Ближний порядок, формирующийся при отжиге эквиатомного сплава CoNiCrFeMn. Атомистическое MД/MК-моделирование
- Авторы: Карькин И.Н.1, Карькина Л.Е.1, Горностырев Ю.Н.1
-
Учреждения:
- Институт физики металлов УрО РАН
- Выпуск: Том 124, № 10 (2023)
- Страницы: 971-977
- Раздел: СТРУКТУРА, ФАЗОВЫЕ ПРЕВРАЩЕНИЯ И ДИФФУЗИЯ
- URL: https://ogarev-online.ru/0015-3230/article/view/232670
- DOI: https://doi.org/10.31857/S0015323023600971
- EDN: https://elibrary.ru/HRJFZC
- ID: 232670
Цитировать
Полный текст
Аннотация
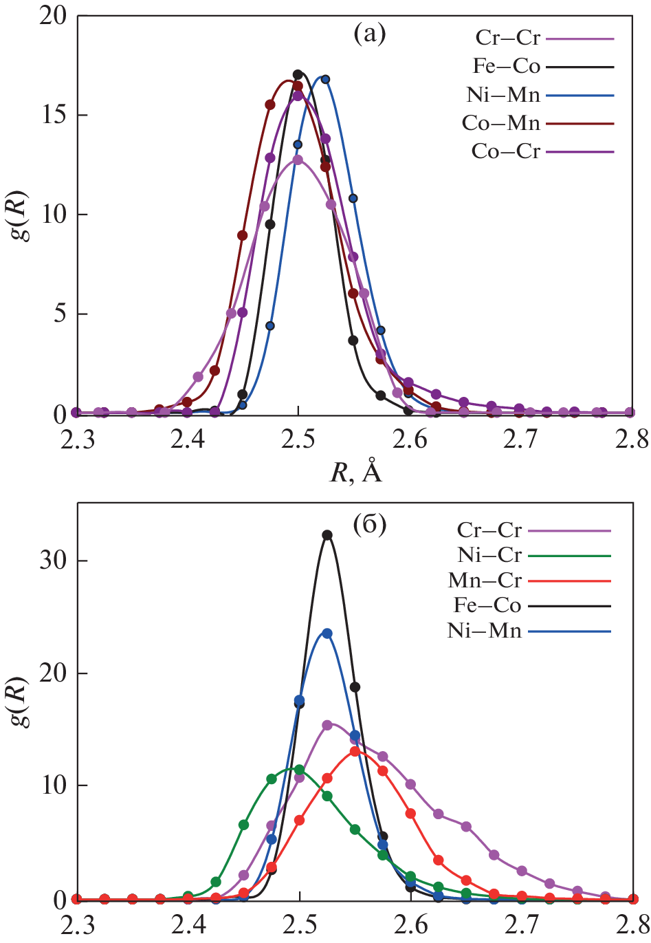
Формирование ближнего порядка в эквиатомном высокоэнтропийном сплаве (HEA) CoNiCrFeMn при отжиге в области умеренных температур изучено с использованием атомистического МД/МК моделирования, включающего обмен атомов в схеме Монте-Карло (МК) и релаксацию их положений методом молекулярной динамики (МД). Установлено, что в процессе выдержки образуются два типа областей химического ближнего порядка (CSRO). Первые состоят преимущественно из атомов Fe–Co, а вторые представляют собой обогащенные Cr области, на границах которых находятся атомы Ni и Mn. Показано, что формирование ближнего порядка включает несколько этапов, последовательность которых определяется величиной Cr–Cr, Fe–Co и Ni–Mn взаимодействий.
Ключевые слова
Об авторах
И. Н. Карькин
Институт физики металлов УрО РАН
Email: lidiakarkina@gmail.com
Россия, 620108, Екатеринбург, ул. С. Ковалевской, 18
Л. Е. Карькина
Институт физики металлов УрО РАН
Автор, ответственный за переписку.
Email: lidiakarkina@gmail.com
Россия, 620108, Екатеринбург, ул. С. Ковалевской, 18
Ю. Н. Горностырев
Институт физики металлов УрО РАН
Email: lidiakarkina@gmail.com
Россия, 620108, Екатеринбург, ул. С. Ковалевской, 18
Список литературы
- Zhang Y., Zuo T.T., Tang Z., Gao M.C., Dahmen K.A., Liaw P.K., Lu Z.P. Microstructures and properties of high-entropy alloys // Prog. Mater. Sci. 2014. V. 61. P. 1–93.
- Miracle D.B., Senkov O.N. A critical review of high entropy alloys and related concepts // Acta Mater. 2017. V. 122. P. 448–511.
- Tokarewicz M., Gradzka-Dahlke M. Review of Recent Research on AlCoCrFeNi High-Entropy Alloy //Metals. 2021. V. 11. P. 1302–1316.
- Cantor B., Chang I.T.H., Knight P., Vincent A.J.B. Microstructural development in equiatomic multicomponent alloys // Mater. Sci. Eng. A. 2004. V. 375–377. P. 213–218.
- Otto F., Dlouhý A., Pradeep K.G., Kuběnová M., Raabe D., Eggeler G. Decomposition of the single-phase high-entropy alloy CrMnFeCoNi after prolonged anneals at intermediate temperatures // Acta Materialia. 2016. V. 112. P. 40–52.
- Laurent-Brocq M., Akhatova A., Perrière L., Chebini S., Sauvage X., Leroy E., Champion Y. Insights into the phase diagram of the CrMnFeCoNi high entropy alloy // Acta Mater. 2015. V. 88. P. 355–365.
- Schuh B., Mendez-Martin F., Volker B., George E.P., Clemenb H., Pippan R., Hohenwarter A. Mechanical properties, microstructure and thermal stability of a nanocrystalline CoCrFeMnNi high-entropy alloy after severe plastic deformation // Acta Mater. 2015. V. 96. P. 258–268.
- Huang X., Liu L., Duan X., Liao W., Huang J., SunH., Yu Y. Atomistic simulation of chemical short-range order in HfNbTaZr high entropy alloy based on a newly-developed interatomic potential // Mater. Design. 2021. V. 2021. P. 09560.
- Antillon E., Woodward C., Rao S.I., Akdim B., Parthasarathy T.A. Chemical short-range order strengthening in a model FCC high entropy alloy // Acta Mater. 2020. V. 190. P. 29–42.
- Jiana W.-R., Xieb Z., Xu S., Su Y., Yao X., Beyerlein I.J. Effects of lattice distortion and chemical short-range order on the mechanisms of deformation in medium entropy alloy CoCrNi // Acta Mater. 2020. V. 199. P. 352–369.
- Xing B., Wang X., Bowmana W.J., Cao P. Short-range order localizing diffusion in multi-principal element alloys // Scripta Mater. 2022. V. 210. P. 114450.
- Zhang F. X., Zhao S., Jin K., Xue H., Velisa G., Bei H., Huang R., Ko J.Y.P., Pagan D.C., Neuefeind J.C., Weber W.J., Zhang Y. Local Structure and Short-Range Order in a NiCoCr Solid Solution Alloy // Phys. Rev. Lett. 2017. V. 118. P. 205501.
- Lei Z.F., Liu X.J., Wu Y., Qiao S., Zhu Guo-liang, Dong An-ping, Shu Da, Sun Bao-de Enhanced strength and ductility in a high-entropy alloy via ordered oxygen complexes // Nature. 2018. V. 563(7732). P. 546–550.
- Ding Q.Q., Zhang Y., Chen X., Fu X., Chen D., Chen S., Gu L., Wei F., Bei H., Gao Y., Wen M., Li J., Zhang Z., Zhu T., O Ritchie R., Yu Q. Tuning element distribution, structure and properties by composition in high-entropy alloys // Nature. 2019. V. 574(7777). P. 223–227.
- Ma Y., Wang Q., Li C., Santodonato L.J., Feygenson M., Dong C., Liaw P.K. Chemical short-range orders and the induced structural transition in high-entropy alloys // Scripta Mater. 2018. V. 144. P. 64–68.
- Mizunoa M., Sugita K., Araki H. Prediction of short-range order in CrMnFeCoNi high-entropy alloy // Results Phys. 2022. V. 34. P. 105285.
- Li Q.-J., Sheng H., Ma E. Strengthening in multi-principal element alloys with local-chemical-order roughened dislocation pathways // Nature Comm. 2019. V. 10. P. 3564. 11 p.
- Hsieh K.-T., Lin Y.-Y., Lu C.-H., Yang J.-R., Liaw P.K., Kuo C.-L. Atomistic simulations of the face-centered-cubic-to-hexagonal-close-packed phase transformation in the equiatomic CoCrFeMnNi high entropy alloy under high compression // Comp. Mater. Sci. 2020. V. 184. P. 109864.
- Карькина Л.Е., Карькин И.Н., Горностырев Ю. Н. Образование сегрегаций и нанофасетирование асимметричных специальных границ зерен в Al // ФММ. 2022. Т. 123. № 10. С. 1079–1084.
- http://lammps.sandia.gov/index.html.
- Choi W.-M., Kim Y., Seol D., Lee B.-J. Modified embedded-atom method interatomic potentials for the Co–Cr, Co–Fe, Co–Mn, Cr–Mn and Mn–Ni binary systems // Comp. Mater. Sci. 2017. V. 130. P. 121–129.
- Zhang S., Kontsevoi O.Y., Freeman A.J., Olson G.B. First principles investigation of zinc-induced embrittlement in an aluminum grain boundary // Acta Mater. 2011. V. 59. P. 6155–6167.
- de Fontaine D. The number of independent pair-correlation functions in multicomponent systems // J. Appl. Crystall. 1971. V. 4. № 1. P. 15–19.
- Shuang S., Lu S., Zhang Bo, Bao Chen, Kan Q., Kang G., Zhang Xu. Effects of high entropy and twin boundary on the nanoindentation of CoCrNiFeMn high-entropy alloy: A molecular dynamics study // Comp. Mater. Sci. 2021. V. 195. P. 110495.
Дополнительные файлы








