Гелимагнитная и кристаллографическая текстуры роста нанослоев диспрозия на буферных слоях Co90Fe10, Nb и β-Ta
- Авторы: Наумова Л.И.1,2, Заворницын Р.С.1,2, Миляев М.А.1,2, Девятериков Д.И.1, Русалина А.С.2, Криницина Т.П.1, Павлова А.Ю.1, Проглядо В.В.1, Устинов В.В.1,2
-
Учреждения:
- Институт физики металлов УрО РАН
- Уральский Федеральный Университет, ИЕНиМ
- Выпуск: Том 124, № 8 (2023)
- Страницы: 692-702
- Раздел: ЭЛЕКТРИЧЕСКИЕ И МАГНИТНЫЕ СВОЙСТВА
- URL: https://ogarev-online.ru/0015-3230/article/view/139479
- DOI: https://doi.org/10.31857/S0015323023600600
- EDN: https://elibrary.ru/QDWNCA
- ID: 139479
Цитировать
Полный текст
Аннотация
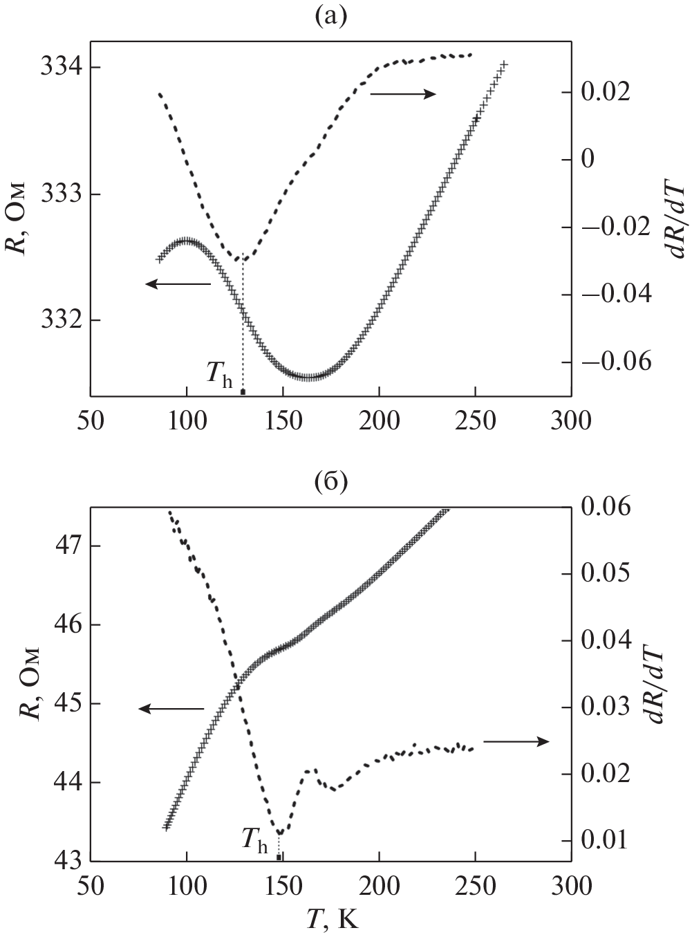
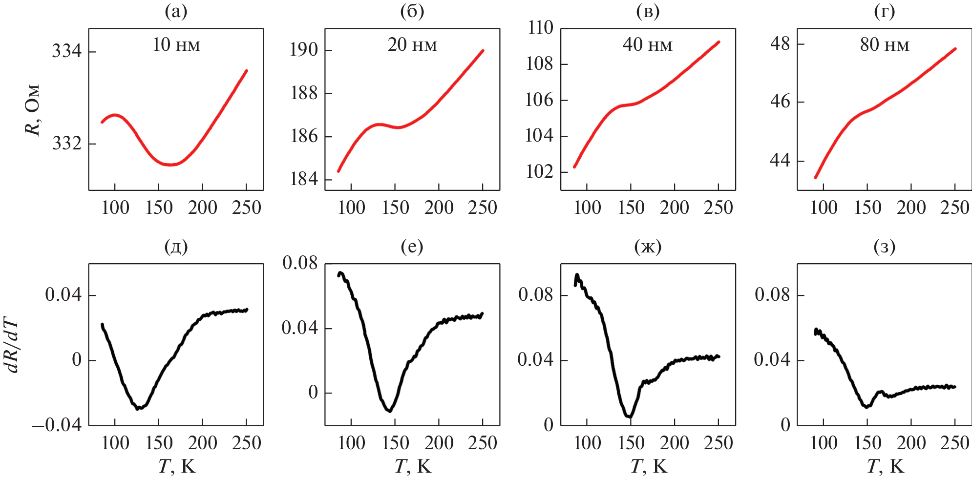
Нанослои диспрозия различной толщины изготовлены методом магнетронного напыления на подложках Al2O3(R), а также с использованием буферных слоев Co90Fe10, β-Ta и Nb. Исследована корреляция между характером кристаллографической текстуры и особенностями температурных зависимостей электросопротивления поликристаллических пленок диспрозия. Установлено, что при напылении Dy непосредственно на Al2O3(R) в нанослое редкоземельного металла формируется двухкомпонентная текстура. В одной компоненте гексагональная ось параллельна, а в другой – перпендикулярна плоскости пленки. Показано, что при напылении Dy на буферный слой β-Ta происходит согласование микроструктур Al2O3 и Dy через β-Ta, и совершенство двухкомпонентной текстуры возрастает. В антиферромагнитном состоянии компоненты текстуры становятся “фазами” с разной ориентацией оси магнитной геликоиды, и антиферромагнитное упорядочение происходит при разных температурах.
Ключевые слова
Об авторах
Л. И. Наумова
Институт физики металлов УрО РАН; Уральский Федеральный Университет, ИЕНиМ
Email: naumova@imp.uran.ru
Россия, 620990, Екатеринбург, ул. С. Ковалевской, 18; Россия, 620002, Екатеринбург, ул. Мира, 19
Р. С. Заворницын
Институт физики металлов УрО РАН; Уральский Федеральный Университет, ИЕНиМ
Email: naumova@imp.uran.ru
Россия, 620990, Екатеринбург, ул. С. Ковалевской, 18; Россия, 620002, Екатеринбург, ул. Мира, 19
М. А. Миляев
Институт физики металлов УрО РАН; Уральский Федеральный Университет, ИЕНиМ
Email: naumova@imp.uran.ru
Россия, 620990, Екатеринбург, ул. С. Ковалевской, 18; Россия, 620002, Екатеринбург, ул. Мира, 19
Д. И. Девятериков
Институт физики металлов УрО РАН
Email: naumova@imp.uran.ru
Россия, 620990, Екатеринбург, ул. С. Ковалевской, 18
А. С. Русалина
Уральский Федеральный Университет, ИЕНиМ
Email: naumova@imp.uran.ru
Россия, 620002, Екатеринбург, ул. Мира, 19
Т. П. Криницина
Институт физики металлов УрО РАН
Email: naumova@imp.uran.ru
Россия, 620990, Екатеринбург, ул. С. Ковалевской, 18
А. Ю. Павлова
Институт физики металлов УрО РАН
Email: naumova@imp.uran.ru
Россия, 620990, Екатеринбург, ул. С. Ковалевской, 18
В. В. Проглядо
Институт физики металлов УрО РАН
Email: naumova@imp.uran.ru
Россия, 620990, Екатеринбург, ул. С. Ковалевской, 18
В. В. Устинов
Институт физики металлов УрО РАН; Уральский Федеральный Университет, ИЕНиМ
Автор, ответственный за переписку.
Email: naumova@imp.uran.ru
Россия, 620990, Екатеринбург, ул. С. Ковалевской, 18; Россия, 620002, Екатеринбург, ул. Мира, 19
Список литературы
- Fust S., Mukherjee S., Paul N., Stahn J., Kreuzpaintner W., Böni P., Paul A. Realizing topological stability of magnetic helices in exchange- coupled multilayers for all spin-based system // Sci. Reports. 2016. V. 6. P. 1–14.
- Tamion A., Ott F., Berche P.-E., Talbot E., Bordel C., Blavette D. Magnetization depth profile of (Fe/Dy) multilayers // JMMM. 2008. V. 320. P. 2650–2659.
- Svalov A.V., Kurlyandskaya G.V., Vas’kovskiy V.O. Thermo-sensitive spin valve based on layered artificial ferrimagnet // Appl. Phys. Lett. 2016. V. 108. P. 063504.
- Svalov A.V., Vas’kovskiy V.O., Kurlyandskaya G.V. Influence of the Size and Structural Factors on the Magnetism of Multilayer Films Based on 3d and 4f Metals // Phys. Met. Metal. 2017. V. 118. № 13. P. 1263–1299.
- Ali Akbar, Murtaza Saleem, Shahid Atiq, Muhammad Sabieh Anwar. Magnetic Dynamics and All-Optical Switching in 5 nm Dy–Fe Nanostructures // IEEE Trans. on Magn. 2018. V. 54. P. 2–11.
- Kim M., Hupalo M., Tringides M.C., Thiel P.A., Hoand K-M., Wang C-Z. Controlling selective nucleation and growth of dysprosium islands on graphene by metal intercalation // Phys. Rev. Mater. 2022. V. 6. P. 094003 (1–8).
- Белов К.П., Левитин Р.З., Никитин С.А. Ферро- и антиферромагнетизм редкоземельных металлов // УФН. 1964. Т. 82. № 3. С. 449–498.
- Wilkinson M.K., Koehler W.C., Wollan E.O., Cable J.W. Neutron diffraction investigation of magnetic ordering in dysprosium // J. Appl. Phys. 1961. V. 32. P. 48–49.
- Dumesnil K., Dufour C., Mangin Ph., Marchal G. Magnetic structure of dysprosium in epitaxial Dy films and in Dy/Er superlattices // Phys. Rev. B. 1996. V. 54. P. 6407–6420.
- Заворницын Р.С., Наумова Л.И., Миляев М.А., Макарова М.В., Криницина Т.П., Проглядо В.В., Устинов В.В. Неколлинеарное магнитное упорядочение в слое диспрозия и магнитотранспортные свойства спинового клапана, содержащего структуру CoFe/Dy/CoFe //ФММ. 2020. Т. 121. С. 688–694.
- Scheunert G., Ward C., Hendren W.R., Lapicki A.A., Hardeman R., Mooney M., Gubbins M. and Bowman R.M. Influence of strain and polycrystalline ordering on magnetic properties of high moment rare earth metals and alloys // J. Phys. D: Appl. Phys. 2014. V. 47. № 1. P. 415 005 (13 pp.).
- Девятериков Д.И., Кравцов Е.А., Проглядо В.В., Жакетов В.Д., Никитенко Ю.В. Исследование гелимагнетизма в тонких пленках Dy и Ho методом нейтронной рефлектометрии // Поверхность. Рентгеновские, синхротронные и нейтронные исследования. 2021. Т. 6. С. 3–9.
- Девятериков Д.И., Васьковский В.О., Жакетов В.Д., Кравцов Е.А., Макарова М.В., Проглядо В.В., Степанова Е.А., Устинов В.В. Магнитные свойства тонких пленок Dy, выращенных на подложках Al2O3 с различной кристаллографической ориентацией //ФММ. 2020. Т. 121. С. 1229–1233.
- Rhyne J.J., McGuire T.R. Magnetism of Rare-Earth Elements, Alloys, and Compounds // IEEE Trans. on Magn. 1972. V. Mag-8. P. 105–130.
- Hall P.M., Legvold S. and Spedding F.H. Electrical Resistivity of Dysprosium Single Crystals // Phys.Rev. 1960. V. 117. P. 971–973.
- Boys D.W., Legvold S. Thermal Conductivities and Lorenz Functions of Dy, Er, and Lu Single Crystals // Phys. Rev. 1968. V. 174. P. 377–384.
- Вонсовский С.В., Изюмов Ю.А. Электронная теория переходных металлов I // УФН. 1962. Т. LXXVII. С. 377–446.
- Naumova L.I., Milyaev M.A., Zavornitsyn R.S., Krinitsina T.P., Proglyado V.V., Ustinov V.V. Spin valve with a composite dysprosium-based pinned layer as a tool for determining Dy nanolayer helimagnetism // Current Appl. Phys. 2019. V. 19. P. 1252–1258.
- Ustinov V.V., Bebenin N.G., Yasyulevich I.A. Spin current polarization and electrical conductivity in metal helimagnets // J. Phys.: Conf. Ser. 2019. V. 1389. P. 012 151.
- Ustinov V.V., Yasyulevich I.A. Electrical magnetochiral effect and kinetic magnetoelectric effect induced by chiral exchange field in helical magnetics // Phys. Rev.B. 2020. V. 102. P. 134421.
- Ustinov V.V., Yasyulevich I.A. Chirality-dependent spin-transfer torque and current-induced spin rotation in helimagnets // Phys. Rev. B. 2022. V. 106. P. 64417–64428.
- Scheunert G., Hendren W.R., Lapicki A.A., Jesudoss P., Hardeman R., Gubbins M., Bowman R.M. Improved magnetization in sputtered dysprosium thin films // J. Phys. D: App. Phys. 2013. V. 46. P. 152001.
- Наумова Л.И., Миляев М.А., Заворницын Р.С., Криницина Т.П., Чернышова Т.А., Проглядо В.В., Устинов В.В. Магнитотранспортные свойства псевдо спиновых клапанов в условиях интердиффузии слоев диспрозия и ферромагнитного сплава CoFe // ФММ. 2019. Т. 120. № 5. С. 464–470.
- Zuo J.D., Wang Y.Q., Wu K., Zhang J.Y., Liu G., Sun J. Phase tailoring of Ta films via buffer layer-thicknesses controlling // Scripta Mater. 2022. V. 212. P. 114582.
- Magnuson M., Greczynski G., Eriksson F., Hultman L., Högberg H. Electronic Structure of b-Ta Films from X-ray Photoelectron Spectroscopy and First-principles Calculations // Appl. Sulf. Sci. 2019. V. 470. P. 607–612.
- Ellis Elizabeth A.I., Chmielus M., Baker Shefford P. Effect of sputter pressure on Ta thin films: Beta phase formation, texture, and stresses // Acta Mater. 2018. V. 150. P. 317–326.
- Никитин С.А. Магнитные свойства редкоземельных металлов и их сплавов. М.: Изд-во МГУ, 1989. 248 с.
- Белов К.П., Катаев Г.И., Левитин Р.З., Никитин С.А., Соколов В.И. Гигантская магнитострикция // УФН. 1983. Т. 140. № 2. С. 271–313.
- Lee E.W., Alberts L. The Magnetostriction of Dysprosium Metal // Proc. Phys. Soc. 1962. V. 79. P. 977–980.
- Legvold S., Alstad J., and Rhyne J. Giant magnetostriction in dysprosium and holmium single crystals // Phys. Rev. Let. 1963. V. 10. P. 509–511.
- Samudrala G.K., Tsoi G.M., Weir S.T., Vohra Y.K. Magnetic ordering temperatures in rare earth metal dysprosium under ultrahigh pressures // High Pressure Research: An International J. 2014. V. 34. P. 266–272.
- Greenough R.D., Isci C., Palmer S.B. The influence of internal strain on the neel temperature of rare earth metals // Physica. 1977. V. 86–88B. P. 61–62.
- Yoshida H., Abe S., Kaneko T. and Kamigaki K. Pressure effect on the Neel temperature of GdCu, GdAg, TbCu and TbAg // JMMM. 1987. V. 70. P. 275–276.
- Dumesnil K., Dufour C., Mangin P., Marchal G., Hennion M. Magnetoelastic and Exchange Contributions to the Helical-Ferromagnetic Transition in Dysprosium Epitaxial Films // Europhys. Lett. 1995. V. 31. P. 43–48.
Дополнительные файлы














