Simulation of the Three-Component Potts Model on a Hexagonal Lattice by the Monte Carlo Method
- Authors: Babaev A.B.1,2, Murtazaev A.K.1,2
-
Affiliations:
- Institute of Physics, Dagestan Federal Research Center, Russian Academy of Sciences
- Dagestan Federal Research Center, Russian Academy of Sciences
- Issue: Vol 124, No 7 (2023)
- Pages: 577-583
- Section: ЭЛЕКТРИЧЕСКИЕ И МАГНИТНЫЕ СВОЙСТВА
- URL: https://ogarev-online.ru/0015-3230/article/view/139424
- DOI: https://doi.org/10.31857/S0015323023600454
- EDN: https://elibrary.ru/VOJFQH
- ID: 139424
Cite item
Full Text
Abstract
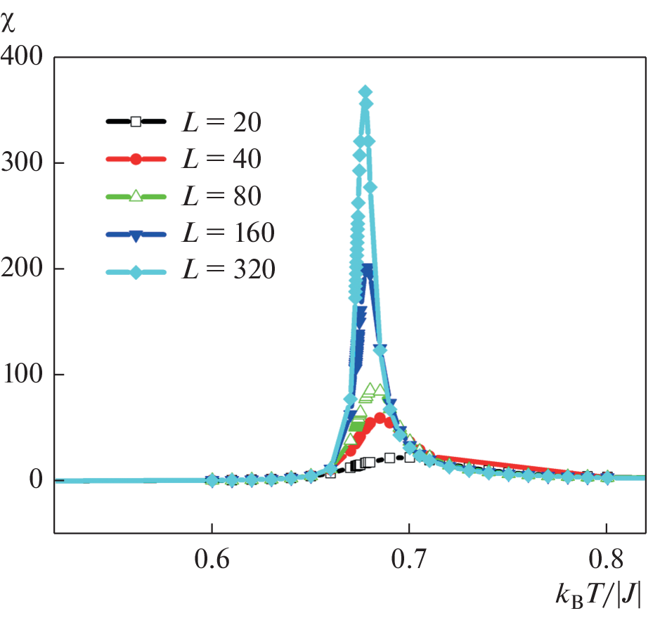
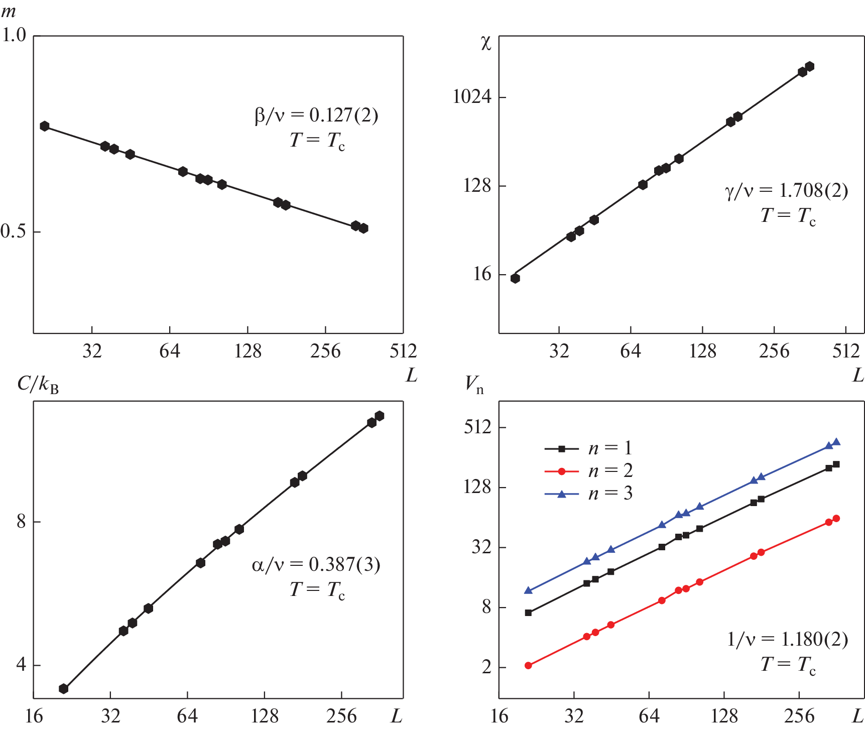
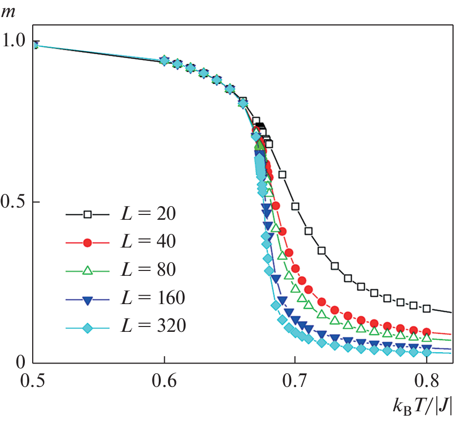
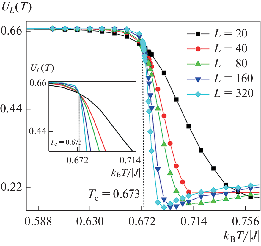
Computer simulation of the three-component Potts model on a hexagonal lattice was carried out using the Monte Carlo method. Systems with linear dimensions L × L = N, L = 10–320 in units of interatomic distances are considered. Based on the theory of finite-size scaling, the static critical exponents of heat capacity α, susceptibility γ, magnetization β, and correlation radius ν are calculated. The data we obtained confirm that in the considered Potts model on a hexagonal lattice, a second-order phase transition is observed with critical exponents corresponding to the universality class of the three-component Potts model.
About the authors
A. B. Babaev
Institute of Physics, Dagestan Federal Research Center, Russian Academy of Sciences; Dagestan Federal Research Center, Russian Academy of Sciences
Email: b_albert78@mail.ru
Makhachkala, 367015 Russia; Makhachkala, 367000 Russia
A. K. Murtazaev
Institute of Physics, Dagestan Federal Research Center, Russian Academy of Sciences; Dagestan Federal Research Center, Russian Academy of Sciences
Author for correspondence.
Email: b_albert78@mail.ru
Makhachkala, 367015 Russia; Makhachkala, 367000 Russia
References
- Паташинский А.З., Покровский В.А. Флуктуационная теория фазовых переходов. М.: Наука, 1982. 380 с.
- Вильсон К., Когут Д. Ренормализационная группа и ε-разложение / Пер. с англ. В.А. Загребного; Под ред. Alves д. В.К. Федянина. М.: Мир, 1975. 256 с.
- Паташинский А.З., Покровский В.А. Метод ренорм-группы в теории фазовых переходов. // УФН. 1977. Т. 121. С. 55.
- Ма Ш. Современная теория критических явлений / Пер. с англ. А.Н. Ермилова, А.М. Курбатова / Под ред. Н.Н. Боголюбова (мл.), В.К. Федянина. М.: Мир, 1980. 298 с.
- Kadanoff L.P. Scaling laws for Ising models near Tc // Physica. 1966. V. 2. P. 263.
- Стенли Г. Фазовые переходы и критические явления / Пер. с англ. А.И. Мицека, Т.С. Шубиной / Под ред. С.В. Вонсовского. М.: Мир, 1973. 419 с.
- Фишер М. Физика критического состояния / Пер.с англ. М.Ш. Гитермана. М.: Мир, 1968. 221 с.
- Ising E. Report on the theory of ferromagnetism // Physik Z. 1925. V. Bd. 31. P. 253.
- Onsager L. Crystal statistics. 1: A two-dimensional model with an order-disorder transitions // Phys. Rev. 1944. V. 65. C. 117.
- Houtappel R.M.F. Order–disorder in hexagonal lattices // Physica. 1950. V. 16. P. 425.
- Kanô K., Naya S. Antiferromagnetism. The Kagome Ising Net // Prog. Theor. Phys. 1953. V. 10. P. 158.
- Бэкстер Р. Точно решаемые модели в статистической механике / Пер. с англ. Е.П. Вольского, Л.И. Дайхина / Под ред. А.М. Бродского. М.: Мир, 1985. 486 с.
- Wu F.Y. Exactly Solved Models: A Journey in Statistical Mechanics. World Scientific, London, 2009. 641 p.
- Wolff U. Collective Monte Carlo Updating for spin systems // Phys. Lett. 1989. V. 62. P. 361.
- Муртазаев А.К., Бабаев А.Б., Атаева Г.Я., Бабаев М.А. Фазовые переходы в разбавленной модели Поттса с числом состояний спина q = 3 на квадратной решетке // ФТТ. 2022. Т. 64. С. 639.
- Муртазаев А.К., Бабаев А.Б., Атаева Г.Я., Магомедов М.А. Фазовые переходы и критические явления в двумерной примесной модели Поттса с числом состояний спина q = 4 на квадратной решетке // ЖЭТФ. 2022. Т. 161. С. 847.
- Babaev A.B., Murtazaev A.K. Computation of Relative Variances of Magnetization and Susceptibility in a Disordered Ising Model: The Results of Computer Simulation // Mathematical Models and Computer Simulations. 2019. V. 11. P. 575.
- Barkema G.T., Newman M.E.J. New Monte Carlo algorithms for classical spin systems // Preprint cond-mat/9703179. 1997.
- Peczac P., Ferrenberg A.M., Landau D.P. High-accuracy Monte Carlo study of the three-dimensional classical Heisenberg ferromagnet // Phys.Rev. B. 1991. V. 43. P. 6087.
- Eichhorn K., Binder K. Monte Carlo investigation of the three-dimensional random-field three-state Potts model // J. Phys.: Condens. Matter. 1996. V 8. C. 5209.
- Loison D., Schotte K.D. First and second order transition in frustrated XY systems // Eur. Phys. J. B. 1998. V. 5. P. 735.
- Муртазаев А.К., Бабаев А.Б. Трикритическая точка трехмерной неупорядоченной модели Поттса с числом состояний спина q = 3 на простой кубической решетке // Письма в ЖЭТФ. 2017. Т. 105. С. 363.
- Babaev A.B., Murtazaev A.K. Computer simulation of the critical behavior in spin models with nonmagnetic impurities // Low Temperature Physics. 2015. V. 41. P. 608.
- Babaev A.B., Murtazaev A.K. The tricritical point of the site-diluted three-dimensional 5-state Potts model // J. Magn. Magn. Mater. 2022. V. 324. P. 3870.
- Fisher M.E., Barber M.N. Scaling theory for finite-size effects in the critical region // Phys. Rev. Lett. 1972. V. 28. P. 1516.
- Loison D. Monte Carlo cluster algorithm for ferromagnetic Hamiltonians H = JƩ (Si Sj)3 // Phys. Lett. A. 1999. V. 257. P. 83.
- Wiseman S., Domany E. Self-averaging, distribution of pseudocritical temperatures, and finite size scaling in critical disordered systems // Phys. Rev. E. 1998. V. 58. P. 2938.
- Kim J.-K., Landau D.P. Corrections to finite-size-scaling in two dimensional Potts models // Physica A. 1998. V. 250. P. 362.
- Salas J.S., Sokal A.D. Logarithmic Corrections and Finite-Size Scaling in the Two-Dimensional 4-State Potts Model // J. Stat. Phys. 1996. V. 88. P. 567.
Supplementary files







