Магнитооптическая спектроскопия нанокомпозитов (CoFeB)x(LiNbO3)100 – x до порога перколяции: от суперпарамагнетизма и суперферромагнетизма до ферромагнетизма
- Авторы: Ганьшина Е.А.1, Припеченков И.М.1, Перова Н.Н.1, Каназакова Е.С.1, Николаев С.Н.2, Ситников А.С.3,4, Грановский А.Б.1,5, Рыльков В.В.3,5
-
Учреждения:
- Физический факультет Московского государственного университета им. М.В. Ломоносова
- Национальный исследовательский центр “Курчатовский институт”,
- Национальный исследовательский центр “Курчатовский институт”
- Воронежский государственный технический университет
- Институт теоретической и прикладной электродинамики РАН
- Выпуск: Том 124, № 2 (2023)
- Страницы: 134-140
- Раздел: ЭЛЕКТРИЧЕСКИЕ И МАГНИТНЫЕ СВОЙСТВА
- URL: https://ogarev-online.ru/0015-3230/article/view/139391
- DOI: https://doi.org/10.31857/S0015323022601313
- EDN: https://elibrary.ru/HKTUCR
- ID: 139391
Цитировать
Полный текст
Аннотация
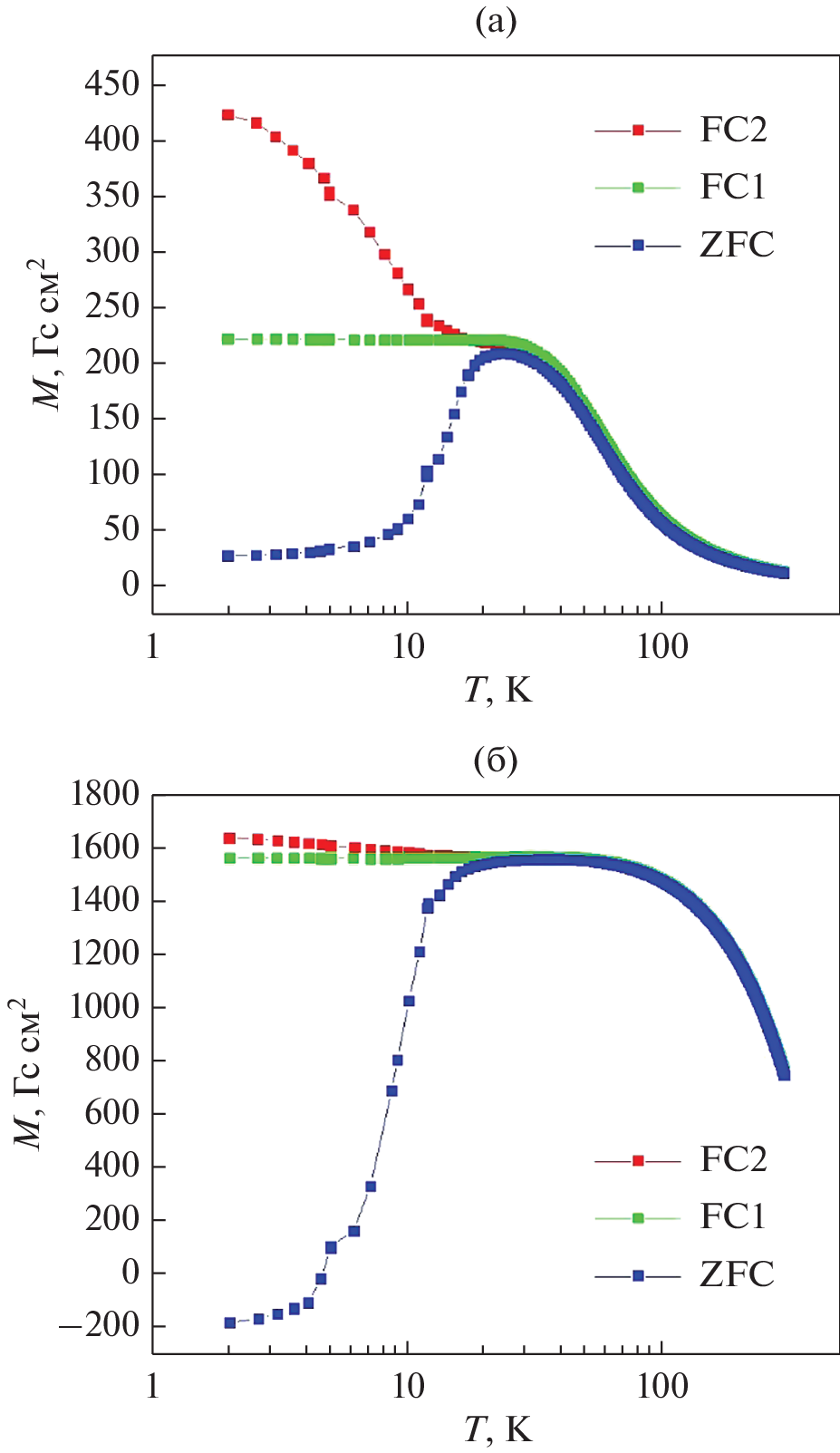
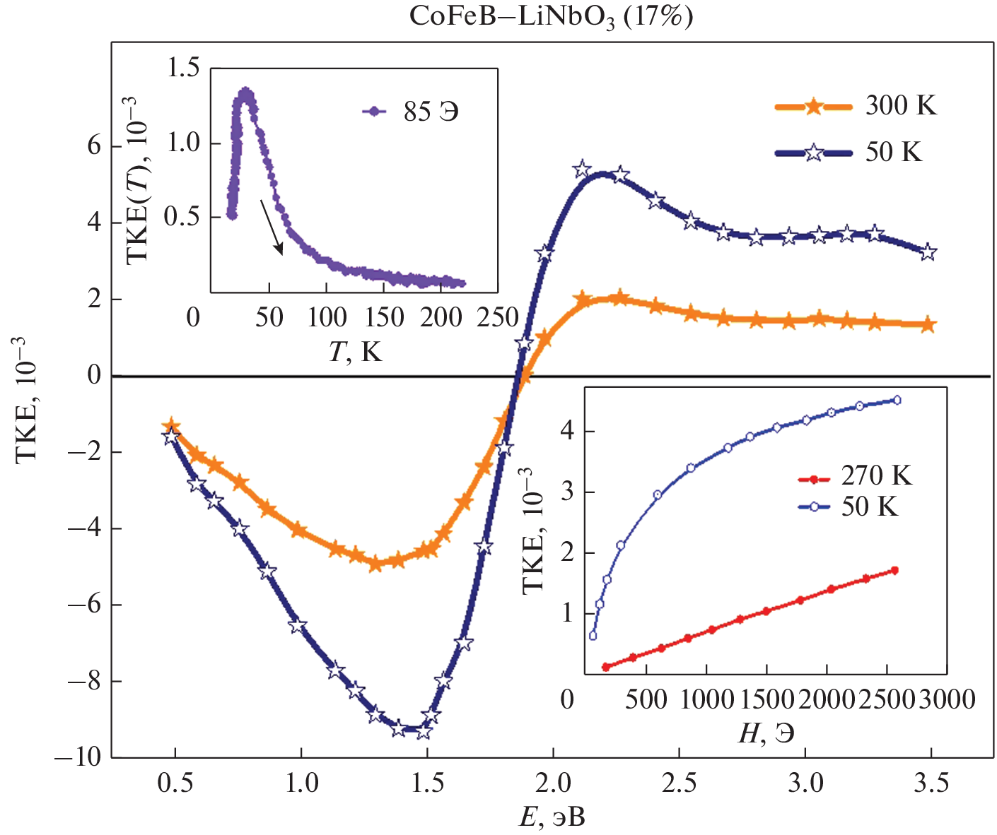
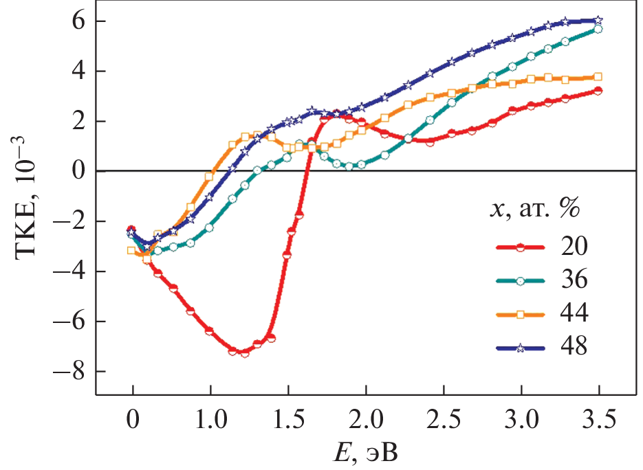
Распылением составной мишени Co40Fe40B20 и LiNbO3 ионным пучком на подложки из кремния получены нанокомпозиты (CoFeB)x(LiNbO3)100 – x с x = 17–48 ат. % и магнитооптическими методами исследован переход от суперпарамагнитного состояния к суперферромагнитному и ферромагнитному при повышении концентрации магнитной компоненты. Магнитооптические свойства исследованы в геометрии экваториального (поперечного) эффекта Керра (TKE). Получены магнитооптические спектры в диапазоне 0.5–4.0 эВ в полях до 2.5 кЭ при 20–300 К, полевые и температурные зависимости ТКЕ при определенных длинах волн, визуализирована доменная структура при перемагничивании с помощью магнитооптического Керровского микроскопа. Показано, что при х = 17 aт. % образец суперпарамагнитный при температуре выше температуры блокировки ≈30 K, взаимодействие между гранулами существенно уже при 20 aт. %, переход к суперферромагнитному состоянию осуществляется при ≈32–36 ат. %, а к ферромагнитному при ≈44 aт. % вблизи перехода металл–диэлектрик, то есть при концентрации, меньшей транспортного порога перколяции.
Ключевые слова
Об авторах
Е. А. Ганьшина
Физический факультет Московского государственного университета им. М.В. Ломоносова
Email: eagan@mail.ru
Россия, 119991, Москва, Ленинские горы, 1
И. М. Припеченков
Физический факультет Московского государственного университета им. М.В. Ломоносова
Email: eagan@mail.ru
Россия, 119991, Москва, Ленинские горы, 1
Н. Н. Перова
Физический факультет Московского государственного университета им. М.В. Ломоносова
Email: eagan@mail.ru
Россия, 119991, Москва, Ленинские горы, 1
Е. С. Каназакова
Физический факультет Московского государственного университета им. М.В. Ломоносова
Email: eagan@mail.ru
Россия, 119991, Москва, Ленинские горы, 1
С. Н. Николаев
Национальный исследовательский центр “Курчатовский институт”,
Email: eagan@mail.ru
Россия, 123182, Москва, пл. Академика Курчатова, 1
А. С. Ситников
Национальный исследовательский центр “Курчатовский институт”; Воронежский государственный технический университет
Email: eagan@mail.ru
Россия, 123182, Москва, пл. Академика Курчатова, 1; Россия, 394026, Воронеж, Московский просп., 14
А. Б. Грановский
Физический факультет Московского государственного университета им. М.В. Ломоносова; Институт теоретической и прикладной электродинамики РАН
Email: eagan@mail.ru
Россия, 119991, Москва, Ленинские горы, 1; Россия, 125412, Москва, ул. Ижорская, 13
В. В. Рыльков
Национальный исследовательский центр “Курчатовский институт”; Институт теоретической и прикладной электродинамики РАН
Автор, ответственный за переписку.
Email: eagan@mail.ru
Россия, 123182, Москва, пл. Академика Курчатова, 1; Россия, 125412, Москва, ул. Ижорская, 13
Список литературы
- Рыльков В.В., Емельянов А.В., Николаев С.Н., Никируй К.Э., Ситников А.В., Фадеев Е.А., Демин В.А., Грановский А.Б. Транспортные свойства магнитных наногранулированных композитов с диспергированными ионами в изолирующей матрице // ЖЭТФ. 2020. Т. 158. № 1(7). С. 164–183.
- Martyshov M. N., Emelyanov A.V., Demin V.A., Nikiruy K.E., Minnekhanov A.A., Nikolaev S.N., Taldenkov A.N., Ovcharov A.V., Presnyakov M.Yu., Sitnikov A.V., Vasiliev A.L., Forsh P.A., Granovsky A.B., Kashkarov P.K., Kovalchuk M.V., Rylkov V. V. Multifilamentary character of anticorrelated capacitive and resistive switching in memristive structures based on (CoFeB)x(LiNbO3)100 – x nanocomposite //Phys. Rev. Appl. 2020. V. 14. № 3. Art. No. 034016.
- Bedanta S., Kleemann W. Supermagnetism // J. Phys. D: Applied Physics. 2008. V. 42. № 1. Art. No. 013001.
- Beloborodov I. S., Lopatin A.V., Vinokur V.M., Efetov K.B. Granular electronic systems // Rev. Modern Physics. 2007. V. 79. №. 2. Art. No. 469.
- Рыльков В.В., Николаев С.Н., Демин В.А., Емельянов А.В., Ситников А.В., Никируй К.Э., Леванов В.А., Пресняков М.Ю., Талденков А.Н., Васильев А.Л., Черноглазов К.Ю., Веденеев А.С., Калинин Ю.Е., Грановский А.Б., Тугушев В.В., Бугаев А.С. Транспортные, магнитные и мемристивные свойства наногранулированного композита (CoFeB)x(LiNbOy)100 – x // ЖЭТФ. 2018. Т. 153. № 3. С. 424–441.
- Рыльков В.В. Дровосеков А.Б., Талденков А.Н., Николаев С.Н., Удалов О.Г., Емельянов А.В., Ситников А.В., Черноглазов К.Ю., Демин В.А., Новодворский О.А., Веденеев А.С., Бугаев А.С. Необычное поведение коэрцитивной силы в нанокомпозите (CoFeB)x(LiNbOy)100 – x с высоким содержанием магнитных ионов в изолирующей матрице // ЖЭТФ. 2019. Т. 155. № 1. С. 127–137.
- Николаев С.Н., Емельянов А.В., Чумаков Р.Г., Рыльков В.В., Ситников А.В., Пресняков М.Ю., Кукуева Е.В., Демин В.А. Свойства мемристивных структур на основе нанокомпозита (CoFeB)x(LiNbOy)100 – x синтезированных на SiO2/Si-подложках // ЖЭТФ. 2020. Т. 90. № 2. С. 257–263.
- Никируй К.Э. Емельянов А.В., Мацукатова А.Н., Кукуева Е.В., Васильев А.Л., Ситников А.В., Демин В.А., Рыльков В.В. Влияние эффекта перколяции на резистивные переключения структур на базе нанокомпозита (CoFeB)x(LiNbOy)100 – x // ФТТ. 2022. Т. 64. № 11. С. 1693–1694.
- Rylkov V. V., Sitnikov A.V., Nikolaev S.N., Demin V.A., Taldenkov A.N., Presnyakov M.Yu., Emelyanov A.V., Vasiliev A.L., Kalinin Yu.E., Bugaev A.S., Tugushev V.V., Granovsky A.B. Properties of granular (CoFeB)x(Al2O3)100 – x and (CoFeB)x(LiNbOy)100 – x nanocomposites: Manifestation of superferromagnetic ordering effects // J. Magn. Magn. Mater. 2018. V. 459. P. 197–201.
- http://evicomagnetics.com/productss/magneto-optical-kerr-microscope-magnetometer.
- Traeger G., Wenzel L., Hubert A. Computer experiments on the information depth and the figure of merit in magnetooptics // Phys. Stat. Sol. (a). 1992. V. 131. № 1. P. 201–227.
- Gan’shina E. A., Granovsky A.B., Sitnikov A.V., Lahderanta E., Rylkov V.V. Magneto-optical spectroscopy of (CoFeB)x–(Al–O)100 – x nanocomposites: evidence of superferromagnetism // IEEE Magnetics Letters. 2020. V. 11. P. 1–4.
- Ганьшина Е.А., Вашук М.В., Виноградов А.Н., Грановский А.Б., Гущин В.С., Щербак П.Н., Калинин Ю.П., Ситников А.В. Эволюция оптических и магнитооптических свойств в нанокомпозитах аморфный металл–диэлектрик // ЖЭТФ. 2004. Т. 125. № 5. С. 1172–1183.
Дополнительные файлы









