Взаимосвязь валентности атомов Fe и кислородных вакансий в замещенном ортоферрите La0.67Sr0.33FeO3 – γ в процессе термообработки
- Авторы: Седых В.Д.1, Русаков В.С.2, Губайдулина Т.В.2, Рыбченко О.Г.1, Кулаков В.И.1
-
Учреждения:
- Институт физики твердого тела им. Ю.А. Осипьяна РАН
- Московский государственный университет им. М.В. Ломоносова
- Выпуск: Том 124, № 2 (2023)
- Страницы: 161-168
- Раздел: ЭЛЕКТРИЧЕСКИЕ И МАГНИТНЫЕ СВОЙСТВА
- URL: https://ogarev-online.ru/0015-3230/article/view/139404
- DOI: https://doi.org/10.31857/S0015323022601465
- EDN: https://elibrary.ru/KWDAKO
- ID: 139404
Цитировать
Полный текст
Аннотация
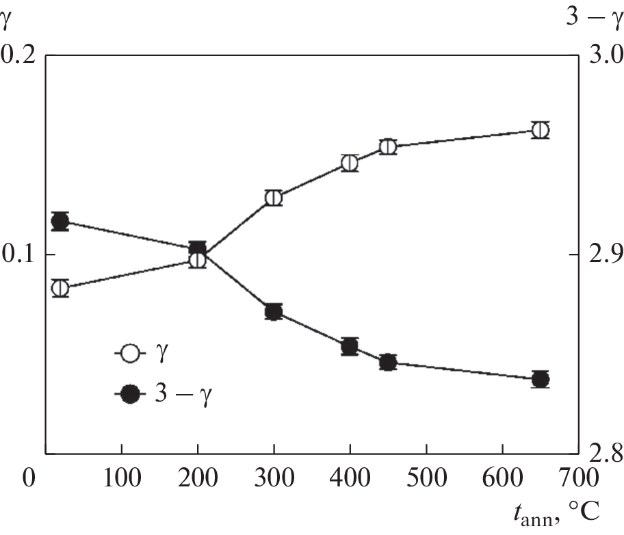
Методом мёссбауэровской спектроскопии с привлечением данных рентгеноструктурного анализа исследован замещенный ортоферрит лантана La0.67Sr0.33FeO3 – γ. Выполнена серия вакуумных отжигов в интервале температур tann 200–650°С, в ходе которых не обнаружено каких-либо значительных изменений в структуре образцов. Из мёссбауэровских измерений при комнатной температуре следует, что ионы Fe находятся в усредненно-валентном состоянии между Fe3+ и Fe4+. При вакуумном отжиге с увеличением температуры tann растет среднее сверхтонкое магнитное поле на ядрах 57Fe и изомерный сдвиг спектра, что связано с ростом числа вакансий и, соответственно, уменьшением количества Fe4+. Мёссбауэровские измерения при 85 К показали, что усредненно-валентное состояние железа не проявляется. Сверхтонкие параметры парциальных низкотемпературных мессбауэровских спектров, полученные из модельной расшифровки, позволяют заключить, что один из них принадлежит ионам Fe4+, остальные – Fe3+. Наличие в спектрах нескольких секстетов, относящихся к ионам Fe3+, обусловлено появлением кислородных вакансий (обрыв обменной связи Fe3+–O2––Fe) и ионов Fe4+ (ослабление обменной связи Fe3+–O2––Fe) в ближайшем ионном окружении атомов Fe. Оба фактора вызывают уменьшение сверхтонкого магнитного поля и изменение изомерного сдвига спектра. В результате модельной расшифровки мёссбауэровских спектров определены числа кислородных вакансий и ионов Fe4+ на формульную единицу для всех образцов в зависимости от температуры вакуумного отжига tann. Показано, что при tann выше 450°С процесс выхода кислорода из решетки заканчивается, и детектируются только ионы Fe3+.
Ключевые слова
Об авторах
В. Д. Седых
Институт физики твердого тела им. Ю.А. Осипьяна РАН
Email: sedykh@issp.ac.ru
Россия, 142432, Черноголовка, ул. Академика Осипьяна, 2
В. С. Русаков
Московский государственный университет им. М.В. Ломоносова
Email: sedykh@issp.ac.ru
Россия, 119991, Москва, Ленинские горы, 1-2
Т. В. Губайдулина
Московский государственный университет им. М.В. Ломоносова
Email: sedykh@issp.ac.ru
Россия, 119991, Москва, Ленинские горы, 1-2
О. Г. Рыбченко
Институт физики твердого тела им. Ю.А. Осипьяна РАН
Email: sedykh@issp.ac.ru
Россия, 142432, Черноголовка, ул. Академика Осипьяна, 2
В. И. Кулаков
Институт физики твердого тела им. Ю.А. Осипьяна РАН
Автор, ответственный за переписку.
Email: sedykh@issp.ac.ru
Россия, 142432, Черноголовка, ул. Академика Осипьяна, 2
Список литературы
- Salamon M.B., Jaime M. The physics of manganites: Structure and transport // Rev. Mod. Phys. 2001. V. 73. P. 583–628. https://doi.org/10.1103/REVMODPHYS.73.583
- Tokura Y. Contribution to Colossal Magnetoresistance Oxides / Edit. by Y. Tokura (Gordon & Breach, London, 1999).
- Tugova E.A., Popova V.F., Zvereva I.A., Gusarov V.V., Phase diagram of the LaFeO3–LaSrFeO4 system // Glass. Phys. Chem. 2006. V. 32. P. 674–676.
- Petrovic S., Terlecki A., Karanovic L., Kirilov–Stefanov P., Zduji M., Dondur V., Paneva D., Mitov I., Rakic V. LaMO3 (M = Mg, Ti, Fe) perovskite type oxides: Preparation, characterization and catalytic properties in methane deep oxidation // Appl. Catal. B Environ. 2008. V. 79. P. 186–198.
- Tijare S.N., Joshi M.V., Padole P.S., Mangrulkar P.A., Rayalu S., Labhsetwar N.K. Photocatalytic hydrogen generation through water splitting on nano-crystalline LaFeO3 perovskite // Int. J. Hydrogen Energ. 2012. V. 37. P. 10451–10456.
- Wei Z., Xu Y., Liu H., Hu C. Preparation and catalytic activities of LaFeO3 and Fe2O3 for HMX thermal decomposition // J. Hazard. Mater. 2009. V. 165. P. 1056–1061.
- Faye J., Bayleta A., Trentesauxb M., Royera S., Dumeignil F., Duprez D., Valange S., Influence of lanthanum stoichiometry in La1 – xFeO3 – δ perovskites on their structure and catalytic performance inCH4 total oxidation // Appl. Catal. B Environ. 2012. V. 126. P. 134–143.
- Yang J.B., Yelon W.B., James W.J., Chu Z., Kornecki M., Xie Y.X., Zhou X.D., Anderson H.U., Joshi A.G., Malik S.K. Crystal structure, magnetic properties, and Mössbauer studies of La0.6Sr0.4FeO3 – d prepared by quenching in different atmospheres // Phys. Rev. B. 2002. V. 66. P. 184 415. https://doi.org/10.1103/PhysRevB.66.184415
- Goodenough J.B. In Progress in Solid State Chemistry, edited by H. Reiss (Pergamon, London, 1971). V. 5. P. 145.
- Goodenough J.B. In Magnetism and Chemical Bond, edited by F. Albert Cotton (Interscience, London, 1963) 1: P. 15 414.
- da Silva R.B., Soares J.M., da Costa J.A.P., de Araújo J.H., Rodrigues A.R., Machado F.L.A. Local iron ion distribution and magnetic properties of the perovskites La1 – xSrxFeO3 – γ // J. Magn. Magn. Mater. 2018. V. 466. P. 306–310. https://doi.org/10.1016/J.JMMM.2018.07.040
- Shimony U., Knudsen J.M. Mössbauer Studies on Iron in the Perovskites <spin class // Phys. Rev. 1966. V. 144. P. 361. https://doi.org/10.1103/PhysRev.144.361
- Takano M., Kawachi J., Nakanishi N., Takeda Y. Valence state of the Fe ions in Sr1 – yLayFeO3 // J. Solid State Chem. 1981. V. 39. P. 75–84. https://doi.org/10.1016/0022-4596(81)90304-2
- Dann S.E., Currie D.B., Weller M.T., Thomas M.F., Al-Rawwas A.D. The Effect of Oxygen Stoichiometry on Phase Relations and Structure in the System La1 – xSrxFeO3 – δ (0 ≤ x ≤ 1, 0 ≤ δ ≤ 0.5) // J. Solid State Chem. 1994. V. 109. P. 134–144. https://doi.org/10.1006/JSSC.1994.1083
- Al-Rawwas A.D., Johnson C.E., Thomas M.F., Dann S.E., Weiler M.T. Mössbauer studies on the series La1 – xSrxFeO3 // Hyperfine Interact. 1994 V. 93. P. 1521–1529. https://doi.org/10.1007/BF02072903
- Grenier J.C., Ea N., Pouchard M., Abou-Sekkina M. Proprietes electriques et magnetiques des ferrites oxydes La1 – xSrxFeO3 – y // Mater. Res. Bull. 1984. V. 19. P. 1301–1309. https://doi.org/10.1016/0025-5408(84)90192-2
- Седых В.Д., Рыбченко О.Г., Некрасов А.Н., Конева И.Е., Кулаков В.И. Влияние изменения содержания кислорода на локальное окружение атомов Fe в анион-дефицитном SrFeO3 – δ. // ФТТ. 2019. Т. 61. № 6. С. 1162–1169.
- Matsnev M.E., Rusakov V.S. SpectrRelax: An application for Mössbauer spectra modeling and fitting / in: AIP Conf. Proc., American Institute of Physics AIP, 2012. P. 178–185. https://doi.org/10.1063/1.4759488
- Fossdal A., Menon M., Wærnhus I., Wiik K., Einarsrud M.A., Grande T. Crystal Structure and Thermal Expansion of La1 – xSrxFeO3 – δ Materials // J. Am. Ceram. Soc. 2004. V. 87. P. 1952–1958. https://doi.org/10.1111/J.1151-2916.2004.TB06346.X
- Grenier J.C., Fournès L., Pouchard M., Hagenmuller P., Komornicki S. Mössbauer resonance studies on the Ca2Fe2O5–LaFeO3 system // Mater. Res. Bull. 1982. V. 17. P. 55–61. https://doi.org/10.1016/0025-5408(82)90183-0
- Battle P.D., Gibb T.C., Nixon S. A study of the ordering of oxygen vacancies in the nonstoichiometric perovskite Sr2LaFe3O8 + y by Mössbauer spectroscopy and a comparison with SrFeO3 – y // J. Solid State Chem. 1989. V. 79. P. 75–85.
- https://doi.org/10.1016/0022-4596(89)90252-1
- Battle P.D., Gibb T.C., Nixon S. A study of charge disproportionation in the nonstoichiometric perovskite Sr2LaFe3O8 + y by Mössbauer spectroscopy // J. Solid State Chem. 1988 V. 77. P. 124–131. https://doi.org/10.1016/0022-4596(88)90099-0
- Sawatzky G.A., van der Woude F. Covalency effects in hyperfine interactions // J. Phys. Colloq. 1974 V. 35. P. 47–60.
- Николаев В.И., Русаков В.С. Мессбауэровские исследования ферритов. М.: Изд-во моск. у-та, 1985. С. 224.
Дополнительные файлы










