Электронная структура и оптическая спектроскопия соединений ErNi2Mnx
- Авторы: Князев Ю.В.1, Лукоянов А.В.1,2, Кузьмин Ю.И.1, Герасимов Е.Г.1,2, Мушников Н.В.1,2
-
Учреждения:
- Институт физики металлов УрО РАН
- Уральский федеральный университет им. Б.Н. Ельцина
- Выпуск: Том 124, № 5 (2023)
- Страницы: 363-368
- Раздел: ЭЛЕКТРИЧЕСКИЕ И МАГНИТНЫЕ СВОЙСТВА
- URL: https://ogarev-online.ru/0015-3230/article/view/139434
- DOI: https://doi.org/10.31857/S0015323023600351
- EDN: https://elibrary.ru/OLQYNU
- ID: 139434
Цитировать
Полный текст
Аннотация
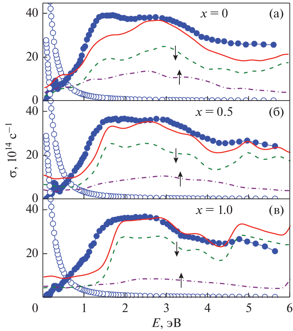
Выполнены исследования электронной структуры и оптических свойств нестехиометрических соединений ErNi2Mnx (х = 0, 0.5, 1). Спин-поляризованные расчеты полных и парциальных плотностей электронных состояний проведены в рамках метода DFT + U с поправкой на сильные электронные корреляции в 4f-оболочке Er в приближении твердых растворов ErNi2 – xMnx. Установлены особенности их трансформации при изменении содержания марганца. В широком диапазоне длин волн исследованы оптические свойства данных соединений. Вычисленные спектры межзонной оптической проводимости сопоставлены с экспериментально полученными зависимостями. Обсуждается природа квантового поглощения света. Определены плазменные и релаксационные частоты носителей тока.
Ключевые слова
Об авторах
Ю. В. Князев
Институт физики металлов УрО РАН
Email: knyazev@imp.uran.ru
Россия, 620108, Екатеринбург, ул. С. Ковалевской, 18
А. В. Лукоянов
Институт физики металлов УрО РАН; Уральский федеральный университет им. Б.Н. Ельцина
Email: knyazev@imp.uran.ru
Россия, 620108, Екатеринбург, ул. С. Ковалевской, 18; Россия, 620002, Екатеринбург, ул. Мира, 19
Ю. И. Кузьмин
Институт физики металлов УрО РАН
Email: knyazev@imp.uran.ru
Россия, 620108, Екатеринбург, ул. С. Ковалевской, 18
Е. Г. Герасимов
Институт физики металлов УрО РАН; Уральский федеральный университет им. Б.Н. Ельцина
Email: knyazev@imp.uran.ru
Россия, 620108, Екатеринбург, ул. С. Ковалевской, 18; Россия, 620002, Екатеринбург, ул. Мира, 19
Н. В. Мушников
Институт физики металлов УрО РАН; Уральский федеральный университет им. Б.Н. Ельцина
Автор, ответственный за переписку.
Email: knyazev@imp.uran.ru
Россия, 620108, Екатеринбург, ул. С. Ковалевской, 18; Россия, 620002, Екатеринбург, ул. Мира, 19
Список литературы
- Gschneidner Jr. K.A., Pecharsky V.K., Tsokol A.O. Recent developments in magnetocaloric materials // Rep. Progr. Phys. 2005. V. 68. № 6. P. 1479–1539.
- Singh N.K., Suresh K.G., Nigam A.K., Malik S.K., Coelho A.A., Gama S. Itinerant electron metamagnetism and magnetocaloric effect in RCo2-based Laves phase compounds // J. Magn. Magn. Mater. 2007. V. 317. № 1–2. P. 68–79.
- Franco V., Blazquez J.S., Ipus J.J, Law J.Y., Moreno-Ramirez L.M., Conde A. Magnetocaloric effect: From materials research to refrigeration devices // Prog. Mater. Sci. 2018. V. 93. P. 112–232.
- Singh N.K., Agarwal S., Suresh K.G., Nirmala R., Nigam A.K., Malik S.K. Anomalous magnetocaloric effect and magnetoresistance in Ho(Ni,Fe)2 compounds // Phys. Rev. B. 2005. V. 72. № 1. P. 014452.
- de Souza M.V. Investigation on the magnetocaloric effect in RNi2 (R: Dy, Tb) melt-spun ribbon // J. Magn. Magn. Mater. 2016. V. 412. P. 11–14.
- von Ranke P.J., Nobrega E.P., de Oliveira I.G., Gomes A.M., Sarthour R.S. Influence of the crystalline electrical field on the magnetocaloric effect in the series RNi2 (R = Pr, Nd, Gd, Tb, Ho, Er). Phys. Rev. B. 2001. V. 63. № 18. P. 184 406.
- Pawar H., Aynyas M., Sanyal S.P. Thermoelectric properties of rare-earth based RENi2 (RE = Dy, Ho and Er) Laves phase compounds // J. Magn. Magn. Mater. 2018. V. 468. P. 123–131.
- Ćwik J., Koshkid’ko Y., Nenkov K., Tereshina E.A., Rogacki K. Structural, magnetic and magnetocaloric properties of HoNi2 and ErNi2 compounds ordered at low temperatures // J. Alloys. Compds. 2018. V. 735. P. 1088–1095.
- Plaza E.J.R., de Sousa V.S.R., Reis M.S., von Ranke P.J. A comparative study of the magnetocaloric effect in RNi2 (R = Dy, Ho, Er) intermetallic compounds // J. Alloys Compd. 2010. V. 505. № 1. P. 357–361.
- Balinski K., Kuznetsova T.V., Gerasimov E.G., Protasov A.V., Marchenkov V.V., Mushnikov N.V., Galakhov V.R., Mesilov V.V., Shamin S.N., Gaviko V.S., Senkovskiy B.V., Fijałkowski M., Schneider L., Ślebarski A., Chrobak A., Kuepper K. Electrical resistivity, magnetism and electronic structure of the intermetallic 3d/4f Laves phase compounds ErNi2Mnx // AIP Advances 2018. V. 8. № 1. P. 105225.
- Mushnikov N.V., Gerasimov E.G., Terent’ev P.B., Gaviko V.S., Inishev A.A. Magnetic Properties of Nonstoichiometric 4f–3d Intermetallics // Phys. Met. Metallogr. 2019. V. 120. № 13. P. 1347–1353.
- Zhang Q.A., Dong Z.Q., Xie S.C. Crystal structures and hydrogenation-dehydrogenation characteristics of Er(Ni1 – xMnx)2 // J. Alloys Compd. 2015. V. 626. P. 189–193.
- Wang J.L., Marquina C., Ibarra M.R., Wu G.H. Structure and magnetic properties of RNi2Mn compounds (R = Tb, Dy, Ho and Er) // Phys. Rev. B 2006. V. 73. № 9. P. 094436.
- Wang J.L., Campbell S.J., Zeng R., Dou S.X., Kennedy S.J. Magnetic phase transition and Mössbauer spectroscopy of ErNi2Mnx compounds // J. Appl. Phys. 2011. V. 109. № 7. P. 07E304.
- Инишев А.А., Герасимов Е.Г., Терентьев П.Б., Гавико В.С., Мушников Н.В. Магнитокалорический эффект в нестехиометрических соединениях ErM2Mnx (M = Ni, Co, Fe) // ФММ. 2022. Т. 123. № 9. С. 929–934.
- Pawar H., Shugani M., Aynyas M., Sanyal S.P. Localization effect of f-electron of heavier rare-earth atoms in RENi2 (RE = Dy, Ho and Er) Laves phase compounds // Comp. Condens. Matter 2018. V. 16. P. e00316.
- Giannozzi P., Andreussi O., Brumme T., Bunau O., Nardelli M.B., Calandra M., Car R., Cavazzoni C., Ceresoli D., Cococcioni M., Colonna N., Carnimeo I., Dal Corso A., de Gironcoli S., Delugas P., DiStasio Jr. R.A., Ferretti A., Floris A., Fratesi G., Fugallo G., Gebauer R., Gerstmann U., Giustino F., Gorni T., Jia J., Kawamura M., Ko H.-Y., Kokalj A., Küçükbenli E., Lazzeri M., Marsili M., Marzari N., Mauri F., Nguyen N.L., Nguyen H.-V., Otero-de-la-Roza A., Paulatto L., Poncé S., Rocca D., Sabatini R., Santra B., Schlipf M., Seitsonen A.P, Smogunov A., Timrov I., Thonhauser T., Umari P., Vast N., Wu X., Baroni S. Advanced capabilities for materials modelling with Quantum ESPRESSO // J. Phys.: Condens. Matter. 2017. V. 29. № 46. P. 465901.
- Perdew J.P., Burke K., Ernzerhof M. Generalized gradient approximation made simple // Phys. Rev. Lett. 1996. V. 77. № 18. P. 3865–3868.
- Anisimov V.I., Aryasetiawan F., Lichtenstein A.I. First-principles calculations of the electronic structure and spectra of strongly correlated systems: the LDA + U // J. Phys.: Condens. Matter. 1997. V. 9. № 4. P. 767–808.
- Князев Ю.В., Лукоянов А.В., Кузьмин Ю.И., Мухачев Р.Д., Гупта С., Суреш К.Г. Электронные состояния и оптические спектры соединений ErSn1.1Ge0.9 и TmSn1.1Ge0.9 // ФММ. 2020. Т. 121. № 6. С. 594–600.
- Topsakal M., Wentzcovitch R.M. Accurate projected augmented wave (PAW) datasets for rare-earth elements (RE = La–Lu) // Comput. Mater. Sci. 2014. V. 95. P. 263–270.
- Носков М.М. Оптические свойства металлов. Свердловск: УНЦ АН СССР, 1983. 220 с.
- Knyazev Yu.V., Lukoyanov A.V., Kuz’min Yu.I., Kuchin A.G., Nekrasov I.A. Electronic structure, magnetic and optical properties of the intermetallic compounds R2Fe17 (R = Pr, Gd) // Phys. Rev. B. 2006. V. 73. № 9. P. 094410.
Дополнительные файлы






