Influence of the Shape of a Spin-Tunnel Element on the Dependence of Its Magnetoresistance
- Authors: Amelichev V.V.1, Vasilyev D.V.1, Polyakov P.A.2, Kostyuk D.V.1, Belyakov P.A.1, Kasatkin S.I.3, Polyakov O.P.2,3, Kazakov Y.V.4
-
Affiliations:
- Scientific-manufacturing Complex “Technological centre,”
- Lomonosov Moscow State University, Faculty of Physics
- Trapeznikov Institute of Control Sciences of RAS
- Scientific-manufacturing Complex “Technological centre
- Issue: Vol 124, No 5 (2023)
- Pages: 357-362
- Section: ЭЛЕКТРИЧЕСКИЕ И МАГНИТНЫЕ СВОЙСТВА
- URL: https://ogarev-online.ru/0015-3230/article/view/139430
- DOI: https://doi.org/10.31857/S0015323023600338
- EDN: https://elibrary.ru/OLMLPO
- ID: 139430
Cite item
Full Text
Abstract
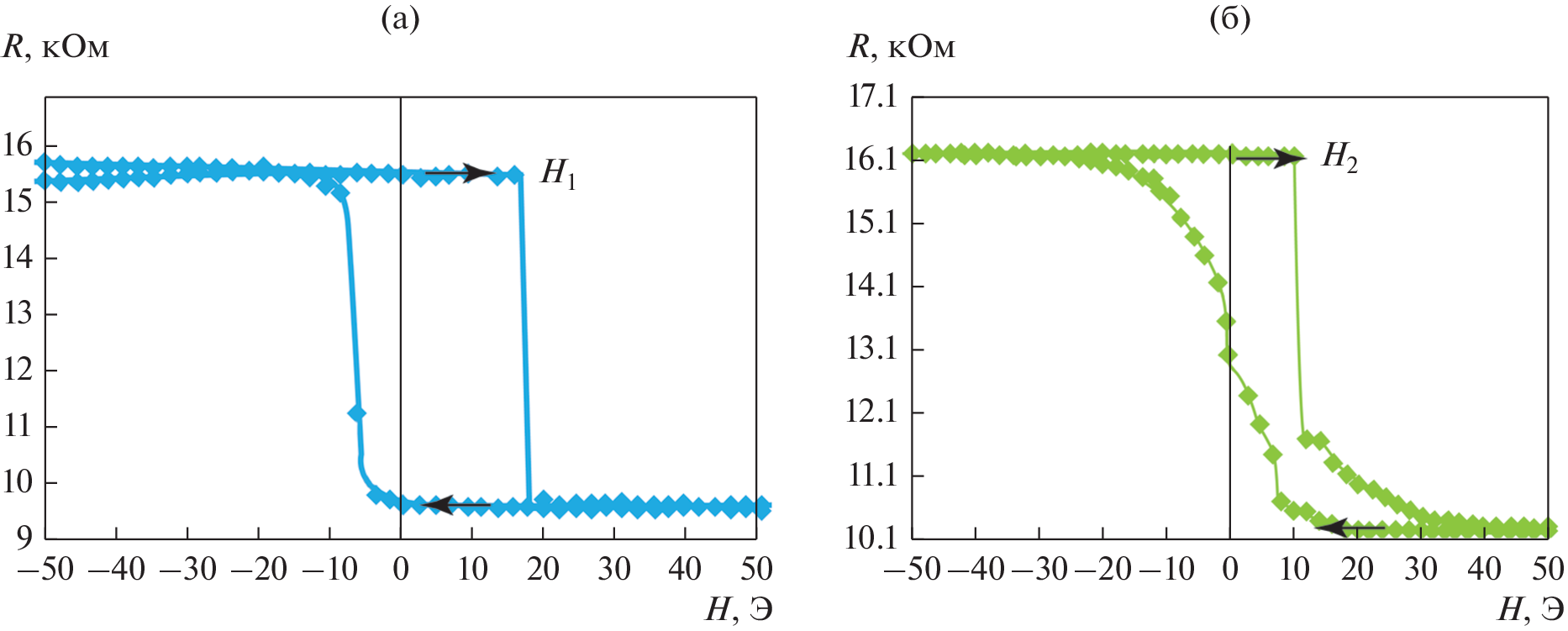
A theoretical and experimental study of the dependence of the magnetoresistance for two spin-tunnel junctions (STJs) of ellipsoidal shape has been made. The one-sided homogeneous magnetization reversal mode of an ellipsoidal STJ with different aspect ratios has been experimentally selected. Despite the reverse
inhomogeneous remagnetization, this selection has allowed for the calculation of the magnetic parameters of these elements by developing the Stoner-Wohlfarth theory.
About the authors
V. V. Amelichev
Scientific-manufacturing Complex “Technological centre,”
Email: 29diman05@mail.ru
Moscow, 124498 Russia
D. V. Vasilyev
Scientific-manufacturing Complex “Technological centre,”
Email: 29diman05@mail.ru
Moscow, 124498 Russia
P. A. Polyakov
Lomonosov Moscow State University, Faculty of Physics
Email: 29diman05@mail.ru
Moscow, 119991 Russia
D. V. Kostyuk
Scientific-manufacturing Complex “Technological centre,”
Email: 29diman05@mail.ru
Moscow, 124498 Russia
P. A. Belyakov
Scientific-manufacturing Complex “Technological centre,”
Email: 29diman05@mail.ru
Moscow, 124498 Russia
S. I. Kasatkin
Trapeznikov Institute of Control Sciences of RAS
Email: 29diman05@mail.ru
Moscow, 117997 Russia
O. P. Polyakov
Lomonosov Moscow State University, Faculty of Physics; Trapeznikov Institute of Control Sciences of RAS
Email: 29diman05@mail.ru
Moscow, 119991 Russia; Moscow, 117997 Russia
Yu. V. Kazakov
Scientific-manufacturing Complex “Technological centre
Author for correspondence.
Email: 29diman05@mail.ru
Moscow, 124498 Russia
References
- Фетисов Ю.К., Сигов А.С. Спинтроника: физические основы и устройства // РЭНСИТ. 2018. № 2. С. 133–146.
- Zutic I, Fabian J, Das Sarma S. Spintronics: Fundamental and application // Rev. Modern Phys. 2004. V. 76. P. 323–410.
- Dieny B., Goldfarb R.B., Lee K.-J. Introduction to magnetic random-access memory / Magnetics. 2017. 255 p.
- Leitao D.C., Silva A.V., Paz E., Ferreira R., Cardoso S., Freitas P.P. Magnetoresistive nanosensors: controlling magnetism at the nanoscale // Nanotechnology. 2016. V. 27. P. 1–10.
- Liou S.H., Yin X., Russek S.E. Heindl R., Silva F.C.S., Moreland J., Pappas D.P., Yuan L., Shen J. Picotesla magnetic sensors for low-frequency applications // IEEE Trans. Magn. 2011. V. 47 (10). P. 3740–3743.
- Gao K.-Zh., Yin X., Yang Y., Ewing D., Rego P.J., Liou S.-H. MTJ based magnetic sensor for current measurement in grid // AIP Advances. 2020. V. 10. P. 015301-4.
- Silva A.V., Leitao D.C., Valadeiro J., Amaral J., Freitas P.P., Cardoso S. Linearization strategies for high sensitivity magnetoresistive sensors. Eur // Phys. J. Appl. Phys. 2015. V. 72. P. 10601.
- Наумова Л.И., Миляев М.А., Бебенин Н.Г., Чернышова Т.А., Проглядо В.В., Криницина Т.П., Банникова Н.С., Устинов В.В. Безгистерезисное перемагничивание спиновых клапанов с сильным и слабым межслойным взаимодействием // ФММ. 2014. Т. 115. № 4. С. 376–383.
- Stoner E.C., Wohlfarth E.P. A mechanism of magnetic hysteresis in heterogeneous alloys // IEEE Trans. Magn. 1991. V. 27. P. 3475–3518.
- Бебенин Н.Г., Устинов В.В. Намагничивание и магнитосопротивление спинового клапана // ФММ. 2015. Т. 116. № 2. С. 179–183.
- Bruckner F., Bergmair B., Brueckl H., Palmesi P., Buder A., Satz A., Suess D. A device model framework for magnetoresistive sensors based on the Stoner-Wohlfarth model. J. Magn // Magn. Mater. 2015. V. 381, P. 344–349.
- Shevtsov V.S., Kaminskaya T.P., Polyakov P.A., Kasatkin S.I., Amelichev V.V., Takhov V.S., Shevchenko A.B. Domain structure in thin FeNiCo films with in-plane anisotropy // Bulletin of the Russian Academy of Sciences: Physics 2021. V. 85(11). P. 1226–1229.
- Li Yu., Xu K., Hu Sh., Suter J., Schreiber D.,Ramuhalli P., Jonson B., McCloy J. Computational and experimental investigations of magnetic domain structures in patterned magnetic thin films // J. Phys. D: Appl. Phys. 2015. V. 48. P. 305001.
- Sang H, Du Y.W., Chien C.L. Exchange coupling in Fe50Mn50/Ni81Fe19 bilayer: Dependence on antiferromagnetic layer thickness // J. Appl. Phys. 1999. V. 8(85). P. 4931–4933.
- Dieny B., Humbert P., Speriosu V.S., Gurney B.A., Baumgart P., Lefakis H. Giant magnetoresistance of magnetically soft sandwiches: Dependence of temperature and layer thicknesses // Phys. Rev. B. 1992. V. 45. P. 806–814.
- Polyakov O., Amelichev V., Zhukov D.,Vasilyev D., Kasatkin S.,Polyakov P. Development and research of a theoretical model of the magnetic tunnel junction // Sensors. 2021. V. 21(6). P. 2118.
- Amelichev V.V., Vasiliev D.V., Kostyuk D.V., Kazakov Yu.V., Kasatkin S.I., Polyakov O.P., Polyakov P.A., Shevtsov V.S. Study of Spin-Tunnel Junction Magnetization Using Coherent Rotation of the Free Layer Magnetization Model // Russian Microelectronics. 2021. V. 50(6). P. 461–466.
- Lee Y.M., Hayakawa J., Ikeda S., Matsukura F., Ohno H. Giant tunnel magnetoresistance and high annealing stability in CoFeB/MgO/CoFeB magnetic tunnel junctions with synthetic pinned layer // Appl. Phys. Lett. 2006. V. 89. P. 042506.
Supplementary files





