104. P. 245102.
- Swartzendruber L.J., Itkin V.P., Alcock C.B. The Fe-Ni (Iron-Nickel) System // J. Phase Equilibria. 1991. V. 12. P. 288–312.
- Xiong W., Zhang H., Vitos L., Selleby M. Magnetic phase diagram of the Fe–Ni system // Acta Mater. 2011. V. 59. no. 2, P. 521–530.
- Ebert H., Mankovsky S., Wimmer S. “Electronic structure: Metals and insulators” in Handbook of Magnetism and Magnetic Materials (M. Coey and S. Parkin, eds.). Berlin: Springer, 2020. P. 1–73.
- Ayuela A., March N.H. The magnetic moments and their long-range ordering for Fe atoms in a wide variety of metallic environments // Int. J. Quantum Chem. 2010. V. 110. P. 2725–2733,
- Grebennikov V.I. The dynamic theory of thermal spin fluctuations in magnets // Phys. Solid State. 1998. V. 40. P. 79–86.
- Reser B.I., Grebennikov V.I. Effect of dynamic nonlocal spin fluctuations on the temperature dependence of magnetic properties of ferromagnetic metals // Phys. Met. Metallogr. 1998. V. 85. P. 20–27.
- Paradezhenko G.V., Melnikov N.B., Reser B.I. Numerical continuation method for nonlinear system of scalar and functional equations // Comp. Math. Math. Phys. 2020. V. 60. P. 404–410.
- Reser B.I., Paradezhenko G.V., Melnikov N.B. Program suite MAGPROP 2.0. // Russian Federal Service for Intellectual Property (ROSPATENT), 2018.
- Moruzzi V.L., Janak J.F., Williams A.R. Calculated Electronic Properties of Metals. New York, Pergamon, 1978.
- Slater J.C. Quantum Theory of Molecules and Solids, Vol. 4: The Self-Consistent Field for Molecules and Solids. New York, McGraw-Hill, 1974.
- Bozorth R.M. Ferromagnetism. New York/Piscataway, NJ, Wiley-IEEE, 2nd ed., 1993.
- Kakehashi Y. Magnetism in amorphous transition metals // Phys. Rev. B. 1991. V. 43. P. 10820.
- Ehrenreich H., Schwartz L.M. “The electronic structure of alloys” in Solid State Physics: Advances in Research and Applications (H. Ehrenreich and F. S.D. Turnbull, eds.). New York: Academic, 1976. V. 31. P. 149–286.
- Nelson J. Sanvito S. Predicting the Curie temperature of ferromagnets using machine learning // Phys. Rev. Mater. 2019. V. 3. P. 104405.
- Rao Z., Ponge D., Körmann F., Ikeda Y., Schneeweiss O., Friák M., Neugebauer J., Raabe D., Li Z. Invar effects in FeNiCo medium entropy alloys: From an Invar treasure map to alloy design // Intermetallics. 2019. V. 111. P. 106520.
Дополнительные файлы








