Неоднородность процессов намагничивания в закаленном состоянии ленты аморфного сплава на основе кобальта
- Авторы: Скулкина Н.А.1, Некрасов Е.С.1
-
Учреждения:
- Уральский федеральный университет
- Выпуск: Том 124, № 8 (2023)
- Страницы: 703-709
- Раздел: ЭЛЕКТРИЧЕСКИЕ И МАГНИТНЫЕ СВОЙСТВА
- URL: https://ogarev-online.ru/0015-3230/article/view/139482
- DOI: https://doi.org/10.31857/S0015323023600648
- EDN: https://elibrary.ru/SQBUSW
- ID: 139482
Цитировать
Полный текст
Аннотация
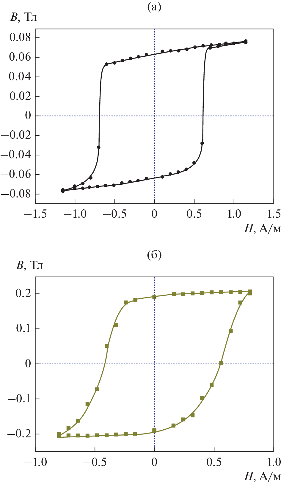
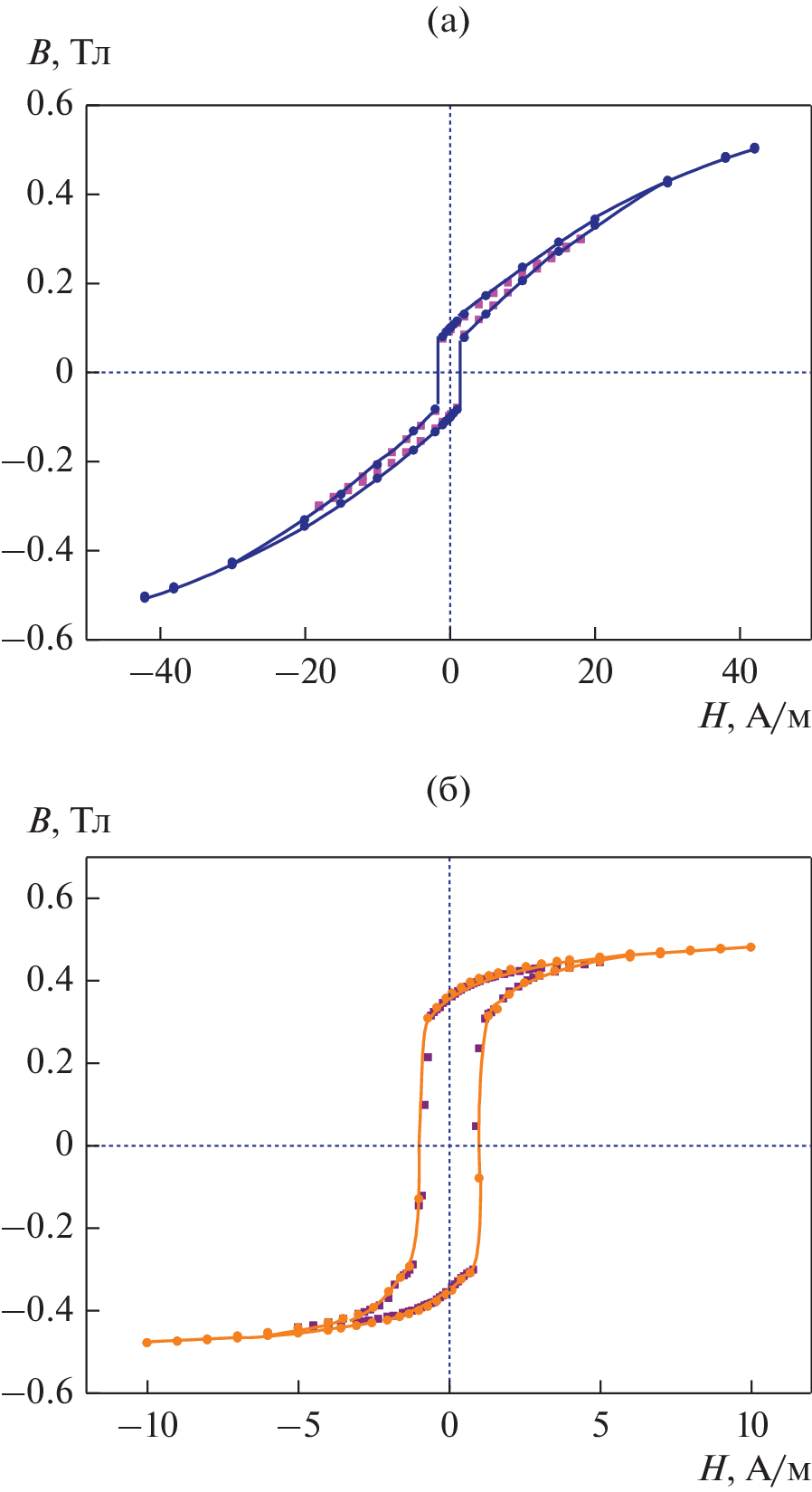
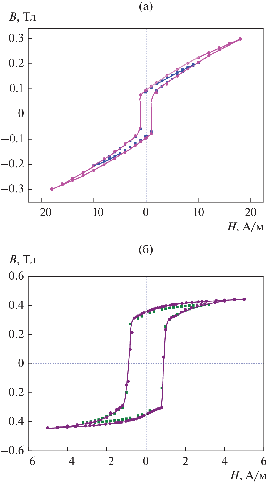
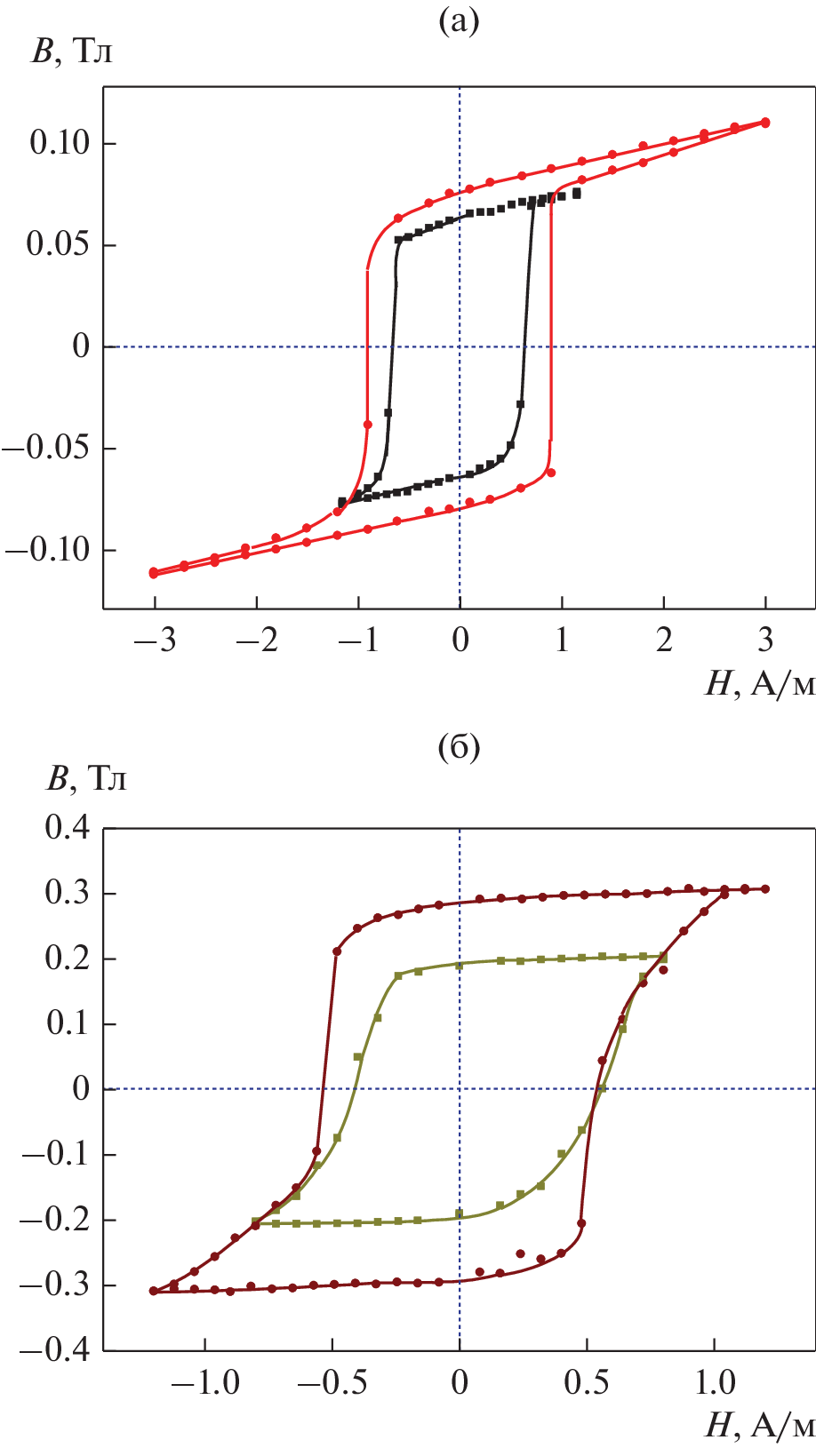
Представлены результаты исследования неоднородности процессов намагничивания в закаленном состоянии ленты аморфного магнитомягкого сплава на основе кобальта АМАГ-172 (Co–Ni–Fe–Cr–Mn–Si–B). Исследования показали, что первопричиной неоднородности магнитных характеристик и процессов намагничивания является неоднородность внутренних закалочных напряжений. Косвенной характеристикой таких напряжений служит объем доменов с ортогональной намагниченностью. В области смещения 180-градусных доменных границ обнаружены бимодальная полевая зависимость магнитной проницаемости и полевой сдвиг петель гистерезиса, которые являются следствием неоднородности ленты по ее толщине. Полевой сдвиг и асимметрия формы петель гистерезиса находят объяснение в рамках формирования однонаправленной обменной анизотропии на поверхности раздела ферромагнитной и антиферромагнитной фаз компонент планарной намагниченности, ориентированных вдоль оси ленты. Исчезновение полевого сдвига и асимметрии петель гистерезиса по ширине ленты может быть интерпретировано уменьшением толщины оксидного антиферромагнитного слоя CoO из-за различия концентраций и глубины проникновения внедренных в поверхность ленты атомов кислорода и водорода при изготовлении ленты в результате взаимодействия с атмосферным паром.
Об авторах
Н. А. Скулкина
Уральский федеральный университет
Email: nadezhda.skulkina@urfu.ru
Россия, 620002, Екатеринбург, ул. Мира, 19
Е. С. Некрасов
Уральский федеральный университет
Автор, ответственный за переписку.
Email: nadezhda.skulkina@urfu.ru
Россия, 620002, Екатеринбург, ул. Мира, 19
Список литературы
- Скулкина Н.А., Некрасов Е.С., Денисов Н.Д., Кузнецов П.А., Мазеева А.К. Неоднородность магнитных характеристик аморфного сплава на основе кобальта в закаленном состоянии // ФММ. 2021. Т. 122. № 11. С. 1135–1141. https://doi.org/10.31857/S0015323021110140
- Dai J., Wang Y.G., Yang L., Xia G.T., Zeng Q.S., Lou H.B. Structural aspects of magnetic softening in Fe-based metallic glass during annealing // Scr. Mater. 2017. V. 127. P. 88–91.
- Орлова Н.Н. Влияние механических напряжений на структуру, фазовые превращения и свойства аморфных сплавов / Дис. … канд. физ.-мат. наук. 01.04.07. Институт физики твердого тела РАН. Черноголовка, 2014. 133 с.
- Evenson Z., Koschine T., Wei S., Gross O., Bednarcik J., Gallino I., Kruzic J.J., Rätzke K., Faupel F., Busch R. The effect of low-temperature structural relaxation on free volume and chemical short-range ordering in a Au49Cu26.9Si16.3Ag5.5Pd2.3 bulk metallic glass // Scr. Mater. 2015. V. 103. P. 14–17.
- Nagel C., Rätzke K, Schmidtke E., Wolff J. Free-volume changes in the bulk metallic glass Zr46.7Ti8.3Cu7.5Ni10B27.5 and the undercooled liquid // Phys. Rev. B. 1998. V. 57. № 17. P. 10224.
- Скулкина Н.А., Иванов О.А., Павлова И.О., Минина О.А. Длительность изотермической выдержки во время термообработки на воздухе и магнитные свойства лент аморфных магнитомягких сплавов на основе железа // ФММ. 2011. Т. 112. № 6. С. 613–619.
- Скулкина Н.А., Иванов О.А., Павлова И.О., Минина О.А. Влияние параметров термообработки на магнитные свойства и распределение намагниченности в лентах аморфных магнитомягких сплавов на основе железа // ФММ. 2013. Т. 114. № 5. С. 411–418.
- Скулкина Н.А., Иванов О.А., Шубина Л.Н., Блинова О.В. Распределение намагниченности в исходном состоянии ленты аморфного магнитомягкого сплава и эффективность термической обработки // ФММ. 2016. Т. 117. № 11. С. 1121–1129. https://doi.org/0.7868/S0015323016110127
- Скулкина Н.А. Распределение намагниченности и магнитные свойства кристаллических, аморфных и нанокристаллических магнитомягких материалов / Дис. …д-ра. физ.-мат. наук. 01.04.11. Уральский государтвенный университет, Екатеринбург, 2008, 340 с.
- Скулкина Н.А., Иванов О.А., Мазеева А.К., Кузнецов П.А., Степанова Е.А., Блинова О.В., Михалицына Е.А., Денисов Н.Д., Чекис В.И. Влияние полимерного покрытия и прессующего давления на магнитные свойства аморфных сплавов на основе кобальта // ФММ. 2017. Т. 118. № 12. С. 1248–1256. https://doi.org/10.7868/S0015323017120026
- Яминский И. В., Тишин А. М. Магнитная силовая микроскопия поверхности // Успехи химии. 1999. Т. 68. № 3. С. 194–205.
- Kools J.C.S. Exchange-Biased Spin-Valves for Magnetic Storage // IEEE Trans. Magn. 1996. V. 4(32). P. 3165–3184.
- Dan Dahlberg E., Miller B., Hill B., Jonsson B. J., Strom V., Rao K.V., Nogues J., Schuller I.K. Measurements of the ferromagnetic/antiferromagnetic interfacial exchange energy in CO/CoO and Fe/FeF2 // J. Appl. Phys. 1998. V. 83. P. 6893.
- Berkowitz A.E., Takano K. Exchange anisotropy // J. Magn. Magn. Mat. 1999. V. 200. P. 552–570.
- Чернышова Т.А. Магнитные и магниторезистивные свойства спиновых клапанов с синтетическим ферримагнетиком и микрообъектов на их основе: Дис. … канд. физ.-мат. наук: 01.04.11: Институт физики металлов им. М.Н. Михеева УрО РАН, Екатеринбург. 2018. 149 с.
- Shaikh A.K., Wexler D., Delamore G.W. Effect of annealing on the magnetic properties and microstructure of amorphous Co75Si10B15 // J. Magnetism and Magnetic Materials. 1996. V. 152. № 3. P. 345–352. https://doi.org/10.1016/0304-8853(95)00480-7
- Flanders P.J., Liebermann H.H., Graham C.D. Changes in curie temperature, physical dimensions, and magnetic anisotropy during annealing of amorphous magnetic alloys // IEEE Trans. Magn. 1977. V. 13. № 5. P. 1541–1543.
- Bulavin L.A., Karbivskyy V., Artemyuk V., Karbivska L. Relaxation and vitrification processes of disordered iron-based systems // Springer Proceed. Phys. 2018. V. 197. P. 331–372.
- Masanori Fujinami Yusuke Ujihira. Transmission and conversion electron Mossbauer studies of the crystallization transformation in the quaternary amorphous Fe80.5B12Si(4.5 + x)C3x (x = 0, 2) ribbons // J. Non-Cryst. Solids. 1985. V. 69. P. 361–369.
Дополнительные файлы









