Магнитоупругие свойства спиновых клапанов, содержащих слои CoFe/Dy
- Авторы: Наумова Л.И.1,2, Захаров А.А.1, Миляев М.А.1,2, Бебенин Н.Г.1, Заворницын Р.С.1,2, Максимова И.К.1, Проглядо В.В.1, Устинов В.В.1,2
-
Учреждения:
- Институт физики металлов имени М.Н. Михеева УрО РАН
- Уральский Федеральный Университет, ИЕНиМ
- Выпуск: Том 124, № 3 (2023)
- Страницы: 264-274
- Раздел: ЭЛЕКТРИЧЕСКИЕ И МАГНИТНЫЕ СВОЙСТВА
- URL: https://ogarev-online.ru/0015-3230/article/view/139382
- DOI: https://doi.org/10.31857/S0015323022601817
- EDN: https://elibrary.ru/CNJOVJ
- ID: 139382
Цитировать
Полный текст
Аннотация
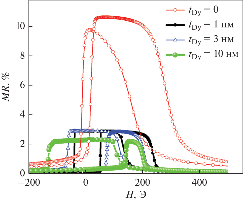
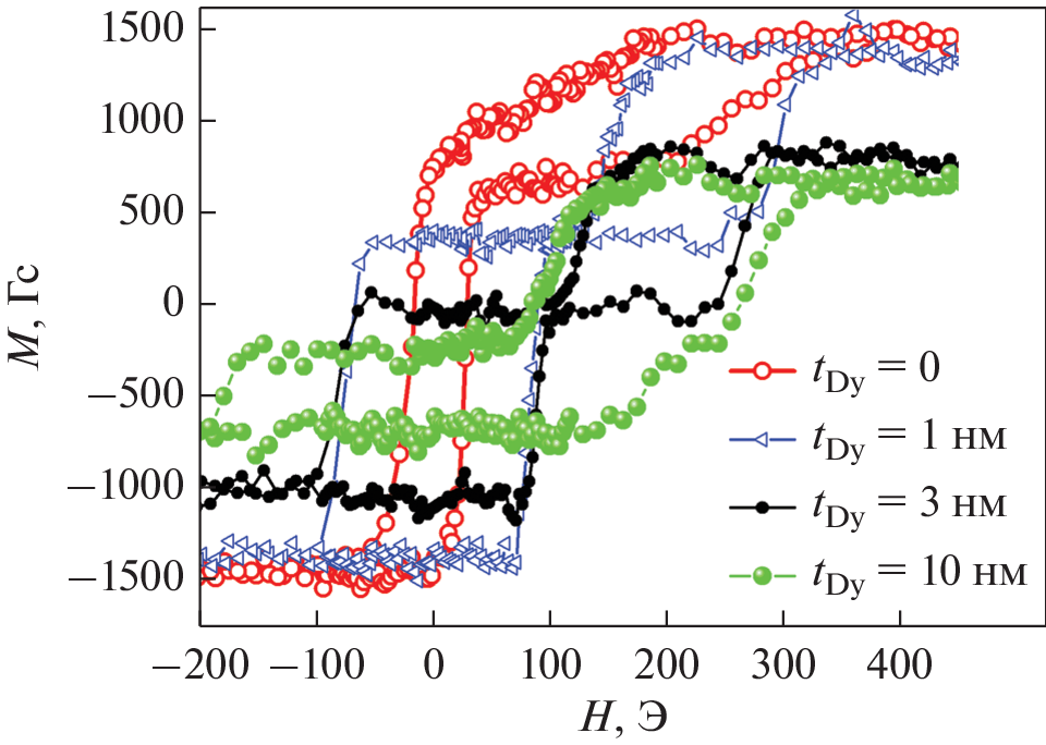
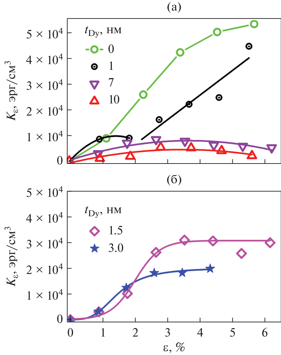
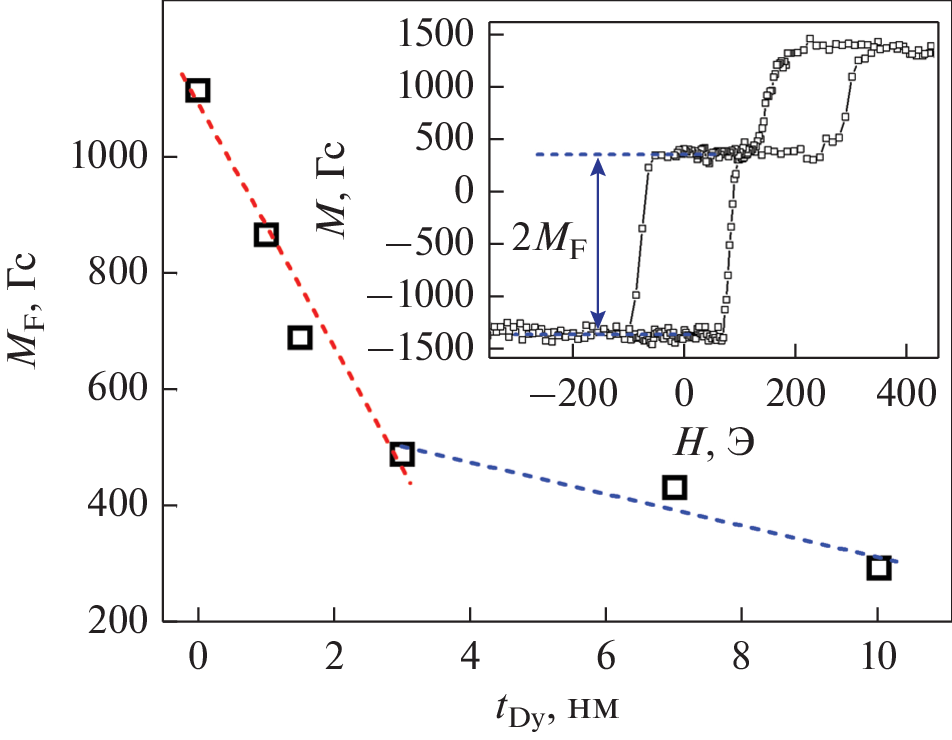
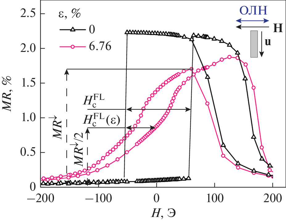
Спиновые клапаны, содержащие слой диспрозия, изготовлены на эластичной полиимидной пленке методом магнетронного напыления. Проведены измерения полевых зависимостей магнитосопротивления при различных деформациях растяжения образцов. Показано, что характер изменения магниторезистивных свойств спинового клапана при деформации растяжения зависит от толщины слоя диспрозия. В частности, толщина слоя диспрозия влияет на величину максимального относительного удлинения, при котором магнитосопротивление спиновых клапанов остается неизменным.
Ключевые слова
Об авторах
Л. И. Наумова
Институт физики металлов имени М.Н. Михеева УрО РАН; Уральский Федеральный Университет, ИЕНиМ
Email: naumova@imp.uran.ru
Россия, 620108, Екатеринбург, ул. С. Ковалевской, 18; Россия, 620002, Екатеринбург, ул. Мира, 19
А. А. Захаров
Институт физики металлов имени М.Н. Михеева УрО РАН
Email: naumova@imp.uran.ru
Россия, 620108, Екатеринбург, ул. С. Ковалевской, 18
М. А. Миляев
Институт физики металлов имени М.Н. Михеева УрО РАН; Уральский Федеральный Университет, ИЕНиМ
Email: naumova@imp.uran.ru
Россия, 620108, Екатеринбург, ул. С. Ковалевской, 18; Россия, 620002, Екатеринбург, ул. Мира, 19
Н. Г. Бебенин
Институт физики металлов имени М.Н. Михеева УрО РАН
Email: naumova@imp.uran.ru
Россия, 620108, Екатеринбург, ул. С. Ковалевской, 18
Р. С. Заворницын
Институт физики металлов имени М.Н. Михеева УрО РАН; Уральский Федеральный Университет, ИЕНиМ
Email: naumova@imp.uran.ru
Россия, 620108, Екатеринбург, ул. С. Ковалевской, 18; Россия, 620002, Екатеринбург, ул. Мира, 19
И. К. Максимова
Институт физики металлов имени М.Н. Михеева УрО РАН
Email: naumova@imp.uran.ru
Россия, 620108, Екатеринбург, ул. С. Ковалевской, 18
В. В. Проглядо
Институт физики металлов имени М.Н. Михеева УрО РАН
Email: naumova@imp.uran.ru
Россия, 620108, Екатеринбург, ул. С. Ковалевской, 18
В. В. Устинов
Институт физики металлов имени М.Н. Михеева УрО РАН; Уральский Федеральный Университет, ИЕНиМ
Автор, ответственный за переписку.
Email: naumova@imp.uran.ru
Россия, 620108, Екатеринбург, ул. С. Ковалевской, 18; Россия, 620002, Екатеринбург, ул. Мира, 19
Список литературы
- Ha M., Cañón Bermúdez G.S., Kosub T., Mönch I., Zabila Y., Oliveros E.S., Illing R., Wang Y., Fassbender J., Makarov D. Printable and Stretchable Giant Magnetoresistive Sensors for Highly Compliant and Skin-Conformal Electronics // Adv. Mater. 2021. V. 33. P. 2005521.
- Rivkin B., Becker C., Akbar F., Ravishankar R., Karnaushenko D.D., Naumann R., Mirhajivarzaneh A., Medina-Sánchez M., Karnaushenko D. and Schmidt O.G. Shape-Controlled Flexible Microelectronics Facilitated by Integrated Sensors and Conductive Polymer Actuators // Adv. Intell. Syst. 2021. V. 3. P. 2000238.
- Cañón Bermúdez G.S., Makarov D. Magnetosensitive E-Skins for Interactive Devices // Adv. Funct. Mater. 2021. V. 31. P. 2007788.
- Kai Wu, Denis Tonini, Shuang Liang, Renata Saha, Vinit Kumar Chugh, Jian-Ping Wang. Giant Magnetoresistance Biosensors in Biomedical Applications // ACS Appl. Materials & Interfaces. 2022. V. 14. P. 9945–9969.
- Hawsawi M., Amara S., Mashraei Y., Almansouri A., Mohammad H., Sevilla G.T., Jakob G., Jaiswal S., Kläui M., Haneef A., Saoudi A., Hussain M., Kosel J. Flexible Magnetoresistive Sensors for Guiding Cardiac Catheters // IEEE Intern. Symposium on Medical Measurements and Applications. 2018. P. 1–5.
- Cardoso S., Leitao D.C., Dias T.M., Valadeiro J., Silva M.D., Chicharo A., Silverio V., Gaspar J., Freitas P.P. Challenges and trends in magnetic sensor integration with microfluidics for biomedical applications // J. Phys. D: Appl. Phys. 2017. V. 50. P. 213001.
- Carvalho M., Ribeiro P., Romão V., Cardoso S. Smart fingertip sensor for food quality control: Fruit maturity assessment with a magnetic device // J. Magn. Magn. Mater. 2021. V. 536. P. 168116.
- Cheng W., Zhou Z., Pan M., Yang H., Xie Y., Wang B., Zhan Q., Li R.-W. Stretchable spin valve with strain-engineered wrinkles grown on elastomeric polydimethylsiloxane // J. Phys. D: Appl. Phys. 2019. V. 52. P. 095 003.
- Ferreira M.V., Mouro J., Silva M., Silva A., Cardoso S., Leitao D.C. Bringing flexibility to giant magnetoresistive sensors directly grown onto commercial polymeric foils // J. Magn. Magn. Mater. 2021. V. 538. P. 168153.
- Dieny B. and Speriosu V.S. and Parkin S.S.P., Gurney B.A., Wilhoit D.R., Mauri D. Giant magnetoresistive in soft ferromagnetic multilayers // Phys. Rev. B. 1991. V. 43. P. 1297–1300.
- King J.P., Chapman J.N., Kools J.C.S., Gillies M.F. On the free layer reversal mechanism of FeMn-biased spin-valves with parallel anisotropy // J. Phys. D: Appl. Phys. 1999. V. 32. P. 1087–1096.
- Labrune M., Kools J.C.S., Thiaville A. Magnetization rotation in spin-valve multilayers // J. Magn. Magn. Mater. 1997. V. 171. P. 1–15.
- Жуков Д.А., Крикунов А.И., Амеличев В.В., Костюк Д.В., Касаткин С.И. магнитострикционные наноструктуры с гигантским магниторезистивным эффектом для устройств магнитной стрейнтроники // Изв. РАН. Сер. Физическая. 2020. Т. 84. № 5. С. 730–732.
- Ota S., Ando A., Chiba D. A flexible giant magnetoresistive device for sensing strain direction // Nat. Electron. 2018. V. 1. P. 124–129.
- Matsumoto H., Ota S., Ando A., Chiba D. A flexible exchange-biased spin valve for sensing strain direction // Appl. Phys. Lett. 2019. V. 114. P. 132401.
- Saito K., Imai A., Ota S., Koyama T., Ando A., Chiba D. CoFeB/MgO-based magnetic tunnel junctions for film-type strain gauge // Appl. Phys. Lett. 2022. V. 120. P. 072 407.
- Наумова Л.И., Миляев М.А., Заворницын Р.С., Криницина Т.П., Чернышова Т.А., Проглядо В.В., Устинов В.В. Магниторезистивные свойства псевдо спиновых клапанов CoFe/Cu/CoFe/Dy в условиях интердиффузии слоев диспрозия и ферромагнитного сплава CoFe // ФММ. 2019. Т. 120. № 5. С. 464–470.
- Наумова Л.И., Миляев М.А., Заворницын Р.С., Макарова М.В., Проглядо В.В., Устинов В.В., Русалина А.С. Магнитотрансопртные свойства спиновых клапанов на основе обменно-связанных нанослоев гелимагнетика Dy и ферромагнетика Co90Fe10 // ФММ. 2022. Т. 123. № 10. С. 1011–1019.
- Bhatt R. C., Ye L.-X., Luo Y.-C., Wu T-H. Study of RExFe100 – x (RE = Tb, Dy, Gd) ferrimagnets for SOT application // J. Appl. Phys. 2019. V. 125. P. 113 902.
- Bhattacharjee A. K., Jullien R., Zuckermann M.J. Magnetic properties of amorphous metallic alloys containing rare earth impurities // J. Phys. F: Met. Phys. 1977. V. 7. P. 393–399.
- Shan Z.C., Sellmyer D.J. Magnetism of rare-earth-transition metal nanoscale multilayers // Phys. Rev. B. 1990. V. 42. № 16. P. 433–445.
- Raasch D. Recording characteristics of Dy–Fe–Co based magneto-optical disks in comparison to other MO materials // IEEE Trans. Magn. 1993. V. 29. № 1. P. 34–40.
- Hansen P., Klahn S., Clausen C., Much G., Witter K. Magnetic and magneto-optical properties of rare-earth transition-metal alloys containing Dy, Ho, Fe, Co // J. Appl. Phys. 1990. V. 69. P. 3194–3207.
- Белов К.П. Магнитострикционные явления. Материалы с гигантской магнитострикцией // Соровский образовательный журн. 1998. № 3. С. 112–117.
- Nakagawa S., Yamada M., Tokuriki N. Stress Induced Enhancement of Magnetization Reversal Process of DyFeCo Films With Perpendicular Magnetization // IEEE Trans. Magn. 2006. V. 42. P. 3773–3775.
- Saito N., Yamada M., Nakagawa S. Improvement of stress-induced magnetization reversal process of DyFeCo thin films // J. Appl. Phys. 2008. V. 103. P. 07A706.
- Горелик С.С., Расторгуев Л.Н., Скаков Ю.А. Рентгенографический и электроннооптический анализ // Металлургия. 1970. С. 209–213.
- Заворницын Р.С., Наумова Л.И., Миляев М.А., Макарова М.В., Криницина Т. П., Проглядо В.В., Устинов В.В. Неколлинеарное магнитное упорядочение в слое диспрозия и магнитотранспортные свойства спинового клапана, содержащего структуру CoFe/Dy/CoFe // ФММ. 2020. Т. 121. № 7. С. 688–695.
- Svalov A.V., Kurlyandskaya G.V., Vas’kovskiy V.O. Thermo-sensitive spin valve based on layered artificial ferrimagnet // Appl. Phys. Lett. 2016. V. 108. P. 063504(1–4).
- Jerome R., Valet T., Galtier P. Correlation between magnetic and structural properties of Ni80Fe20 sputtered thin films deposited on Cr and Ta buffer layers // IEEE Trans. Magn. 1994. V. 30. P. 4878–4880.
- Naumova L.I., Zavornitsyn R.S., Milyaev M.A., Bebenin N.G., Pavlova A.Y., Makarova M.V., Maksimova I.K., Proglyado V.V., Zakharov A.A., Ustinov V.V. Bending sensor based on flexible spin valve // Chinese Phys. B. 2022.
- Milyaev M., Naumova L., Proglyado V., Krinitsina T., Bannikova N., Ustinov V. High GMR Effect and Perfect Microstructure in CoFe/Cu Multilayers// IEEE Trans. Magn. 2019. V. 55. P. 2300904.
- Gschneidner K.A. Physical properties of the rare earth metals. Bulletin of Alloy Phase Diagrams // Bulletin of alloy phase diagrams. 1990. V. 11. P. 216–224.
- Belousov O.K., Palii N.A. Concentration and temperature dependences of the elastic properties of quenched Fe–Co and FeCo–2V alloys // Russ. Metall. 2009. P. 41–49.
- Vas’ko V.A., Rantschler J.O., Kief M.T. Structure, Stress, and Magnetic Properties of High Saturation Magnetization Films of FeCo // IEEE Trans. Magn. 2004. V. 40. P. 2335–2337.
- Lü R., Hashimoto T., Toriyama T., Funayama T., Sahashi M., Tang Y. Co Substitution Effect on Magnetic and Magnetostrictive Properties of DyFe2 // Jpn. J. Appl. Phys. 1995. V. 34. P. 1848–1850.
- Clark A.E., Abbundi R., Savage H.T., McMasters O.D. Magnetostriction of rare earth-Fe2 laves phase compounds // Physica B+C. 1977. V. 86–88. P. 73–74.
- Pfeifer F., Radeloff C. Soft magnetic Ni–Fe and Co–Fe alloys—some physical and metallurgical aspects // J. Magn. Magn. Mater. 1980. V. 19. P. 190–207.
- Fukuzawa H., Kamiguchi Y., Koi K., Iwasaki H., Sahashi M. Saturation magnetostriction of an ultrathin CoFe free-layer on double-layered underlayers // J. Appl. Phys. 2002. V. 91. P. 3120–3124.
Дополнительные файлы














