Поведение двух магнитных состояний с температурой в “умных” антикоррозионных покрытиях
- Авторы: Чаусов Ф.Ф.1, Ульянов А.Л.1, Казанцева И.С.1, Добышева Л.В.1
-
Учреждения:
- Удмуртский федеральный исследовательский центр УрО РАН
- Выпуск: Том 124, № 1 (2023)
- Страницы: 36-41
- Раздел: ЭЛЕКТРИЧЕСКИЕ И МАГНИТНЫЕ СВОЙСТВА
- URL: https://ogarev-online.ru/0015-3230/article/view/139328
- DOI: https://doi.org/10.31857/S0015323022601416
- EDN: https://elibrary.ru/KQQCBB
- ID: 139328
Цитировать
Полный текст
Аннотация
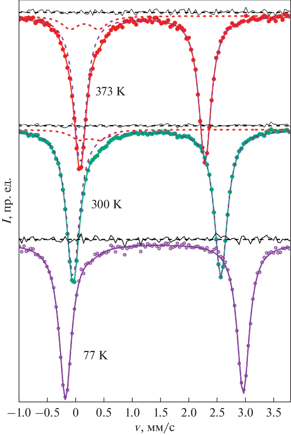
Соединения нитрилотриметиленфосфоновой кислоты (NTP) с переходными металлами часто используют в качестве ингибиторов коррозии стали. На поверхности стали образуется антикоррозионное покрытие FeNTP. Допирование некоторыми металлами (например, Zn или Cd) намного улучшает антикоррозионные свойства. Несмотря на полную изоструктурность FeNTP, FeZnNTP и FeCdNTP, при допировании происходят существенные изменения свойств: 1) атомы Fe в FeNTP находятся в высокоспиновом (HS) состоянии, тогда как FeZnNTP и FeCdNTP содержат атомы Fe с нулевым спином (LS) (рентгеноэлектронные спектры); 2) различие в квадрупольном расщеплении (мессбауэровская спектроскопия), специфичное для соотношения между HS- и LS-состояниями. Квантовомеханические расчеты системы FeNTP показали два решения, свойства которых совпадали с экспериментально найденными LS- и HS-состояниями для этих систем. В настоящей работе мы проверяем гипотезу о сосуществовании двух состояний. Получены мессбауэровские спектры FeNTP, FeZnNTP и FeCdNTP при различных температурах (77, 300 и 373 K) для изучения возможного теплового перераспределения между двумя магнитными состояниями. Данные свидетельствуют, что при повышении температуры в FeNTP появляется вторая компонента (основное состояние – HS, LS проявляется уже при комнатной и ее доля растет с температурой), в FeZnNTP (основное состояние – LS, HS появляется при 373 K). FeCdNTP имеет только одну LS компоненту при всех исследованных температурах.
Об авторах
Ф. Ф. Чаусов
Удмуртский федеральный исследовательский центр УрО РАН
Email: lyuka17@mail.ru
Россия, 426067, Ижевск, ул. Т. Барамзиной, 34
А. Л. Ульянов
Удмуртский федеральный исследовательский центр УрО РАН
Email: lyuka17@mail.ru
Россия, 426067, Ижевск, ул. Т. Барамзиной, 34
И. С. Казанцева
Удмуртский федеральный исследовательский центр УрО РАН
Email: lyuka17@mail.ru
Россия, 426067, Ижевск, ул. Т. Барамзиной, 34
Л. В. Добышева
Удмуртский федеральный исследовательский центр УрО РАН
Автор, ответственный за переписку.
Email: lyuka17@mail.ru
Россия, 426067, Ижевск, ул. Т. Барамзиной, 34
Список литературы
- Kuznetsov Yu.I., Mercer A.D., Thomas J.G.N. Organic Inhibitors of Corrosion of Metals // Springer. N.Y. 1996. 284 p. https://doi.org/10.1007/978-1-4899-1956-4
- Demadis K.D., Katarachia S.D., Koutmos M. Crystal growth and characterization of zinc-(amino-tris-(methylenephosphonate)) organic-inorganic hybrid networks and their inhibiting effect on metallic corrosion // Inorg. Chem. Commun. 2005. V. 8. P. 254–258. https://doi.org/10.1016/j.inoche.2004.12.019
- Сомов Н.В., Чаусов Ф.Ф. Структура ингибитора солеотложений и коррозии – тридекагидрата нитрилотриметилентрифосфонатоцинката тетранатрия // Кристаллография. 2014. Т. 59. С. 71–75. https://doi.org/10.7868/S0023476113050123
- Shchukin D.G. Container-based multifunctional self-healing polymer coatings // Polym. Chem. 2013. V. 4. P. 4871–4877. https://doi.org/10.1039/c3py00082f
- Zhang F., Ju P., Pan M., Zhang D., Huang Y., Li G., Li X. Self-healing mechanisms in smart protective coatings: A review // Corros. Sci. 2018. V. 144. P. 74–88. https://doi.org/10.1016/j.corsci.2018.08.005
- Кузнецов Ю.И. Современное состояние теории ингибирования коррозии металлов // Защита металлов. 2002. Т. 38. С. 122–131.
- Кузнецов Ю.И. Физико-химические аспекты ингибирования коррозии металлов в водных растворах // Успехи химии. 2004. Т. 73. P. 79–93. https://doi.org/10.1070/RC2004v073n01ABEH000864
- Сомов Н.В., Чаусов Ф.Ф., Закирова Р.М., Шумилова М.А., Александров В.А., Петров В.Г. Синтез, структура и свойства нитрило-трис(метиленфосфонато)-триакважелеза(II) {Fe[μ-NH(CH2PO3H)3](H2O)3} – ингредиента защитных противокоррозионных покрытий на поверхности стали // Кристаллография. 2015. Т. 60. С. 915–921. https://doi.org/10.7868/S0023476115060338
- Чаусов Ф.Ф., Сомов Н.В., Закирова Р.М., Алалыкин А.А., Решетников С.М., Петров В.Г., Александров В.А., Шумилова М.А. Линейные органическо-неорганические гетерометаллические сополимеры [(Fe, Zn)(H2O)3{NH(CH2PO3H)3}]n и [(Fe,Cd)(H2O)3{NH(CH2PO3H)3}]n: недостающее звено механизма ингибирования локальной коррозии стали фосфонатами // Известия РАН, Сер. Физическая. 2017. Т. 81. С. 394–396. https://doi.org/10.7868/S0367676517030085
- Chausov F.F., Kazantseva I.S., Reshetnikov S.M., Lomova N.V., Maratkanova A.N., Somov N.V. Zinc and Cadmium Nitrilotris(methylenephosphonate)s: A comparative study of different coordination structures for corrosion inhibition of steels in neutral aqueous media // ChemistrySelect. 2020. V. 5. P. 13711–13719. https://doi.org/10.1002/slct.202003255
- Chausov F.F., Lomova N.V., Dobysheva L.V., Somov N.V., Ul’yanov A.L., Maratkanova A.N., Kholzakov A.V., Kazantseva I.S. Linear organic/inorganic iron(II) coordination polymer based on Nitrilo-tris(Methylenephosphonic acid): Spin crossover induced by Cd doping // J. Solid State Chem. 2020. V. 286. P. 121324. https://doi.org/10.1016/j.jssc.2020.121324
- Dobysheva L.V., Chausov F.F., Lomova N.V. Electronic structure and chemical bonding in smart anti-corrosion coatings // Mater. Today Comm. 2021. V. 29. P. 102 892. https://doi.org/10.1016/j.mtcomm.2021.102892
- König E. Nature and dynamics of the spin-state interconversion in metal complexes // Complex Chemistry. Structure and Bonding. 1991. V. 76. P. 51–152. Springer, Berlin, Heidelberg. 1991. https://doi.org/10.1007/3-540-53499-7_2
Дополнительные файлы








