Grain-Boundary Diffusion of 57Сo in Niobium
- Authors: Popov V.V.1, Istomina A.Y.1, Osinnikov E.V.1, Falakhutdinov R.M.1
-
Affiliations:
- Miheev Institute of Metal Physics, Ural Branch
- Issue: Vol 124, No 3 (2023)
- Pages: 298-302
- Section: СТРУКТУРА, ФАЗОВЫЕ ПРЕВРАЩЕНИЯ И ДИФФУЗИЯ
- URL: https://ogarev-online.ru/0015-3230/article/view/139390
- DOI: https://doi.org/10.31857/S0015323022601672
- EDN: https://elibrary.ru/CMWMBH
- ID: 139390
Cite item
Full Text
Abstract
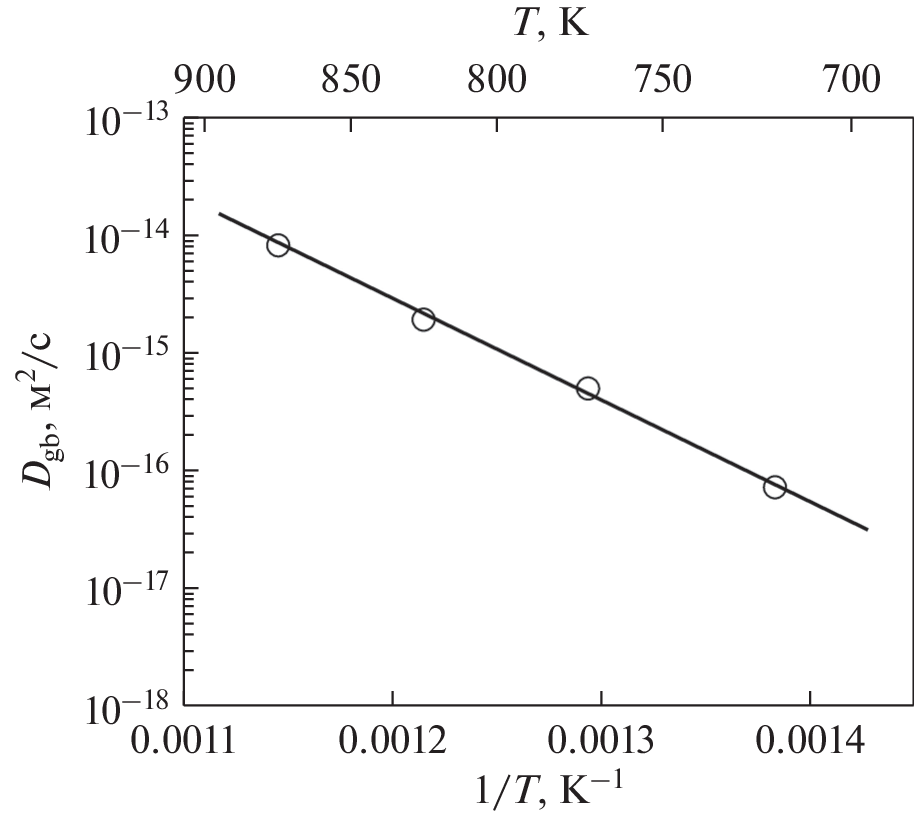
The grain-boundary diffusion of Co in Nb has been studied by a layer-by-layer radiometric analysis in the temperature range of 723–873 K. The diffusion annealing modes corresponded to the kinetic C mode, which implies that the diffusion proceeds only along grain boundaries. The coefficients of grain-boundary diffusion of Co in Nb have been determined for several temperatures from diffusion profiles. An expression for the Arrhenius dependence of Co diffusion coefficient along the grain boundaries of Nb has been determined. The temperature dependence of coefficient of grain-boundary segregation of Co in Nb is constructed
based on the temperature dependence of coefficient of grain-boundary diffusion of Co in Nb and the data in the literature on the temperature dependence of the triple product.
About the authors
V. V. Popov
Miheev Institute of Metal Physics, Ural Branch
Email: vpopov@imp.uran.ru
Ekaterinburg, 620108 Russia
A. Yu. Istomina
Miheev Institute of Metal Physics, Ural Branch
Email: vpopov@imp.uran.ru
Ekaterinburg, 620108 Russia
E. V. Osinnikov
Miheev Institute of Metal Physics, Ural Branch
Email: vpopov@imp.uran.ru
Ekaterinburg, 620108 Russia
R. M. Falakhutdinov
Miheev Institute of Metal Physics, Ural Branch
Author for correspondence.
Email: vpopov@imp.uran.ru
Ekaterinburg, 620108 Russia
References
- Воронова Л.М., Дегтярев М.В., Чащухина Т.И. Кинетика рекристаллизации ниобия с субмикрокристаллической структурой // ФММ. 2019. Т. 120. № 10. С. 1036–1042.
- Попова Е.Н., Дерягина И.Л. Эволюция структуры композита Cu–Nb при кручении под высоким давлением и последующем отжиге // ФММ. 2020. Т. 121. № 12. С.1285–1291.
- Новосилова Д.С., Поликарпова М.В., Абдюханов И.М., Дерягина И.Л., Попова Е.Н., Патраков Е.И., Цаплева А.С., Алексеев М.В. Влияние диффузионного отжига сверхпроводников на основе Nb3Sn с внутренним источником олова на электропроводность стабилизирующей меди // ФММ. 2021. Т. 122. № 1. С. 38–44.
- Попов В.В., Осинников Е.В., Фалахутдинов Р.М. Эмиссионная мессбауэровская спектроскопия границ зерен ультрамелкозернистого ниобия, полученного интенсивной пластической деформацией // ФММ. 2022. Т. 123. № 8. С. 881–887.
- Борисов Е.В., Сенчуков А.Д., Шлыков В.И. Диффузия вольфрама в W, Mo и Nb // Изв. АН СССР. Неорганические материалы. 1981. Т. 17. № 2. С. 277–281.
- Гедговд К.Н., Красовский А.И., Новиков С.М. Диффузия цезия в переходные металлы V и VI групп // ФММ. 1980. Т. 50. № 2. С.137–139.
- Koppers M., Mishinin Yu., Herzig Chr. Fast diffusion of cobalt along stationary and moving grain boundaries in niobium // Acta Metall. Mater. 1994. V. 42. № 8. P. 2859–2868.
- Грузин П.Л. Применение искусственно радиоактивных индикаторов для изучения процессов диффузии и самодиффузии // ДАН СССР. 1952. Т. 86. № 2. С. 289–292.
- Mishin Y., Herzig Chr., Bernardini J., Gust W. Grain boundary diffusion: fundamentals to recent developments. // Int. Mater. Rev. 1997. V. 42. № 4. P. 155–178.
- Kaur I., Mishin Y., Gust W. Fundamentals of grain and interface boundary diffusion. Wiley & Sons LTD, Chichester, 1995.
- Divinski S., Lee J.-S., Herzig Chr. Grain boundary diffusion and segregation in compacted and sinterad nanocrystalline alloys. //J. Metastable Nanocryst. Mater. 2004. V. 19. P. 55–68.
- Диаграммы состояния двойных металлических систем: Справочник в 3 Т.: Т. 2 / Под общей редакцией Н.П. Лякишева. М.: Машиностроение, 1997. 1024 с.
- Hondros E.D., Seah M.P. Segregation to interfaces // Int. Metall. Rev. 1977. V. 222. P. 262–301.
- Gupta D. Influence of Solute Segregation on Grain-Boundary Energy and Self-Diffusion // Metall. Trans. A. 1977. V. 8A. P. 1431–1438.
- Divinski S.V., Bokstein B.S. Recent Advances and Unsolved Problems of Grain Boundary Diffusion // Defect and Diffusion Forum 2011. V. 309–310. P. 1–8.
Supplementary files





