Магнитные свойства и структура сплава Fe63.5Mn10Cu1Nb3Si13.5B9, нанокристаллизованного в присутствии растягивающих напряжений
- Авторы: Лукшина В.А.1, Дмитриева Н.В.1, Волкова Е.Г.1, Шишкин Д.А.1,2
-
Учреждения:
- Институт физики металлов УрО РАН
- Уральский федеральный университет
- Выпуск: Том 124, № 9 (2023)
- Страницы: 811-820
- Раздел: ЭЛЕКТРИЧЕСКИЕ И МАГНИТНЫЕ СВОЙСТВА
- URL: https://ogarev-online.ru/0015-3230/article/view/139481
- DOI: https://doi.org/10.31857/S0015323023601137
- EDN: https://elibrary.ru/EDKVHI
- ID: 139481
Цитировать
Полный текст
Аннотация
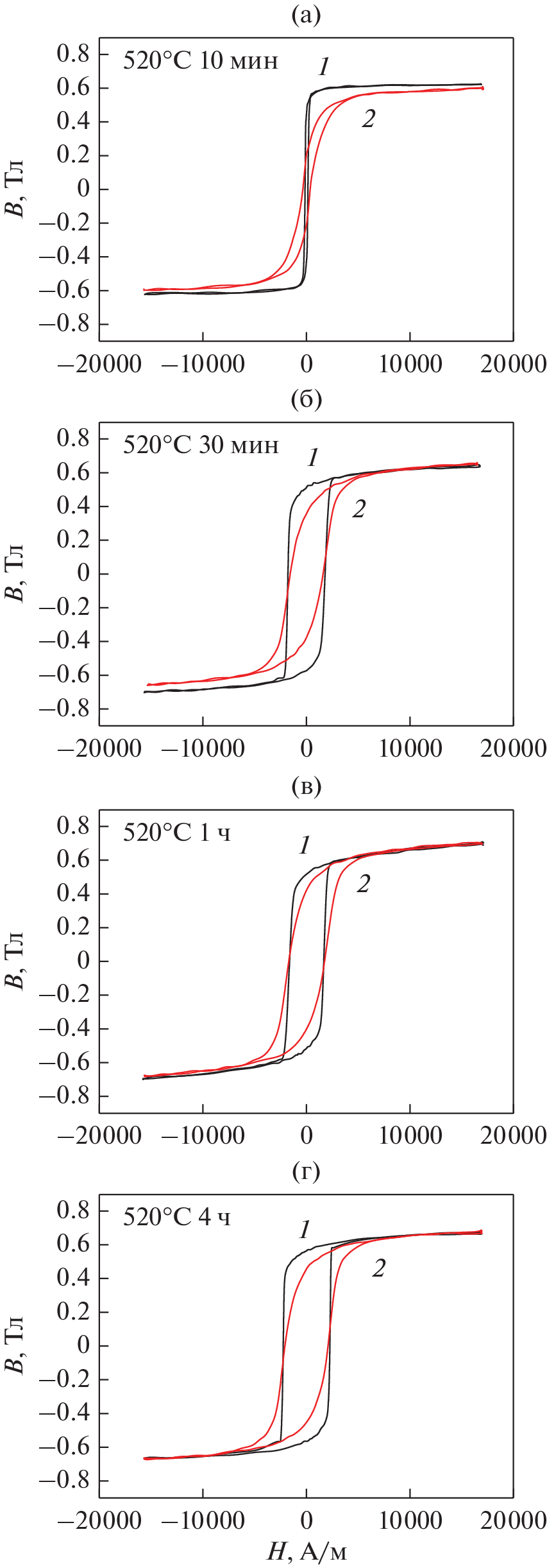
Изучено влияние введения 10 ат. % Mn за счет Fe в классический Файнмет (Fe73.5Cu1Nb3Si13.5B9) на его магнитные свойства, магнитную анизотропию и структуру после нанокристаллизующего отжига при 520°C продолжительностью от 10 мин до 4 ч в присутствии растягивающих напряжений σ = = 200 МПа и без них. Показано, что в сплаве Fe63.5Mn10Cu1Nb3Si13.5B9, как и в классическом Файнмете, отжиг в присутствии растягивающих напряжений приводит к наведению поперечной магнитной анизотропии, однако константа наведенной магнитной анизотропии уменьшается в 4 раза. Коэрцитивная сила сплава с Mn растет с увеличением продолжительности отжига как в присутствии растягивающих напряжений, так и без них, в то время как у Файнмета практически не меняется. Показано, что в сплаве с Mn уже после 10-минутных обработок наряду с твердым раствором α-Fe(Si,Mn) и фазой Fe3Si образуются бориды. Это приводит к изменению соотношения объемных долей компонентов структуры с отрицательной и положительной магнитострикцией, что, скорее всего, вызывает уменьшение константы наведенной магнитной анизотропии сплава с Mn. Показано также, что средний размер зерна в сплаве с Mn растет с увеличением продолжительности обработок, что совместно с образованием боридов приводит к росту коэрцитивной силы.
Ключевые слова
Об авторах
В. А. Лукшина
Институт физики металлов УрО РАН
Email: lukshina@imp.uran.ru
Россия, 620108, Екатеринбург, ул. С. Ковалевской, 18
Н. В. Дмитриева
Институт физики металлов УрО РАН
Email: lukshina@imp.uran.ru
Россия, 620108, Екатеринбург, ул. С. Ковалевской, 18
Е. Г. Волкова
Институт физики металлов УрО РАН
Email: lukshina@imp.uran.ru
Россия, 620108, Екатеринбург, ул. С. Ковалевской, 18
Д. А. Шишкин
Институт физики металлов УрО РАН; Уральский федеральный университет
Автор, ответственный за переписку.
Email: lukshina@imp.uran.ru
Россия, 620108, Екатеринбург, ул. С. Ковалевской, 18; Россия, 620002, Екатеринбург, ул. Мира, 19
Список литературы
- Yoshizawa Y., Oguma S., Yamauchi K. New Fe-based Soft Magnetic Alloys Composed of Ultrafine Grain Structure // J. Appl. Phys. 1988. V. 64. P. 6044–6046.
- Herzer G. Nanocrystalline soft magnetic Alloys, in: K.H.J. Buschow (Ed.), Hand-book of Magnetic Materials, Vacuum-schmelze, Hanau, 1997. V. 10. P. 415.
- Fiorillo F., Bertotti G., Appino C., Pasquale M. Soft Magnetic Materials, in: Wiley Encyclopedia of Electrical and Electronics Engineering, John Wiley & Sons Inc., Hoboken, 2016. P. 1.
- Muller M., Harada H., Warlimont H. Magnetic Materials, in: H. Warlimont, W. Martienssen (Eds.), Springer Handbook of Materials Data, second ed. Springer International Publishing. New York, 2018. 753 p.
- Kolano-Burian A., Varga L.K., KolanoR., Kulik T., Szynowski J. High Frequency soft magnetic properties of finemet mobified by Co // JMMM. 2007. V. 316. P. e820–e822.
- Gercsi Zs., Mazaleyrat F., Varga L.K. High-temperature soft magnetic properties of Co-doped nanocrystalline alloys // JMMM. 2006. V. 302 (2). P. 454–458.
- Volchkov S.O., Lukshina V.A., Zakharova A.A., Potapov A.P., Volkova E.G. Structure, Magnetic Properties, and Magnetoimpedance of the Fe73.5−xCrxSi13.5B9Nb3Cu1 (x = 0 to 5) Alloys // IEEE Trans. Magn. 2014. V. 50 (11). P. 007504.
- Lukshina V.A., Dmitrieva N.V., Cerderia M.A., Potapov A.P. Stress-induced magnetic anisotropy in Fe-based nanocrystalline alloy with addition of 1–5 at. % Cr // Journal of Alloys and Compounds. 2012. V. 536S. P. S374–S376.
- Agudo P., Vázguez M. Influence of Ni on structural and magnetic properties of Fe73.5–xNixSi13.5B9Nb3Cu1 (0 ≤ x ≤ 25) alloys // J. Appl. Phys. 2005. V. 97. P. 023901.
- Duhaj P., Švec P., Sitec J., Janičkovič D. Thermodinamic, kinetic and structural aspects of the formation of nanocrystalline phases in Fe73.5–xNixCu1Nb3Si13.5B9 alloys // Mater. Sci. Eng. 2001. V. A304–306. P. 178–186.
- Катаев В.А., Стародубцев Ю.Н., Михалицына Е.А., Белозеров В.Я., Цынгалов Р.В. Магнитные свойства и индуцированная анизотропия в нанокристаллическом сплаве Fe72.5–xNixCu1.1Nb1.9Mo1.5Si14.3B8.7 // ФММ. 2017. Т. 118. № 6. С. 589–594.
- Yoshizawa Y., Fujii S., Ping D.H., Ohnuma M., Hono K. Magnetic properties of nanocrystalline FeMCuNbSiB alloys (M: Co, Ni) // Scr. Mater. 2003. V. 48. P. 863–868.
- Brzozowski R., Wasiak M., Piekarski H., Sovakc P., Uznański P., Moneta M.E. Properties of Mn-doped FINEMET // Journal of Alloys and Compounds. 2009. V. 470. P. 5–11.
- Moneta M.E., Brzozowski R., Wasiak M., Uznański P. Properties of FINEMET with Fe partially replaced by Mn // Nuclear Instruments and Methods in Physics Research B. 2009. V. 267. P. 411–414.
- Gomez-Polo C., Pérez-Landazábal J.I., Recarte V., Mendoza Zélis P., Li Y.F., Vazquez M. Magnetic properties of Mn-doped finemet nanocrystalline alloy // J. Magn. Magn. Mater. 2005. V. 290–291. P. 1517–1519.
- Bayri N., Izgi T., Gencer H., Sovak P., Gunes M., Atalay S. Crystallization kinetics of Fe73.5–xMnxCu1Nb3Si13.5B9 (x = 0, 1, 3, 5, 7) amorphous alloys // Journal of Non-Crystalline Solids. 2009. V. 355. P. 12–16.
- Дмитриева Н.В., Лукшина В.А., Волкова Е.Г., Клейнерман Н.М., Сериков В.В., Потапов А.П. Наведенная магнитная анизотропия и структура нанокристаллических сплавов Fe–Co–Cu–Nb–Si–B с различным содержанием Co. Часть 1. Магнитная анизотропия, наведенная отжигом под нагрузкой, и ее термическая стабильность // ФММ. 2009. Т. 107. № 4. С. 376–382.
- Клейнерман Н.М., Сериков В.В., Лукшина В.А., Волкова Е.Г., Дмитриева Н.В., Потапов А.П. Наведенная магнитная анизотропия и структура нанокристаллических сплавов Fe-Co-Cu-Nb-Si-B с различным содержанием Co. Часть 2. Структура сплавов c наведенной магнитной анизотропией // ФММ. 2009. Т. 107. № 5. С. 482–489.
- Лукшина В.А., Дмитриева Н.В., Волкова Е.Г., Шишкин Д.А. Магнитные свойства сплава Fe63.5Ni10Cu1Nb3Si13.5B9, нанокристаллизованного в присутствии растягивающих напряжений // ФММ. 2019. Т. 120. № 4. С. 346–351.
- Лукшина В.А., Дмитриева Н.В., Волкова Е.Г., Шишкин Д.А. Структура сплава Fe63.5Ni10Cu1Nb3Si13.5B9, нанокристаллизованного в присутствии растягивающих напряжений // ФММ. 2019. Т. 120. № 12. С. 1243–1249.
- Лукшина В.А., Дмитриева Н.В., Волкова Е.Г., Шишкин Д.А. Магнитные свойства и структура сплава Fe63.5Ni10Cu1Nb3Si13.5B9 с наведенной магнитной анизотропией // ФММ. 2021. Т. 122. № 6. С. 574–580.
- Yoshizawa Y., Yamauchi K. Fe-based soft magnetic alloys composed of ultrafine grain structure // Mater. Trans. JIM. 1990. V. 31. P. 307–314.
- Глазер А.А., Клейнерман Н.М., Лукшина В.А., Потапов А.П., Сериков В.В. Термомеханическая обработка нанокристаллического сплава Fe73.5Cu1Nb3Si13.5B9 // ФММ. 1991. № 12. С. 56–61.
- Shiskin D.A. // Mater. Res. Express. 2019. V. 6. P. 025201.
- Noh T.H., Lee M.B., Kim H.J., Kang I.K. Relationship between crystallization process and magnetic properties of Fe(CuNb)SiB amorphous alloys // J. Appl. Phys. 1990. V. 67 (9). P. 5568–5570.
- Ohnuma M., Hono K., Yanai T., Nakano M., Fukunaga H., Yoshizawa Y. Origin of the magnetic anisotropy induced by stress annealing in Fe-based nanocrystalline alloy // Appl. Phys. Lett. 2005. V. 86. P. 152513(1–3).
- Ершов Н.В., Лукшина В.А., Федоров В.И., Дмитриева Н.В., Черненков Ю.П., Потапов А.П. Влияние термомагнитной и термомеханической обработки на магнитные свойства и структуру магнитомягкого нанокристаллического сплава Fe81Si6Nb3B9Cu1 // ФТТ. 2013. Т. 55. № 3. С. 460–470.
- Сериков В.В., Клейнерман Н.М., Волкова Е.Г., Лукшина В.А., Потапов А.П., Свалов А.В. Структура и магнитные свойства нанокристаллических сплавов системы FeCuNbSiB после термомеханической обработки // ФММ. 2006. Т. 102. № 3. С. 290–295.
- Черненков Ю.П., Ершов Н.В., Федоров В.И., Лукшина В.А., Потапов А.П. Рентгенодифракционные исследования структуры нанокристаллов в магнитомягких сплавах Fe63.5 Ni10Cu1Nb3Si13.5B9 до и после термомеханической обработки // ФТТ. 2010. Т. 52. № 3. С. 514–519.
Дополнительные файлы













