THE INFLUENCE OF STRUCTURAL AND COMPOSITIONAL FACTORS ON THE REALIZATION OF THE EXCHANGE BIAS EFFECT IN (Cr-Mn)/Fe20Ni80
- Authors: Feshchenko A.A.1, Moskalev M.E.1, Severova S.V.1, Gorkovenko A.N.1, Lepalovskij V.N.1, Selezneva N.V.1, Kravtsov E.A.1,2, Vas'kovskiy V.O.1,2
-
Affiliations:
- Ural Federal University
- Mikheev Institute of Metal Physics, Ural Branch, Russian Academy of Sciences
- Issue: Vol 124, No 9 (2023)
- Pages: 830-837
- Section: ЭЛЕКТРИЧЕСКИЕ И МАГНИТНЫЕ СВОЙСТВА
- URL: https://ogarev-online.ru/0015-3230/article/view/139486
- DOI: https://doi.org/10.31857/S0015323023601307
- EDN: https://elibrary.ru/YYTUSB
- ID: 139486
Cite item
Full Text
Abstract
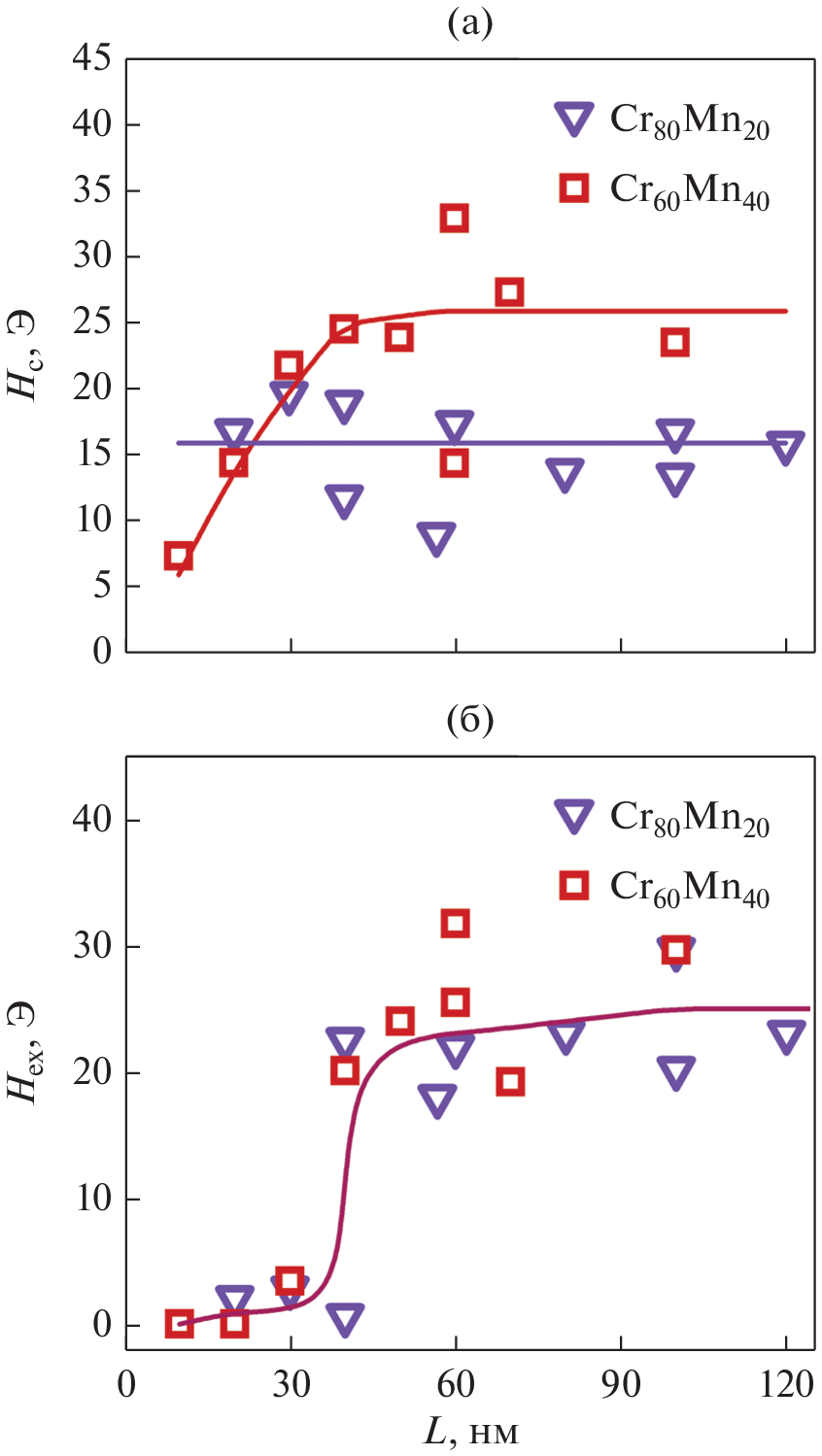
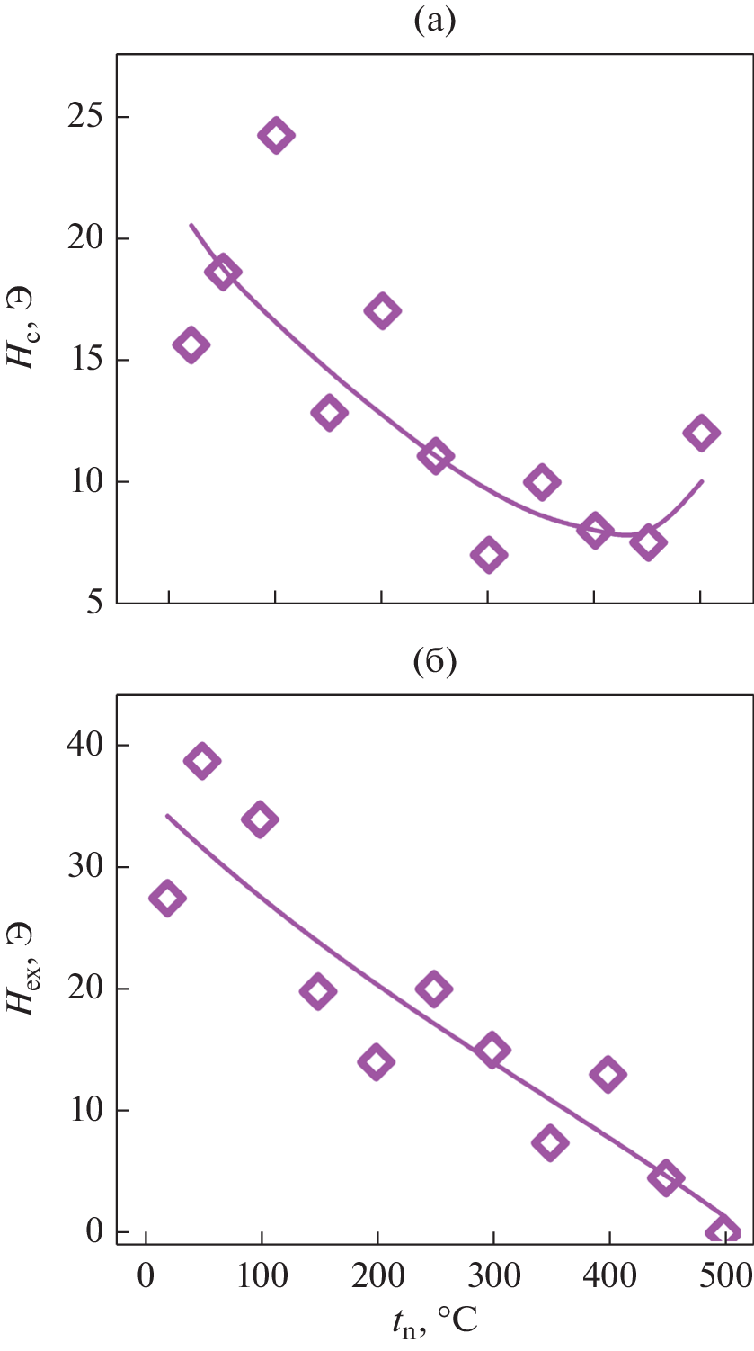
The influence of a number of physical factors on the structural and hysteresis properties of multilayer films (Cr-Mn)/Fe Ni has been studied. By indirect signs, the presence of antiferromagnetism in Cr-Mn layers with a Mn content in the range of 20-40 at.% has been established. It is shown that in such structures, the exchange bias effect can be observed, but only when the thickness of the antiferromagnetic layer is greater than 40 nm. The initial reason for the low "fixing" properties of the Cr-Mn layer is its weak magnetic anisotropy, which is superimposed with instability in the reproduction of the micro-structure. The use of substrate heating during film deposition increased the reproducibility of microstructure parameters and hysteresis characteristics but led to a weakening of the exchange bias effect, apparently due to changes in the structure and composition of the interlayer interface.
About the authors
A. A. Feshchenko
Ural Federal University
Email: a.a.feshchenko@urfu.ru
Ekaterinburg, 620002 Russia
M. E. Moskalev
Ural Federal University
Email: a.a.feshchenko@urfu.ru
Ekaterinburg, 620002 Russia
S. V. Severova
Ural Federal University
Email: a.a.feshchenko@urfu.ru
Ekaterinburg, 620002 Russia
A. N. Gorkovenko
Ural Federal University
Email: a.a.feshchenko@urfu.ru
Ekaterinburg, 620002 Russia
V. N. Lepalovskij
Ural Federal University
Email: a.a.feshchenko@urfu.ru
Ekaterinburg, 620002 Russia
N. V. Selezneva
Ural Federal University
Email: a.a.feshchenko@urfu.ru
Ekaterinburg, 620002 Russia
E. A. Kravtsov
Ural Federal University; Mikheev Institute of Metal Physics, Ural Branch, Russian Academy of Sciences
Email: a.a.feshchenko@urfu.ru
Ekaterinburg, 620002 Russia; Ekaterinburg, 620108 Russia
V. O. Vas'kovskiy
Ural Federal University; Mikheev Institute of Metal Physics, Ural Branch, Russian Academy of Sciences
Author for correspondence.
Email: a.a.feshchenko@urfu.ru
Ekaterinburg, 620002 Russia; Ekaterinburg, 620108 Russia
References
- Gomonay E.V., Loktev V.M. Spintronics of antiferromagnetic systems // Low Temperature Phys. 2014. V. 40. № 1. P. 17–35.
- Morales R., Flores A. N., Vargas N. M., Giuliani J., Schuller I.K., Monton C. Ultradense Arrays of Sub-100 nm Co/CoO Nanodisks for Spintronics Applications // ACS Appl. Nano Mater. 2020. V. 3. № 5. P. 4037–4044.
- Xiong D., Jiang Y., Shi K., Du A., Yao Y., Guo Z., Zhu D., Cao K., Peng S., Cai W., Zhu D., Zhao W. Antiferromagnetic spintronics: An overview and outlook //Fundamental Research. 2022. V. 2. P. 522–534.
- Radu F., Zabel H. Exchange bias effect of ferro-/antiferromagnetic heterostructures // Magnetic Heterostructures: Advances and Perspectives in Spinstructures and Spintransport. 2008. P. 97–184.
- Nogués J., Schuller I.K. Exchange bias // J. Magn. Magn. Mater. 1999. V. 192. № 2. P. 203–232.
- O’Grady K., Sinclair J., Elphick K., Carpenter R., Vallejo-Fernandez G., Probert M.I.J., Hirohata A. Anisotropy in antiferromagnets // J. Appl. Phys. 2020. V. 128. № 4. P. 040901.
- O’Grady K., Fernandez-Outon L.E., Vallejo-Fernandez G. A new paradigm for exchange bias in polycrystalline thin films // J. Magn. Magn. mater. 2010. V. 322. № 8. P. 883–899.
- Maki S., Adachi K. Antiferromagnetism and Weak Ferromagnetism of Disordered bcc Cr–Mn Alloys // J. Phys. Soc. Japan. 1979. V. 46. № 4. P. 1131–1137.
- Venkatraman M., Neumann J.P. The Cr−Mn (Chromium-Manganese) system // Bulletin of Alloy Phase Diagrams. 1986. V. 7. № 5. P. 457–462.
- Feng W., Choi J., Dung D.D., Cho S., Hao X. Structural and magnetic phase diagrams of epitaxial Cr–Mn alloy thin films // J. Appl. Phys. 2010. V. 108. № 7. P. 073915.
- Soeya S., Hoshiya H., Fuyama M., Tadokoro S. Exchange coupling between ferromagnetic fcc Ni81Fe19 and antiferromagnetic bcc CrMnPt films // J. Appl. Phys. 1996. V. 80. № 2. P. 1006–1011.
- Xi H., White R.M. Exchange coupling of NiFe/CrMnPtx bilayers prepared by a substrate bias sputtering method // J. Appl. Phys. 2000. V. 87. № 1. P. 410–415.
- Soeya S., Hoshiya H., Arai R., Fuyama M. Effect of metallic additives (M) on the exchange coupling of antiferromagnetic CrMnMx films to a ferromagnetic Ni81Fe19 film // J. Appl. Phys. 1997. V. 81. № 9. P. 6488–6490.
- Васьковский В.О., Фещенко А.А., Москалев М.Е., Лепаловский В.Н., Кравцов Е.А., Горьковенко А.Н. Влияние буферных покрытий на структурное состояние и магнитные свойства пленок (Cr–Mn)/Fe // Журнал технич. физики. 2023. Т. 93. № 5. С. 679–686.
- Фещенко А.А., Москалев М.Е., Горьковенко А.Н., Лепаловский В.Н., Степанова Е.А., Кравцов Е.А., Васьковский В.О. Особенности проявления антиферромагнетизма сплава Cr–Mn в составе пленочных композитов типа (Cr–Mn)/Fe // ФТТ. 2023. Т. 65. № 6. С. 961–966.
- Radu F., Zabel H. Exchange bias effect of ferro-/antiferromagnetic heterostructures // Magnetic Heterostructures: Advances and Perspectives in Spinstructures and Spintransport. 2008. P. 97–184.
- Vas’kovskiy V.O., Kudyukov E.V., Svalov A.V., Balymov K.G., Maltseva V.E. Magnetic structure and macroscopic magnetic properties of Gd100–xCox films: Changing x from 0 to 100 // J. Magn. Magn. Mater. 2023. V. 565. P. 170254.
- Tsunoda M., Takahashi H., Takahashi M. Systematic Study for Magnetization Dependence of Exchange Anisotropy Strength in Mn–Ir/FM (FM = Ni–Co, Co–Fe, Fe–Ni) Bilayer System // IEEE Trans. Magn. 2009. V. 45. № 10. P. 3877–3880.
- Juraszek J., Fassbender J., Poppe S., Mewes T., Hillebrands B., Engel D., Kronenberger A., Ehresmann A., Schmoranzer H. Tuning exchange bias and coercive fields in ferromagnet/antiferromagnet bilayers with ion irradiation // J. Appl. Phys. 2002. V. 91. № 10. P. 6896–6898.
- Smilgies D.M. Scherrer grain-size analysis adapted to grazing-incidence scattering with area detectors // J. Appl. Crystal. 2009. V. 42. № 6. P. 1030–1034.
- Васьковский В.О., Кандаурова Г.С., Лепаловский В.Н., Сорокин А.Н., Тейтель Е.И., Щёголева Н.Н. Особенности электрических, магнитоэлектрических свойств и микроструктура пленок пермаллоя // Металлофизика. 1991. Т. 13. № 6. С. 107–115.
Supplementary files







