Магнитные свойства слоевых нанопроволок Ni/Cu
- Авторы: Бизяев Д.А.1, Хайретдинова Д.Р.2,3,4, Загорский Д.Л.2, Долуденко И.М.2, Панина Л.В.3,4, Бухараев А.А.1, Ризванова А.3
-
Учреждения:
- Казанский физико-технический институт им. Е.К. Завойского, ФИЦ Казанский научный центр РАН
- Федеральный научно-исследовательский центр “Кристаллография и фотоника” РАН
- Национальный исследовательский технологический университет МИСИС
- Балтийский федеральный университет им. Иммануила Канта
- Выпуск: Том 124, № 8 (2023)
- Страницы: 717-725
- Раздел: ЭЛЕКТРИЧЕСКИЕ И МАГНИТНЫЕ СВОЙСТВА
- URL: https://ogarev-online.ru/0015-3230/article/view/139485
- DOI: https://doi.org/10.31857/S0015323023600545
- EDN: https://elibrary.ru/PYDMJD
- ID: 139485
Цитировать
Полный текст
Аннотация
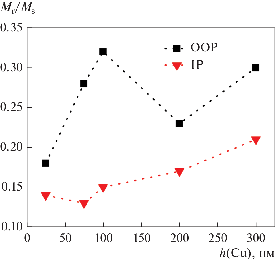
Исследованы магнитные свойства слоевых нанопроволок (НП), состоящих из чередующихся слоев никеля и меди. В таких структурах магнитные свойства определяются несколькими факторами – аспектным отношением ферромагнитых слоев, дипольным взаимодействием между соседними слоями внутри одной НП, а также взаимодействием соседних НП. Массивы НП были получены методом матричного синтеза. Слои никеля имели фиксированную толщину 400 нм, толщину слоев меди варьировали от 25 до 300 нм. Были изучены магнитные характеристики таких НП в двух состояниях: в матрице (интегральные магнитные характеристики, определяемые с помощью вибрационной магнитометрии) и для отдельных НП (локальная намагниченность, визуализируемая с помощью магнитной силовой микроскопии (МСМ)). Для НП в матрице петли гистерезиса, измеренные для двух направлений магнитного поля, становятся идентичными при увеличении толщины слоя Cu до 300 нм, что обусловлено ослаблением дипольного взаимодействия между слоями Ni внутри НП и усилением роли дипольного взаимодействия между соседними НП. При этом остаточная намагниченность возрастает при приложении поля параллельно плоскости матрицы. Методом МСМ изучены образцы с толщинами слоев Cu 300 нм. Поэтапно продемонстрировано, как приложение внешнего магнитного поля приводит к перемагничиванию. Выявлено, что перемагничивание пары НП происходит двухступенчатым образом, как для двухфазной системы с двумя характерными полями: Hc1 = 40–50 Э для образования пары с противоположным направлением намагниченности и Hc2 =160 Э для полного переключения намагниченности. Последнее значение близко к величине коэрцитивной силы для массива НП в матрице.
Ключевые слова
Об авторах
Д. А. Бизяев
Казанский физико-технический институт им. Е.К. Завойского, ФИЦ Казанский научный центр РАН
Email: hairetdr@gmail.com
Россия, 420029, Казань, ул. Сибирский тракт, 18
Д. Р. Хайретдинова
Федеральный научно-исследовательский центр “Кристаллография и фотоника” РАН; Национальный исследовательский технологический университет МИСИС; Балтийский федеральный университет им. Иммануила Канта
Email: hairetdr@gmail.com
Россия, 119333, Москва, Ленинский просп., 59; Россия, 119049, Москва, Ленинский просп., 4; Россия, 236041, Калининград, ул. А. Невского, 14
Д. Л. Загорский
Федеральный научно-исследовательский центр “Кристаллография и фотоника” РАН
Email: hairetdr@gmail.com
Россия, 119333, Москва, Ленинский просп., 59
И. М. Долуденко
Федеральный научно-исследовательский центр “Кристаллография и фотоника” РАН
Email: hairetdr@gmail.com
Россия, 119333, Москва, Ленинский просп., 59
Л. В. Панина
Национальный исследовательский технологический университет МИСИС; Балтийский федеральный университет им. Иммануила Канта
Email: hairetdr@gmail.com
Россия, 119049, Москва, Ленинский просп., 4; Россия, 236041, Калининград, ул. А. Невского, 14
А. А. Бухараев
Казанский физико-технический институт им. Е.К. Завойского, ФИЦ Казанский научный центр РАН
Email: hairetdr@gmail.com
Россия, 420029, Казань, ул. Сибирский тракт, 18
А. Ризванова
Национальный исследовательский технологический университет МИСИС
Автор, ответственный за переписку.
Email: hairetdr@gmail.com
Россия, 119049, Москва, Ленинский просп., 4
Список литературы
- Martin C.R. Nanomaterials: A membrane-based synthetic approach // Science. 1994. V. 268. № 5193. P. 1961–1966.
- Vazquez M. Magnetic nano- and microwires: design, synthesis, properties and applications. Amsterdam: Elsevier-Woodhead Publishing, 2015. 847 p.
- Wang P., Gao L., Wang L., Zhang D., Yang S., Song X., Qiu Z., Murakami R. Magnetic properties of FeNi nanowires arrays assembled on porous AAO template by AC electrodeposition// Int. J. Mod. Phys. B. 2010. V. 24. P. 2302–2307.
- Давыдов А.А., Волгин В.М. Темплатное электроосаждение металлов // Электрохимия. 2016. Т. 52. № 9. С. 905.
- Masuda H., Fukuda K. Ordered metal nanohole arrays made by a two-step replication of honeycomb structures of anodic alumina // Science. 1995. V. 268. № 5216. P. 1466–1468.
- Борисенко В.Е., Данилюк А.П., Мигас Д.Б. // Спинтроника. М.: Лаборатория знаний, 2017. 231 с.
- Lupu N. Electrodeposited Nanowires and Their Applications. Croatia: Intech, 2010. 228 p.
- Gandha K., Elkins K., Poudyal N., Liu X., Liu J.P. High Energy Product Developed from Cobalt Nanowires // Sci. Rep. 2014. V. 4. № 1. P. 5345.
- Samardak A.S., Sukovatitsina E.V., Ognev A.V., Chebotkevich L.A., Mahmoodi R., Peighambari S.M., Hosseini M.G., Nasirpouri F. High-density nickel nanowire arrays for data storage applications // J. Phys.: Conf. Ser. 2012. V. 345. № 1. P. 012011.
- Zamani Kouhpanji M.R., Ghoreyshi A., Visscher P.B., Stadler B.J.H. Facile decoding of quantitative signatures from magnetic nanowire arrays // Sci. Rep. 2020. V. 10. № 1. P. 15482.
- Zamani Kouhapanji M.R., Nemati Z., Modiano J.F., Franklin R.R., Stadler B.J.H. Realizing the principles for remote and selective detection of cancer cells using magnetic nanowires // J. Phys. Chem. B. 2021. V. 125. № 28. P. 7742–7749.
- Ivanov Y.P., Chuvilin A., Lopatin S., Kosel J. Modulated magnetic nanowires for controlling domain wall motion: toward 3D magnetic memories // ACS Nano. 2016. V. 10. № 5. P. 5326–5332.
- Um J., Zama Kouhpanji M.R., Liu S., Porshokouh Z.N., Sung S.Y., Kosel J., Stadler B. Fabrication of Long-Range Ordered Aluminum Oxide and Fe/Au Multilayered Nanowires for 3-D Magnetic Memory // IEEE Trans. Magn. 2020. V. 56. № 2. P. 1–6.
- Долуденко И.М., Михеев А.В., Бурмистров И.А., Трушина Д.Б., Бородина Т.Н., Букреева Т.В., Загорский Д.Л. Получение цилиндрических магнитных наночастиц для функционализации полиэлектролитных микрокапсул // ЖТФ. 2020. Т. 90. № 9. С. 1435–1441.
- Abdellahi M., Tajally M., Mirzaee O. The effect of the particle size on the heating and drug release potential of the magnetic nanoparticles in a novel point of view // J. Magn. Magn. Mater. 2021. V. 530. P. 167938.
- Zagorskiy D.L., Doludenko I.M., Chigarev S.G., Vilkov E.A., Kanevskii V.M., Panas A.I. Ensembles of layered nanowires, obtained by matrix synthesis technique, for generation of THz irradiation // IEEE Transactions on Magnetics. 2022. V. 58. № 2. P. 2 300 605.
- Chen M., Searson P.C. Micromagnetic behavior of electrodeposited Ni/Cu multilayer nanowires // J. Appl. Phys. 2003. V. 93. № 10. P. 8253–8255.
- Carignan L.-P., Lacroix C., Ouimet A., Ciureanu M., Yelon A., Ménard D. Magnetic anisotropy in arrays of Ni, CoFeB, and Ni/Cu nanowires // J. Appl. Phys. 2007. V. 102. № 2. P. 0239054.
- Moraes S., Navas D., Béron F., Proenca M.P., Pirota K.R., Sousa C.T., Araújo J.P. The Role of Cu Length on the Magnetic Behaviour of Fe/Cu Multi-Segmented Nanowires // Nanomaterials. 2018. V. 8. № 7. P. 490–502.
- Черкасов Д.А., Загорский Д.Л., Хайбуллин Р.И., Муслимов А.Э., Долуденко И.М. Структура и магнитные свойства слоевых нанопроволок из 3d-металлов, полученных методом матричного синтеза // ФТТ. 2020. Т. 62. № 9. С. 1531–1541.
- Nielsch K., Hertel R., Wehrspohn R.B. High-Density Nickel Nanowire Arrays / Ordered Porous Nanostructures and Applications. Nanostructure Science and Technology. Boston: Springer, 2005. P. 165–184.
- Ivanov Yu.P., Chuvilin A., Vivas L.G., Kosel J., Chubykalo-Fesenko O., Vázquez M. Single crystalline cylindrical nanowires – toward dense 3D arrays of magnetic vortices // Sci. Rep. 2016. V. 6. № 1. P. 23844.
- Бизяев Д.А., Бухараев А.А., Хайбуллин Р.И., Лядов Н.М., Загорский Д.Л., Бедин С.А., Долуденко И.М. Магнитно-силовая микроскопия металлических нанопроволок железа и никеля, полученных методом матричного синтеза // Микроэлектроника. 2018. Т. 47. № 3. С. 212–221.
- Liu R.S., Chang S.C., Hu S.F., Huang C.Y. Highly ordered magnetic multilayer Ni/Cu nanowires // Phys. Stat. Sol. 2006. V. 2. № 5. P. 1339–1342.
- Samardak A.Yu., Jeon Y.S., Kozlov A.G., Rogachev K.A., Ognev A.V., Jeong E., Kim G.W., Ko M.J., Samardak A.S., Kim Y.K. Inter-wire and Intra-wire Magnetostatic Interactions in Fe-Au Barcode Nanowires with Alternating Ferromagnetically Strong and Weak Segments // Small. 2022. P. 2203555.
- Marqués-Marchán J., Fernandez-Roldan J.A., Bran C., Puttock R., Barton C., Moreno J.A., Kosel J., Vazquez M., Kazakova O., Chubykalo-Fesenko O., Asenjo A. Distinguishing Local Demagnetization Contribution to the Magnetization Process in Multisegmented Nanowires // Nanomaterials. 2022. V. 12. № 12. P. 1968.
- Bochmann S., Döhler D., Trapp B., Stano M., Fruchart O., Bachmanna J. Preparation and physical properties of soft magnetic nickel-cobalt nanowires with modulated diameters // J. Appl. Phys. 2018. V. 124. № 16. P. 163 907.
- Zagorskiy D., Doludenko I., Zhigalina O., Khmelenin D., Kanevskiy V. Formation of nanowires of various types in the process of galvanic deposition of iron group metals into the pores of track membrane // Membranes. 2022. V. 12. № 2. P. 195.
- Bukharaev A.A., Biziaev D.A., Borodin P.A., Ovchinnikov D.V. In situ Magnetization Reversal Measurement of Magnetic Tips in a Magnetic Force Microscope // Phys. Low-Dim. Struc. 2004. V. 1. № 2. P. 153.
Дополнительные файлы









