Thermal Conductivity and Thermal Diffusivity of Iron in the Temperature Range of 300–1700 K
- Authors: Agazhanov A.S.1, Samoshkin D.A.1, Stankus S.V.1
-
Affiliations:
- Kutateladze Institute of Thermophysics, Siberian Division, Russian Academy of Sciences
- Issue: Vol 124, No 12 (2023)
- Pages: 1149-1158
- Section: ЭЛЕКТРИЧЕСКИЕ И МАГНИТНЫЕ СВОЙСТВА
- URL: https://ogarev-online.ru/0015-3230/article/view/232724
- DOI: https://doi.org/10.31857/S0015323023601009
- EDN: https://elibrary.ru/CLSRQW
- ID: 232724
Cite item
Full Text
Abstract
Abstract—
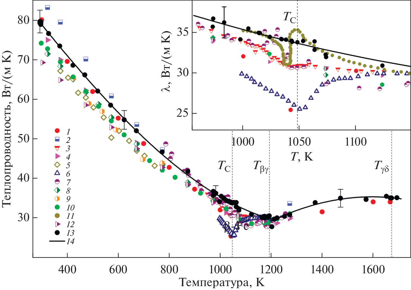
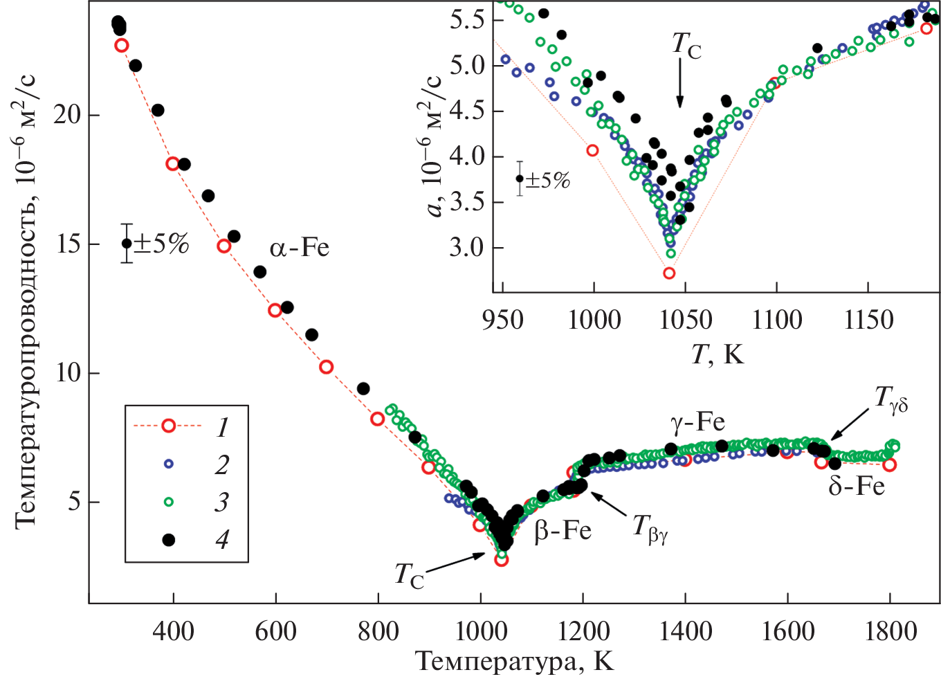
Using the laser flash method, the thermal diffusivity (a) of carbonyl iron is measured in the temperature range of 300–1700 K with a detailed study of the critical region 980–1170 K. The initial experimental data in the field of magnetic phase transformation are processed by the scaling power law. The values of the critical indexes for thermal diffusivity (\(\gamma {\kern 1pt} ',\) γ) are obtained below and above the Curie temperature TС = 1048 ± 5 K: \(\gamma {\kern 1pt} '\) = 0.51 and γ = 0.35, which in absolute value significantly exceed the value of the characteristic critical index for the heat capacity (γ ≈ –0.1). The thermal conductivity (λ) is calculated from measured data of the thermal diffusivity. The results are compared with the known literature data, special attention is paid to the behavior of the curves a(T), λ(T) in the region of the magnetic phase transformation. A table of recommended temperature dependences for a and λ along with estimated errors has been developed.
About the authors
A. Sh. Agazhanov
Kutateladze Institute of Thermophysics, Siberian Division, Russian Academy of Sciences
Author for correspondence.
Email: scousekz@gmail.com
Russia, 630090, Novosibirsk
D. A. Samoshkin
Kutateladze Institute of Thermophysics, Siberian Division, Russian Academy of Sciences
Email: scousekz@gmail.com
Russia, 630090, Novosibirsk
S. V. Stankus
Kutateladze Institute of Thermophysics, Siberian Division, Russian Academy of Sciences
Email: scousekz@gmail.com
Russia, 630090, Novosibirsk
References
- Lewis E.A.S. Heat capacity of gadolinium near the Curie point // Phys. Rev. B. 1970. V. 1. № 11. P. 4368–4377.
- Connelly D.L., Loomis J.S., Mapother D.E. Specific heat of nickel near the Curie temperature // Phys. Rev. B. 1971. V. 3. № 3. P. 924–934.
- Kollie T.G. Measurement of the thermal-expansion coefficient of nickel from 300 to 1000 K and determination of the power-law constants near the Curie temperature // Phys. Rev. B. 1977. V. 16. № 11. P. 4872–4881.
- Kozlovskii Yu.M., Stankus S.V. The linear thermal expansion coefficient of iron in the temperature range of 130–1180 K // J. Phys. Conf. Ser. 2019. V. 1382. № 012181. P. 1–6.
- Lanchbury M.D., Saunders N.H. Critical behaviour in the transport properties of pure iron // J. Phys. F: Met. Phys. 1976. V. 6. № 10. P. 1967–1977.
- Shanks H.R., Klein A.H., Danielson G.C. Thermal properties of Armco iron // J. Appl. Phys. 1967. V. 38. № 7. P. 2885–2892.
- Agazhanov A.Sh., Samoshkin D.A., Kozlovskii Yu.M. Critical indexes of the nickel thermal diffusivity // J. Phys. Conf. Ser. 2020. V. 1677. № 012163. P. 1–4.
- Стенли Г., Мицек А.И., Шубин Т.С. Фазовые переходы и критические явления. М.: Мир, 1973. 298 с.
- Паташинский А.З., Покровский В.Л. Флуктуационная теория фазовых переходов. M.: Наука, 1992. 256 с.
- Ма Ш.К. Современная теория критических явлений. M.: Мир, 1980. 299 с.
- Ландау Л.Д., Лифшиц Е.М. Статистическая физика. М.: Наука, 1976. 584 с.
- Румер Ю., Рывкин М. Термодинамика, статистическая физика и кинетика. М.: Наука, 1977. 552 с.
- Зиновьев В.Е. Теплофизические свойства металлов при высоких температурах. М.: Металлургия, 1989. 384 с.
- Зиновьев В.Е., Абельский Ш.Ш., Сандакова М.И., Дик Е.Г., Петрова Л.Н., Гельд П.В. Тепловые свойства железа и твердых растворов кремния в нем вблизи точки Кюри // ЖЭТФ. 1974. Т. 66. № 1. С. 354–359.
- Зиновьев В.Е., Кренцис Р.П., Гельд П.В. Температуропроводность и теплопроводность железа при высоких температурах // ФММ. 1968. Т. 26. С. 743–745.
- Laubitz M.J. Thermal and electrical properties of Armco iron at high temperatures // Can. J. Phys. 1960. V. 38. № 7. P. 887–907.
- Richter F., Kohlhaas R. The thermal conductivity of pure iron between –180 and plus 1000°C. With particular emphasis on phase transformations // Arch Eisenhuttenw. 1965. V. 36. № 11. P. 827–833.
- Busch G., Steigmeier E. Warmeleitfahigkeit, elektrische Leitfahigkeit, Hall-Effekt und Thermospannung von InSb // Helv. Phys. Acta. 1961. V. 34. P. 1–28.
- Неймарк Б.Е., Воронин Л.К., Меркульев А.И. Теплопроводность технического железа. Теплофизические свойства твердых веществ. М.: Наука, 1971.
- Fulkerson W., Moore J.P., McElroy D.L. Comparison of the thermal conductivity, electrical resistivity and Seebeck coefficient of a high-purity iron and armco-iron to 1000°C // J. Appl. Phys. 1966. V. 37. № 7. P. 2639–2653.
- Зарецкий Е.Б., Пелецкий В.Э. Установка для комплексного исследования теплофизических свойств металлов и сплавов // ТВТ. 1979. Т. 17. № 1. С. 124–132.
- Powell R.W., Tye R.P. New measurements on thermal conductivity reference materials // Int. J. Heat Mass Transf. 1967. V. 10. № 5. P. 581–596.
- Банаев А.М., Чеховский В.Я. Экспериментальное определение коэффициентов теплопроводности твердых веществ в интервале температур 200–1000°C // ТВТ. 1965. Т. 3. № 1. С. 57–63.
- Ho C.Y., Powell R.W., Liley P.E. Thermal conductivity of the elements: a comprehensive review // JPCRD. 1974. V. 3. № 1. P. 279–422.
- Зиновьев В.Е., Коршунов И.Г. Теплопроводность и температуропроводность переходных металлов при высоких температурах. Ч. 1. Обзоры по теплофизическим свойствам веществ. М.: ИВТАН, 1978. 122 с.
- Parker W.J., Jenkins R.J., Butler C.P., Abbott G.L. Flash method of determining thermal diffusivity, heat capacity, and thermal conductivity // J. Appl. Phys. 1961. V. 32. № 9. P. 1679–1684.
- Станкус С.В., Савченко И.В. Измерение коэффициентов переноса тепла жидких металлов методом лазерной вспышки // Теплофизика и аэромеханика. 2009. Т. 16. № 4. С. 625–632.
- Clark III L.M., Taylor R.E. Radiation loss in the flash method for thermal diffusivity // J. Appl. Phys. 1975. V. 46. № 2. P. 714–719.
- Cape J.A., Lehman G.W. Temperature and Finite Pulse-Time Effects in the Flash Method for Measuring Thermal Diffusivity // J. Appl. Phys. 1963. V. 34. № 7. P. 1909–1913.
- Blumm J., Opfermann J. Improvement of the Mathematical Modeling of Flash Measurement // High Temp.–High Press. 2002. V. 34. P. 515–521.
- Пелецкий В.Э., Чеховской В.Я., Латыев Л.Н. и др. Теплофизические свойства молибдена и его сплавов. Справочник / Под ред. А.Е. Шейндлина. М.: Металлургия, 1990. 301 с.
- Горбатов В.И., Полев В.Ф., Коршунов И.Г., Талуц С.Г. // ТВТ. 2012. Т. 50. № 2. С. 313–315.
- Abdullaev R.N., Khairulin R.A., Stankus S.V. Volumetric properties of iron in the solid and liquid states // J. Phys. Conf. Ser. 2020. V. 1675. № 012087. P. 1–6.
- Hultgren R., Desai R.D., Hawkins D.T. et al. Selected values of thermodynamic properties of elements. Ohio: Amer. Soc. Metals, 1973. 636 p.
Supplementary files









