Magnetocaloric Effect in Rare-Earth Magnetic Materials
- Authors: Pankratov N.Y.1, Tereshina I.S.1, Nikitin S.A.1
-
Affiliations:
- Lomonosov Moscow State University, Faculty of Physics
- Issue: Vol 124, No 11 (2023)
- Pages: 1093-1101
- Section: ЭЛЕКТРИЧЕСКИЕ И МАГНИТНЫЕ СВОЙСТВА
- URL: https://ogarev-online.ru/0015-3230/article/view/232710
- DOI: https://doi.org/10.31857/S0015323023601095
- EDN: https://elibrary.ru/FUAHZM
- ID: 232710
Cite item
Full Text
Abstract
Abstract—
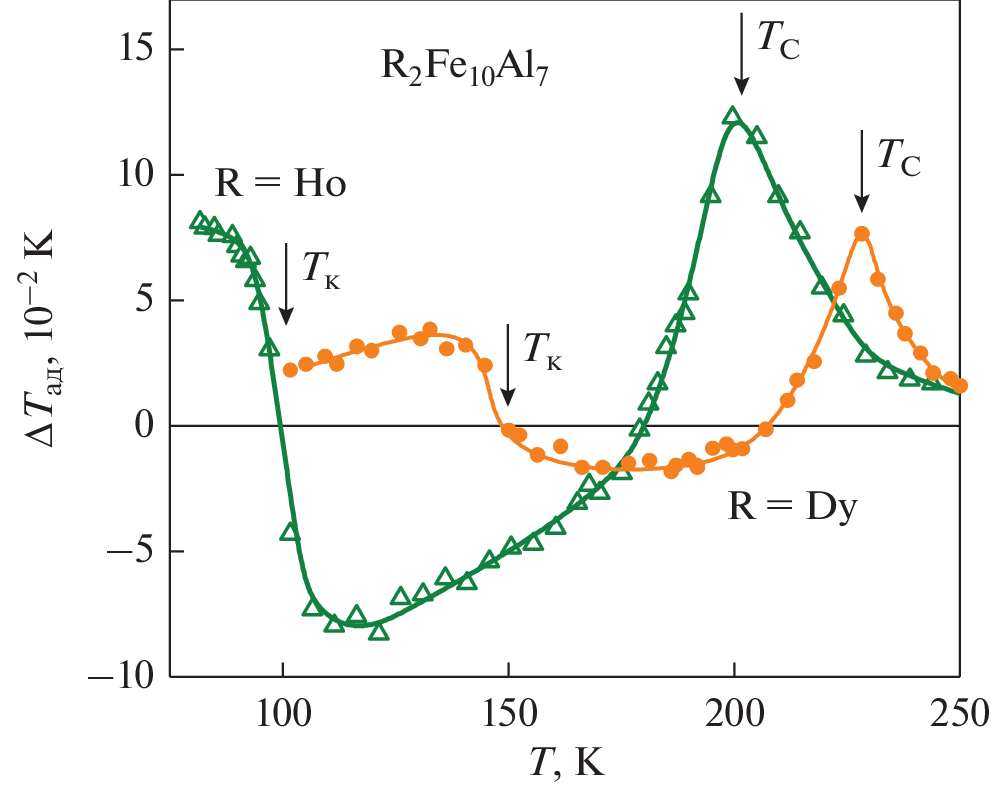
A study of the magnetocaloric characteristics of rare-earth magnets was carried out. There were studied a systems Gd–H, (Gd,R)Ni–H containing hydrogen (R is a rare earth metal); system RCo2–H with the structure of Laves phases; and systems without hydrogen, such as RTX intermetalic compounds (T = Mn, Fe, Co; X = Si), R2(Fe,T)17 compounds (T = Al), which have a magnetic compensation point and exhibit an alternating magnetocaloric effect (MCE). The MCE was measured by the direct method and calculated indirectly from the field dependences of the magnetization. The main regularities are established and the specific features of the formation of magnetocaloric properties are revealed depending on the composition and structure.
About the authors
N. Yu. Pankratov
Lomonosov Moscow State University, Faculty of Physics
Author for correspondence.
Email: pankratov@phys.msu.ru
Russia, 119991, Moscow
I. S. Tereshina
Lomonosov Moscow State University, Faculty of Physics
Email: pankratov@phys.msu.ru
Russia, 119991, Moscow
S. A. Nikitin
Lomonosov Moscow State University, Faculty of Physics
Email: pankratov@phys.msu.ru
Russia, 119991, Moscow
References
- Андреенко А.С., Белов К.П., Никитин С.А., Тишин A.M. Магнитокалорический. эффект в редкоземельных магнетиках // УФН. 1989. Т. 158. № 4. С. 553.
- Белов К.П. Магнитотепловые явления в редкоземельных магнетиках. М.: Наука, 1990. 95 с.
- Никитин С.А. Магнитные свойства редкоземельных металлов и их сплавов. М.: Изд-во МГУ, 1989. 247 с.
- Tishin A.M., Spichkin Y.I. The magnetocaloric effect and its applications. Institute of Physics Publishing, Bristol and Philadelphia. 2003. 480 p.
- Соколовский В.В., Мирошкина О.Н., Бучельников В.Д., Марченков В.В. Магнитокалорический эффект в металлах и сплавах // ФММ. 2022. Т. 123. № 4. С. 339–343.
- Соколовский В.В., Мирошкина О.Н., Бучельников В.Д. Обзор современных теоретических методов исследования магнитокалорических материалов // ФММ. 2022. Т. 123. № 4. С. 344–402.
- Инишев А.А., Герасимов Е.Г., Терентьев П.Б., Гавико В.С., Мушников Н.В. Магнитокалорический эффект в нестехиометрических соединениях ErM2Mnx (M = Ni, Co, Fe) // ФММ. 2022. Т. 123. № 9. С. 929–934.
- Burkhanov G.S., Kolchugina N.B., Tereshina E.A., Tereshina I.S., Politova G.A., Chzhan V.B., Badurski D., Chistyakov O.D., Paukov M., Drulis H., Havela L. Magnetocaloric properties of distilled gadolinium: Effects of structural inhomogeneity and hydrogen impurity. Appl. Phys. Lett. 2014. V. 104. P. 242402–242407.
- Chzhan V.B., Kurganskaya A.A., Tereshina I.S., Karpenkov A.Yu., Ovchenkova I.A., Tereshina-Chitrova E.A., Andreev A.V., Gorbunov D.I., Lushnikov S.A., Verbetsky V.N. Influence of interstitial and substitutional atoms on magnetocaloric effects in RNi compounds // Mater. Chem. Phys. 2021. V. 264. P. 124455.
- Терёшина И.С., Овченкова Ю.А., Политова Г.А., Панкратов Н.Ю. Материалы на основе RCo2 и RMnSi для твердотельного магнитного охлаждения // Изв. РАН. Сер. физическая. 2023. Т. 87. № 3. С. 347–352.
- Nikitin S.A., Ivanova T.I., Tskhadadze I.A. Magnetic Properties of GdMnxFe1 – xSi Intermetallic Compounds // Acta Physica Polonica A. 1997. V. 91. P. 463.
- Панкратов Н.Ю., Каминская Т.П., Терешина И.С., Макуренкова А.А., Карпенков А.Ю., Пауков М.А., Никитин С.А. Магнитные свойства и морфология поверхности интерметаллического соединения Dy2Fe10Al7 и его гидрида // ФТТ. 2020. V. 62. P. 719–725.
- Gschneider Jr. K.A., Pecharsky V.K., Tsokol A.O. Recent developments in magnetocaloric materials // Rep. Progr. Phys. 2005. V. 68. P. 1479–1539.
- Вонсовский С.В. Магнетизм. М.: Наука, 1971. 1032 с.
- Annaorazov M.P., Nikitin S.A., Tyurin A.L., Asatryan K.A., Dovletov A.Kh. Anomalously high entropy change in FeRh alloy // J. Appl. Phys. 1996. V. 79. P. 1689–1695.
- Smarzhevskaya A.I., Iwasieczko W., Verbetsky V.N., Nikitin S.A. New magnetocaloric material based on GdNiH3.2 hydride for application in cryogenic devices // Phys. Status Solidi (C). 2014. V. 11(5–6). P. 1102–1105.
- Gratz E., Markosyan A.S. Physical properties of RCo2 Laves phases // J. Phys. Condens. Matter. 2001. V. 13. P. R385.
- Nikitin S.A., Tskhadadze G.A., Ovchenkova I.A., Zhukova D.A., Ivanova T.I. The magnetic phase transitions and magnetocaloric effect in the Ho(Co1 – xAlx)2 and Tb(Co1 – xAlx)2 compounds // Solid State Phenomena. 2011. V. 168–169. P. 119–121.
- Ovchenkova I.A., Tskhadadze G.A., Zhukova D.A., Ivanova T.I., Nikitin S.A. Magnetocaloric effect in RCo2 compounds // Solid State Phenomena 2012. V. 190. P. 339–342.
- Zhuang Y., Chen X., Zhok K., Kaiwen Z., Kefeng L., Chunhua M. Phase structure and magnetocaloric effect of (Tb1 – xDyx)Co2 alloys // J. Rare Earths. 2008. V. 26. P. 749.
- Halder M., Yusuf S.M., Mukadam M.D., Shashikala K. Magnetocaloric effect and critical behavior near the paramagnetic to ferrimagnetic phase transition temperature in TbCo2–xFex // Phys. Rev. B. 2010. V. 81. P. 174 402.
- Мушников Н.В., Гавико В.С., Гото Т. Магнитные свойства гидридов RCo2Hx (R = Gd, Tb, Dy, Нo и Еr) // ФММ. 2005. V. 100. P. 24–34.
- Burzo E., Vlaic P., Kozlenko D.P., Kichanov S.E., Dang N.T., Lukin E.V., Savenko B.N. Magnetic properties of TbCo2 compound at high pressures // J. Alloys Comp. 2013. V. 551. P. 702–710.
- Brouha M., Buschow K.H.J. The pressure dependence of the Curie temperature of rare earth-cobalt compounds // J. Phys. F: Metal Phys. 1973. V. 3. P. 2218–2226.
- Nikitin S.A., Tskhadadze I.A., Morozkin A.V., Seropegin Yu.D. The influence of Ti on the itinerant magnetism of RTX compounds // J. Magn. Magn. Mater. 1999. V. 196–197. P. 632–633.
- Никитин С.А., Овченкова Ю.А., Блинова М.Е., Терёшина И.С. Магнитокалорический эффект в соединениях GdMn1 − xTxSi (T = Ti, Fe, Co) // Вестник Московского университета. Сер. 3: Физика, астрономия. 2022. Т. 4. С. 47–53.
- Tereshina I.S., Veselova S.V., Verbetsky V.N., Paukov M.A., Gorbunov D.I., Tereshina-Chitrova E.A. Influence of substitutions and hydrogenation on the structural and magnetic properties of (R'R'')2Fe17 (R', R'' = Sm, Er, Ho): Compositions with promising fundamental characteristics // J. Alloys Comp. 2022. V. 897. P. 163228.
- Givord D., Lemaire R. Magnetic transition and anomalous thermal expansion in R2Fe17 compounds // IEEE Trans. Mag. 1974. V. 10. P. 109–113.
- Панкратов Н.Ю., Терёшина И.С., Карпенков А.Ю., Никитин С.А. Знакопеременный магнитокалорический эффект в соединениях R2Fe10Al7 (R = Dy и Ho) // Кристаллография. 2023. Т. 68. № 3. С. 443–447.
- Buschow K.H.J. Intermetallic compounds of rare-earth and 3d transition metals // Rep. Prog. Phys. 1977. V. 40. P. 1179–1256.
- Chzhan V.B., Tereshina I.S., Karpenkov A.Yu., Tereshina-Chitrova E.A. // Acta Materialia. 2018. V. 154. P. 303.
- Oliveira N.A., von Ranke P.J. Theoretical aspects of the magnetocaloric effect // Phys. Rep. 2010. V. 489. P. 89–153.
Supplementary files







