The Electronic Structure and Optical Properties of Heusler Alloys Mn2 – xFe1 + xAl (x = –0.5, 0, 0.5, 1)
- Authors: Shreder E.I.1, Lukoyanov A.V.1,2, Mukhachev R.D.1, Filanovich A.N.1,3, Dash S.4, Patra A.K.5, Vasundhara M.6
-
Affiliations:
- Institute of Metal Physics, Ural Branch, Russian Academy of Sciences
- Ural Federal University
- Ural Federal University, Ekaterinburg
- Central University of Rajasthan NH-8ж MLR Institute of Technology
- Central University of Rajasthan NH-8
- Polymers and Functional Materials Department, CSIR-Indian Institution of Chemical Technology
- Issue: Vol 124, No 3 (2023)
- Pages: 257-263
- Section: ЭЛЕКТРИЧЕСКИЕ И МАГНИТНЫЕ СВОЙСТВА
- URL: https://ogarev-online.ru/0015-3230/article/view/139380
- DOI: https://doi.org/10.31857/S001532302260201X
- EDN: https://elibrary.ru/CNPMQN
- ID: 139380
Cite item
Full Text
Abstract
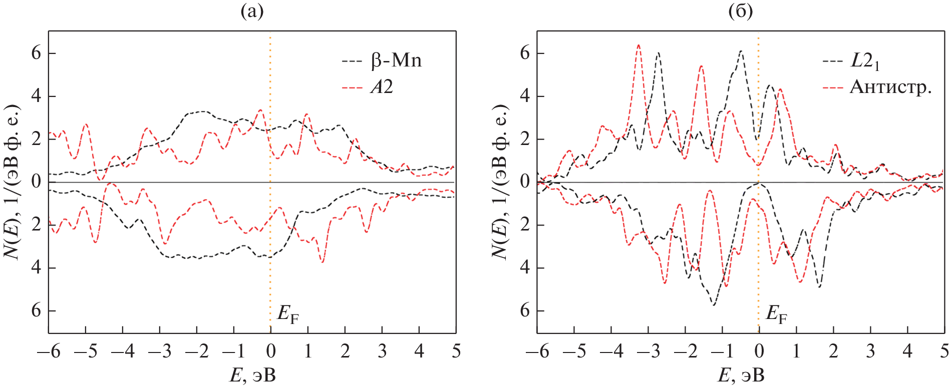
In this paper, we present the calculation results of the electronic structure and optical spectrum
and an experimental study of the optical properties of Heusler alloys Mn2 – xFe1 + xAl (x = –0.5, 0, 0.5, 1).
An anomalous for metallic systems behavior of the optical conductivity of alloys in the IR region of the spectrum
was found: the absence of Drude growth and a high level of interband absorption. This behavior is shown
to be determined by the features of the electronic structure: the Fermi level is located in the region of high
density of states that is formed by the d states of Mn and Fe.
Keywords
About the authors
E. I. Shreder
Institute of Metal Physics, Ural Branch, Russian Academy of Sciences
Email: shreder@imp.uran.ru
Ekaterinburg, 620108 Russia
A. V. Lukoyanov
Institute of Metal Physics, Ural Branch, Russian Academy of Sciences; Ural Federal University
Email: shreder@imp.uran.ru
Ekaterinburg, 620108 Russia; Ekaterinburg, 620002 Russia
R. D. Mukhachev
Institute of Metal Physics, Ural Branch, Russian Academy of Sciences
Email: shreder@imp.uran.ru
Ekaterinburg, 620108 Russia
A. N. Filanovich
Institute of Metal Physics, Ural Branch, Russian Academy of Sciences; Ural Federal University, Ekaterinburg
Email: shreder@imp.uran.ru
Ekaterinburg, 620108 Russia; Ekaterinburg, 620002 Russia
Shubra Dash
Central University of Rajasthan NH-8ж MLR Institute of Technology
Email: shreder@imp.uran.ru
Bandrasindri, Rajasthan, 305817 India; Dundigal, Hyderabad-500043, Telangana, India
A. K. Patra
Central University of Rajasthan NH-8
Email: shreder@imp.uran.ru
India, Rajasthan, Bandarsindri 305817
M. Vasundhara
Polymers and Functional Materials Department, CSIR-Indian Institution of Chemical Technology
Author for correspondence.
Email: shreder@imp.uran.ru
India, Telangana, Hyderabad, Tarnaka-500007
References
- Dash Sh., Lukoyanov A.V., Nancy, Mishra D., Mohammed Rasi U.P., Gangineni R.B., Vasundhara M., Patra A.K. Structural stability and magnetic properties of Mn2FeAl alloy with a β-Mn structure // JMMM. 2020. V. 513. P. 167205.
- Khorwal A.K., Nancy, Dash Sh., Kumar A., Lukoyanov A.V., Shreder E.I., Bitla Yu., Vasundhara M., Patra A.K. Evidence for canonical spin glass behaviour in polycrystalline Mn1.5Fe1.5Al Heusler alloy // JMMM. 2022. V. 546. P. 168 752.
- Марченков В.В., Ирхин В.Ю., Перевозчикова Ю.А., Терентьев П.Б., Семянникова А.А., Марченкова Е.Б., Eisterer M. Кинетические свойства и полуметаллический магнетизм в сплавах Гейслера Mn2YAl // ЖЭТФ. 2019. Т. 155. Вып. 6. С. 1083–1090.
- Wollmann L., Chadov S., Kübler J., Felser C. Magnetism in cubic manganese-rich Heusler compounds // Phys. Rev. B. 2014. V. 90. P. 214420.
- Yang Z.J., Gao Q.H., Xiong H.N., Shao J.X., Wang X.W., Xu Z.J. Pressure-induced magnetic moment abnormal increase in Mn2FeAl and non-continuing decrease in Fe2MnAl via first principles // Sci. Rep. 2017. V. 7. P. 16 522.
- Luo H.Z., Zhang H.W., Zhu Z.Y., Ma L., Xu S.F., Wu G.H., Zhu X.X., Jiang C.B., Xu H.B. Half-metallic properties for the Mn2FeZ (Z = Al, Ga, Si, Ge, Sb) Heusler alloys: A first-principles study // J. App. Phys. 2008. V. 103. P. 083908.
- Gavrikov I., Seredina M., Zheleznyy M., Shchetinin I., Karpenkov D., Bogach A., Chatterjee R., Khovaylo V. Magnetic and transport properties of Mn2FeAl // JMMM. 2019. V. 478. № 1. P. 55–58.
- Jum’h I., Sâad essaoud S., Baaziz H., Charifi Z., Telfah A. Electronic and Magnetic Structure and Elastic and Thermal Properties of Mn2-Based Full Heusler Alloys // J. Supercond. Novel Magn. 2019. V. 32. P. 3915–3926.
- Li H., Hayashi K., Nagashima Y., Yoshioka S., Dong J., Li J-F., Miyazaki Y. Effects of Disorder on the Electronic Structure and Thermoelectric Properties of an Inverse Full–Heusler Mn2CoAl Alloy // Chem. Mater. 2021. V. 33. P. 2543–2547.
- Hayashi K., Li H., Eguchi M., Nagashima Y., Miyazaki Y. Magnetic Full-Heusler Compounds for Thermoelectric Applications / Magnetic Materials and Magnetic Levitation (ed. D.R. Sahu and V.N. Stavrou. https://doi.org/10.5772/intechopen.92867
- Hayashi K., Eguchi M., Miyazaki Y. Structural and Thermoelectric Properties of Ternary Full–Heusler Alloys //J. Electronic Materials. 2017. V. 46. P. 2710.
- Webster P.J. Heusler Alloys // Contemporary Physics. 1969. V. 10. P. 559–577.
- Шредер Е.И., Свяжин А. Д., Фомина К. А. Оптические свойства сплавов Гейслера Fe2NiAl, Fe2MnAl // ФММ 2012. Т. 113. № 2. С. 155–161.
- Шредер E.И., Maхнев A.A., Лукоянов A.В., Сташкова Л.А., Кузьмин Ю.И., Семянникова А.А., Марченков В.В. Оптические свойства сплава Гейслера Mn2FeAl с β-Mn структурой // ФММ. 2021. Т. 122. С. 791–795.
- Шредер Е.И., Лукоянов А.В., Махнев А.А., Кузьмин Ю.И., Даш Ш., Патра А.К., Васундхара М. Электронная структура и оптические свойства сплава Гейслера Mn1.5Fe1.5Al // ЖЭТФ. 2021. Т. 160. Вып. 4(10). С. 546–552.
- Giannozzi P., Andreussi O., Brumme T., Bunau O., Nardelli M.B., Calandra M., Car R., Cavazzoni C., Ceresoli D., Cococcioni M., Colonna N., Carnimeo I., Dal Corso A., de Gironcoli S., Delugas P., DiStasio Jr. R.A., Ferretti A., Floris A., Fratesi G., Fugallo G., Gebauer R., Gerstmann U., Giustino F., Gorni T., Jia J., Kawamura M., Ko H.-Y., Kokalj A., Küçükbenli E., Lazzeri M., Marsili M., Marzari N., Mauri F., Nguyen N.L., Nguyen H.-V., Otero-de-la-Roza A., Paulatto L., Poncé S., Rocca D., Sabatini R., Santra B., Schlipf M., Seitsonen A.P, Smogunov A., Timrov I., Thonhauser T., Umari P., Vast N., Wu X., Baroni S. Advanced capabilities for materials modelling with Quantum ESPRESSO // J. Phys.: Condens. Matter. 2017. V. 29. P. 465901.
- Соколов А.В. Оптические свойства металлов. М.: ГИФМЛ, 1961. 464 с.
Supplementary files







