Broad-leaved-korean pine fern-sedge-chlorantus forest communities in Sikhote-Alin
- Authors: Komarova T.A.1, Terekhina N.V.2, Glushko S.G.3, Prokhorenko N.B.4
-
Affiliations:
- Federal Scientific Center for Biodiversity of Terrestrial Biota of East Asia, Far Eastern Branch of RAS
- St. Petersburg State University
- Kazan State Agrarian University
- Kazansky (Volga) Federal University
- Issue: Vol 109, No 11 (2024)
- Pages: 1104-1120
- Section: COMMUNICATIONS
- URL: https://ogarev-online.ru/0006-8136/article/view/280325
- DOI: https://doi.org/10.31857/S0006813624110029
- EDN: https://elibrary.ru/okhkwn
- ID: 280325
Cite item
Full Text
Abstract
The distribution and natural course of post-fire development of communities of broad-leaved-Korean pine liana-shrub fern-sedge-chloranthus forests occupying small areas on the territory of the Southern and Middle Sikhote-Alin was analyzed. The populations of wild rare and unique species Panax ginseng were found in communities of this forest type on the Ussuri Ararat Ridge. The ginseng plants occurred in 10 forest communities of this type of 23 ones surveyed in this territory, in number from 1 to 31 plants on an area of 0.25 hectares. The basins of 5 brooks, where the forest communities of the studied type grew, formed the basis for establishment of a ginseng reserve. However, the project to preserve the biodiversity of the unique forest territories of Sikhote-Alin and the creation of a ginseng reserve in the basins of 5 brooks was not approved and intense timber harvesting was carried out in the forests on this territory. Due to uniqueness and rare occurrence of broad-leaved-Korean pine fern-sedge-chloranthus forests, this article is devoted to the distribution and characterization of the composition, structure and dynamics of communities during reforestation successions. The dynamics of taxation indicators of stands and coenotic significance in woody species, as well as the nature of changes in species composition, plant abundance and the mass of aboveground parts in shrubs, woody lianas and herbaceous plants at different stages of reforestation successions after fires are considered. An ecological group of species associated in their distribution with Panax ginseng plants has been established, for which the distribution limits by three leading environmental factors are indicated.
Full Text
В рамках долговременной программы и принятого постановления от 15.11.1998 № 511 “О стратегии сохранения биоразнообразия Сихотэ-Алиня” (“About the strategy of Sikhote-Alin biodiversity preserving”) научными сотрудниками отдела леса Биолого-почвенного института ДВО РАН (ныне – ФНЦ Биоразнообразия ДВО РАН) в летние периоды были проведены геоботанические и лесоводственные исследования лесной растительности в целях обоснования создания природного парка “Уссурийский Арарат” площадью 66.4 тыс. га, в пределах которого планировалось образование женьшеневого заказника. Уникальность планируемого природного парка состояла в распространении на этой территории естественных популяций дикорастущего женьшеня (Panax ginseng C.A. Mey). При этом женьшеневому заказнику отводилась важная роль как центру восстановления дикорастущего женьшеня.
Территория планируемого природного парка “Уссурийский Арарат” расположена на западных отрогах Среднего Сихотэ-Алиня и характеризуется сильно расчлененным низко- и среднегорным рельефом с абсолютными отметками вершин от 260 м до наиболее высоких горных вершин: гора Арарат – 1385.4 м, гора Антоновка – 1385.9 м над ур. м. С запада и юга отграничена руслом р. Антоновка, а с севера и востока – р. Павловка и ее притоками. Поселки Шумный, Ленино и Нижние Лужки находятся в непосредственной близости от исследуемого участка с севера, запада и востока соответственно.
В результате 4-летних исследований лесной растительности наиболее высокая встречаемость растений P. ginseng здесь была отмечена в сообществах широколиственно-кедрового лианово-кустарникового папоротниково-осоково-хлорантового типа леса, встречающихся небольшими участками в бассейнах руч. Струистого – правого притока р. Антоновка, а также руч. Сухановский, р. Приходьков Ключ, р. Солонцовый Ключ и р. Приходько – левых притоков р. Павловка.
Несмотря на всестороннее эколого-экономическое обоснование специалистами разных областей науки необходимости и важности создания природного парка “Уссурийский Арарат”, руководством Приморского края не было принято экспертное заключение. В результате грубого нарушения российских проектов по сохранению уникальных растительных объектов в сентябре 2000 г. леса в бассейнах названных рек и ручьев были отведены под рубки и в следующем году началась интенсивная заготовка древесины.
Результаты проведенных исследований не были опубликованы, за исключением отдельных материалов, вошедших в коллективную монографию (Komarova et al., 2017). В связи с основной приуроченностью популяций дикорастущих растений P. ginseng к сообществам широколиственно-кедрового лианово-кустарникового папоротниково-осоково-хлорантового типа леса, вопросы распространения этих лесов и их развития имеют большое научное и практическое значение.
Сообщества рассматриваемого типа леса распространены на Южном и Среднем Сихотэ-Алине фрагментарно и небольшими участками в нижних и средних частях пологих склонов южных румбов. В опубликованной литературе такие леса были отмечены на территории Среднего Сихотэ-Алиня только Н.В. Дылисом и П.Б. Виппером (Dylis, Wipper, 1953) на базальтовом плато в междуречье р. Немпту и Мухеня на высоте 200–270 м над ур. м.
Следует подчеркнуть, что к настоящему времени все промышленно значимые лесные ресурсы кедрово-широколиственных и темнохвойно-кедровых лесов Сихотэ-Алиня, как и всего Дальнего Востока, сильно истощены, а сохранившиеся лесные массивы приурочены к крутым склонам или находятся в заповедниках, заказниках и других охраняемых территориях. Своеобразным эталоном и охраняемым объектом приморской тайги с господством широколиственно-кедровых и темнохвойно-кедровых лесов может служить Верхнеуссурийский биогеоценотический стационар, сформированный в 1973 г. сотрудниками отдела леса Биолого-почвенного института ДВО РАН. Расположен он в бассейне р. Правая Соколовка (приток IV порядка р. Уссури) и занимает площадь около 4.5 тыс. га. На территории Верхнеуссурийского стационара были обнаружены и обследованы три сообщества рассматриваемого широколиственно-кедрового типа леса, находящиеся на разных стадиях послепожарного восстановления.
Цель настоящей работы – рассмотреть особенности развития сообществ широколиственно-кедрового лианово-кустарникового папоротниково-осоково-хлорантового леса с участием Panax ginseng, находящихся на разных стадиях лесовосстановительного процесса после пожаров, и рассмотреть характер развития популяций P. ginseng в этих сообществах.
Объекты исследований
Согласно физико-географическому районированию рассматриваемые участки находятся в пределах Западно-Сихотэ-Алинской провинции Сихотэ-Алинской горной области Амуро-Приморской страны (Gvozdetsky, Mikhailov, 1987). Район исследования охватывает верхние части бассейнов рек Соколовка, Павловка и Антоновка, притоков р. Уссури в ее верхнем течении в пределах координат 43°08ʹ–44°01ʹ с.ш. и 133°09ʹ–134°03ʹ в.д. В геоморфологическом отношении изучаемая территория принадлежит северной части Южного и южной части Среднего Сихотэ-Алиня, образованных низко- и среднегорными массивами со средней высотой 400–700 м над ур. м., вытянутых преимущественно в северо-восточном направлении.
По геоботаническому районированию Б.П. Колесникова (Kolesnikov, 1958) исследуемый район принадлежит Маньчжурско-Сихотэ-Алинской провинции травянисто-папоротниковых смешанных и широколиственных лесов. Главная ландшафтообразующая роль до второй половины прошлого столетия принадлежала широколиственно-кедровым лесам (Kolesnikov, 1958).
Биогеоценозы рассматриваемого типа леса развиваются в наиболее благоприятных условиях по режимам тепла, влажности и почвенного плодородия (Komarova et al., 2017). Почвы среднесуглинистые глубокие бурые горнолесные, хорошо дренированные с постоянным и устойчивым увлажнением, осуществляющимся за счет атмосферных осадков и почвенно-грунтовых вод, стекающих с вышележащих участков. Лесные сообщества отличаются высоким флористическим разнообразием, сложностью структуры и большой продуктивностью.
К диагностическим видам этого типа леса, установленным с помощью блоков сопряженных диагностических видов, используемых в системе методов эколого-флористической классификации Браун-Бланке (Ellenberg, 1956; и др.), относятся неморальные мегатрофы и мезотрофы (Chloranthus japonicus Siebold, P. ginseng, Dioscorea nipponica Makino, Tilia amurensis Rupr., Viburnum sargentii Koehne, Polygonatum involucratum (Franch. et Savat.) Maxim.), среди которых наиболее высоким постоянством и обилием отличается хлорант японский (Chloranthus japonicus). Лесные сообщества представлены хорошо развитыми и разнообразными по составу древесным, кустарниковым и кустарничково-травяным ярусами и характеризуются полидоминантным видовым составом во всех ярусах.
Для производных древостоев характерно доминирование видов берез (Betula platyphylla Sukacz., B. costata Trautv.), разделяющих иногда господство с осиной (Populus tremula L.) и ивой козьей (Salix caprea L.). Господство берез и осины длится до 130–140 лет. К этому времени в основной полог древостоя начинают переходить хвойные (Pinus koraiensis Siebold et Zucc., Abies nephrolepis (Trautv.) Maxim., Picea ajanensis (Lindl.et Gord.) Fisch. ex Carr.) и широколиственные породы (Quercus mongolica Fisch. ex Ledeb., Tilia taquetii Schneid., Acer mono Maxim. и др.), а в подчиненных пологах эти виды играют ведущую роль.
Древостои восстановившихся лесов с господством Pinus koraiensis и широколиственных пород (Quercus mongolica, Tilia taquetii, Acer mono и др.) развиваются преимущественно по II и III классу бонитета, запасы их древесной массы достигают 300–350 м3/га.
Активному естественному возобновлению древесных пород в первые годы сукцессии сообществ исследуемого типа леса обычно препятствуют хорошо развитые кустарниковый и кустарничково-травяной ярусы. Почти на всех стадиях послепожарного восстановления лесов преобладает мелкий подрост, представленный разными видами широколиственных и хвойных пород. Максимальная численность подроста с преобладанием крупного подроста из производных древесных пород (Betula platyphylla, B. costata, Populus tremula и др.) была отмечена только на 8-й год после пожара.
Высокое обилие кустарников и деревянистых лиан сохраняется на разных стадиях послепожарных сукцессий. В качестве доминирующих видов в подлеске выступают крупные неморальные кустарники (Сorylus mandshurica Maxim., Acer barbinerve Maxim.), а также кустарники средней величины (Philadelphus tenuifolius Rupr. et Maxim., Eleuterococcus senticosus (Rupr. et Maxim.) Maxim., Euonymus pauciflora Maxim. и др.). В большом обилии встречаются деревянистые лианы (Schisandra chinensis (Turcz.) Baill., Actinidia kolomikta Maxim. и Vitis amurensis Rupr.). Хорошо развитый травяной покров представлен разнотравьем (Plagiorhegma dubia Maxim., Phryma asiatica (Hara) Probat. и др.), папоротниками (Adiantum pedatum L., Lunathyrium pycnosorum (Christ) Koidz., Pseudocystopteris spinulosa (Maxim.) Ching. и др.) и осоками (Carex campylorhina V. Krecz., Carex pseudosabynensis (Egor.) A.E., Carex ussuriensis Kom. и др.) при высоком участии Chlorantus japonicus.
На территории хребта Уссурийский Арарат в бассейнах пяти ручьев в сообществах рассматриваемого типа леса были заложены 8 постоянных пробных площадей (пр. пл.) размером 50 × 50 м и сделаны подробные геоботанические описания еще на 15 временных пробных площадях такого же размера с возрастом древостоя от 65 до 200 лет. На Верхнеуссурийском стационаре были заложены 3 постоянные пр.пл., лесные сообщества на которых были охвачены пожарами 8, 23 и около 180 лет назад.
Сообщества на начальных стадиях зарастания послепожарных участков в исследуемом типе леса не были обнаружены, поэтому характер зарастания в первые 7 лет после пожара здесь не описывается. Послепожарные сообщества, образовавшиеся через 8 и 23 года после пожара, были отмечены на территории Верхнеуссурийского биогеоценотического стационара близ впадения ручья Октябрьского в р. Правая Соколовка. Оба сообщества образовались после осеннего пожара 1982 г., охватившего сообщества разных типов леса на площади более 50 га. В сообществе, расположенном в средней части юго-западного пологого склона, и обследованном на 8 год после устойчивого низового пожара 1982 г., была заложена пр. пл. 98-1990. На этом участке сохранили жизнедеятельность единичные деревья широколиственных пород (Quercus mongolica, Tilia taquetii и Acer mono), а образовавшийся на 8-й год после пожара древесный молодняк 5–7 м выс. был сформирован преимущественно представителями производных древостоев (Betula platyphylla, B. costata, Populus tremula и др.; табл. 1).
Таблица 1. Изменение таксационных показателей древостоев на разных этапах восстановления широколиственно-кедровых лесов после пожаров.
Table 1. Changes in taxation indices of stands at different stages of restoration of broad-leaved-Korean pine forests after fires.
Пробная площадь №-год закладки, (возраст древостоя) Sample plot №-year of laying (age of stand, years) | Подъярус (высотные пределы, м) Sublayer (altitude limits, m) | Породный состав (по запасу) Species composition (by stock) | Число живых стволов на га Number of live trunks per ha, pcs. | Площадь сечения, м2/га Sectional area, m2/ha | Запас древесины, м3/га Timber stock, m3/ha | Средние для преобладающей породы Average values for a dominant species | |
высота, м height, m | диаметр, см diameter, cm | ||||||
98-1990 (8) | I (24.1–28.0) | 4Бп3Ос2Бж1Ик+Чм,Ит,Д,Лт,Км | 2748 | 2.9 | 9.5 | 5.6 | 4.2 |
100-2005 (23) | II (13.1–24.0) | 4Ла3Клм1К1П1Д+Еа,Ик,Ит,Лт | 260 | 13.38 | 135.6 | 21.0 | 41.8 |
III (4.1–13.0) | 4Ик3Ос2Бп1Бж+Км,П,Ла,Са,Вм | 1625 | 3.97 | 19.4 | 6.0 | 6.4 | |
13-1998 (65) | I (19.1–25.0) | 3Бп2Ла2Д2К1Бж+Ос,Чм,Км,Лт | 192 | 14.41 | 138.2 | 22.2 | 27.2 |
II (12.1–19.0) | 3Д3Ла2Км1Бж1Пб+К,Лт,Бп,Чм | 302 | 8.29 | 71.6 | 16.4 | 23.2 | |
III (5.0–12.0) | 3Км2Ла2Д1Пб1К1Еа+Кз,Бж,Чм | 994 | 3.50 | 12.9 | 5.8 | 6.9 | |
91-1997 (100) | I (18.1–25.0) | 3Бп2Еа1Бж1Д1Ла1К1Пб+Ос,Км | 208 | 11.04 | 100.8 | 18.1 | 15.2 |
II (11.1–18.0) | 3Бж2Еа1Км1Пб1К1Бб1Ла+И,Ос | 212 | 3.68 | 26.6 | 9.1 | 9.8 | |
III (5.0–11.0) | 3Км2Ла2Пб1К1Д1Кз+Чм,Бж,Еа | 572 | 1.98 | 6.4 | 3.5 | 3.8 | |
88-1997 (140) | I (14.1–25.0) | 4Бж2Лт1Еа1Д1К1Км+П,Бп,Ла | 380 | 33.29 | 282.6 | 23.0 | 42.2 |
II (4.1–14.0) | 3Км2Еа2К2Клз1П+Бж,Ла,Д | 424 | 2.78 | 16.1 | 13.0 | 14.8 | |
96-1997 (180) | I (20.1–27.0) | 3К3Ла2Д2Бж+Еа,Км,П,Лт | 176 | 26.89 | 251.0 | 24.0 | 46.2 |
II (14.1–20.0) | 3Ла3Клм1П1К1Лт1Еа | 220 | 13.39 | 113.6 | 17.5 | 30.2 | |
III (4.0–14.0) | 4П3Км1К1Ла1Еа+Кз,Ил,Кж,Вм | 448 | 3.65 | 19.4 | 11.0 | 12.3 | |
105-1997 (190) | I (20.1–27.0) | 5К2Бж2Ла1Д+П,Еа | 188 | 31.00 | 315.9 | 26.5 | 49.8 |
II (13.1–20.0) | 2К2П2Еа2Клм2Ла+Бж,Д,Клз | 192 | 7.18 | 63.6 | 17.5 | 23.1 | |
III (5.0–13.0) | 4Ла3Клм2Еа1Клз+Д,П,К | 316 | 2.12 | 10.6 | 9.0 | 10.7 | |
93-1997 (200) | I (20.1–27.0) | 4К4Бж1Лт1Еа+Д | 129 | 20.28 | 212.5 | 25.0 | 44.6 |
II (14.1–20.0) | 5П2Еа2К1Лт+Клм | 260 | 9.60 | 85.2 | 17.0 | 24.0 | |
III (4.0–14.0) | 4Еа3П1Лт1Км1Кз+Ил,Кж | 811 | 4.57 | 24.7 | 7.0 | 8.5 | |
Примечание / Note: Бж – Betula costata, Бп – Betula platyphylla, Ос – Populus tremula, К – Pinus koraiensis, Еа – Picea ajanensis, П – Abies nephrolepis, Д – Quercus mongolica, Лам – Tilia amurensis, Лт – Tilia taquetii, Км – Acer mono, Кж – Acer ukurunduense, Кз – Acer tegmentosum, Ил – Ulmus laciniata, Ик – Salix caprea, Ип – Salix taraikensis, Р – Sorbus sibirica, Чмк – Padus maximoviczii, Чм – Padus maackii.
Расшифровка сокращенных названий деревьев приведена также в тексте статьи, в разделе “Методы исследований”.
The explanation of the abbreviated names of trees is also given in the text of the article, in the section “Methods of research”.
Сообщество, обследованное на 23-й год после беглого низового пожара (пр. пл. 100-2005), было расположено в нижней части покатого южного склона. К этому времени здесь образовался двухъярусный древостой с преобладанием в первом подьярусе сохранившихся во время пожара широколиственных (Tilia taquetii, Acer mono, Quercus mongolica) и хвойных (Pinus koraiensis, Abies nephrolepis, Picea ajanensis) пород от 15 до 24 м выс. Второй подъярус сформировали преимущественно представители производных древостоев (Salix caprea, Populus tremula, Betula platyphylla, B. costata и др.) с незначительным участием широколиственных и хвойных пород (см. табл. 1).
Пр. пл. 96-1997 была заложена в восстановившемся после пожара 180-летней давности коренном лесу, расположенном на пологом юго-западном склоне в долине р. Правая Соколовка. В составе древостоя преобладали растения Pinus koraiensis и широколиственные породы (Tilia taquetii, Quercus mongolica и Acer mono; см. табл. 1).
На территории хребта Уссурийский Арарат самое молодое производное сообщество начало формироваться около 65 лет назад после низового пожара, расположено оно в нижней части юго-западного склона в бассейне р. Приходьков Ключ. К началу исследований на заложенной здесь пр. пл. 13-1998 древостой имел три подъяруса, образованных 15 видами деревьев. В верхнем подъярусе, 20–23 м выс., доминировали березы (Betula platyphylla, B. costata) и широколиственные породы (Tilia amurensis, Acer mono и Quercus mongolica). Из хвойных пород присутствовали сохранившиеся во время пожара деревья Pinus koraiensis. В нижних подъярусах от 5 до 17 м выс. доминировали главным образом климаксовые широколиственные и хвойные виды (см. табл. 1).
В двух послепожарных сообществах, образовавшихся около 100 (пр. пл. 91-1997) и 140 (пр. пл. 88-1997) лет назад на юго-западном склоне в бассейне Сухановского ручья, в верхнем подъярусе преобладали деревья берез (Betula platyphylla и B. costata) с примесью хвойных и широколиственных пород.
На более поздних стадиях послепожарных сукцессий и в коренных сообществах на 5 постоянных пр. пл. преобладали деревья Pinus koraiensis с участием широколиственных пород (Tilia amurensis, Quercus mongolica и др.) и Betula costata в их верхних подъярусах. Древостои восстановившихся лесов развивались преимущественно по III классу бонитета, запасы их древесной массы достигали 350 м3/га.
Из отмеченных на территории хребта Уссурийский Арарат 23 фитоценозов рассматриваемого типа леса, 18 лесных сообществ относились к коренным сообществам (от 170 до 220 лет) и были приурочены к нижним и средним частям пологих южных и юго-западных склонов на высоте 400–550 м над ур. м. в долинах пяти рек и ручьев – Струистого, Сухановского, Приходькова Ключа, Солонцового Ключа и Приходько. В древостоях коренных фитоценозов преобладали преимущественно деревья Pinus koraiensis с примесью темнохвойных пород (Abies nephrolepis, Picea ajanensis) и значительным участием широколиственных пород (Tilia amurensis, Quercus mongolica и др.) и Betula costata (см. табл. 1).
Методы исследований
Сбор материалов проводили путем стационарных и детально-маршрутных исследований, сопровождавшихся закладкой постоянных и временных пр. пл. в среднем 50 × 50 м. При закладке пр. пл. и характеристике фитоценозов были использованы общепринятые в геоботанике и лесоведении методики (Sukаchev et al., 1957; Sukаchev, Zonn, 1961; Korchagin, 1976; Melekhov, 1980; и др.). На постоянных пр. пл. проводили детальное геоботаническое описание, устанавливали видовой состав и численность всех видов по определенным ступеням высоты растений. Давность пожара на пр. пл. определяли по возрасту доминирующих древесных пород верхнего подъяруса. Согласно нашим исследованиям (Komarova et al., 2017) массовое появление всходов древесных пород происходит преимущественно в первые два года после пожара.
Для характеристики древостоев проводили сплошной перечет деревьев по двух- и четырехсантиметровым ступеням толщины. Для установления таксационных показателей древостоев использовали “Справочник для таксации лесов Дальнего Востока” (Spravochnik…, 1990). Учет подроста, скелетных осей кустарников и деревянистых лиан проводили по определенным градациям высоты (для лиан – длины) на двух ленточных площадках (50 × 4 м), расположенных по диагоналям пр. пл. Количество надземных побегов травянистых растений учитывали на 50–100 площадках (1 × 1 м). Кроме того, на этих же метровых площадках устанавливали виды травянистых растений, наиболее часто произрастающие совместно с растениями Panax ginseng. Для установления экологической характеристики данных видов, сопряженных в своем распространении с растениями P. ginseng в исследуемом регионе, нами были использованы региональные экологические шкалы (Komarova, Ashchepkova, 2000; Regional`nye…, 2003), составленные для 170 видов высших сосудистых растений, произрастающих в лесах среднегорного пояса Южного и Среднего Сихотэ-Алиня. Для видов, представленных в экологических шкалах или диагностической экологической таблице, указаны пределы их распространения по трем ведущим экологическим факторам – температурному режиму, увлажнению местообитаний и активному богатству почв при пяти уровнях их проективного обилия и соответствующих им категорий (массовое “m”, обильное “с”, умеренное “n”, малое “p” и единичное “s”). Данные диагностической экологической таблицы позволяют выявить у всех представленных в ней видов зону оптимума, которой соответствует категория проективного обилия “m”, зону нормальной жизнедеятельности – категории “с” и “n” и зону угнетения – категории “p” и “s”.
Для видов нижних ярусов определяли массу надземных частей по методу модельных экземпляров (Sochava et al., 1962; Komarova, 1992a; и др.). С этой целью для каждого вида устанавливали средние статистические показатели в абсолютно сухом состоянии отдельных надземных побегов (скелетных осей) по соответствующим ступеням высоты (длины). Затем средние показатели модельных экземпляров перемножали на общее количество экземпляров в соответствующих ступенях высоты (длины).
На временных пр. пл. были проведены детальные геоботанические описания с выявлением полного видового состава и указанием средней высоты, проективного покрытия и обилия по Друде для растений каждого вида.
Для краткого обозначения древесных растений в таксационной таблице нами были использованы следующие обозначения: Бж – береза желтая или ребристая (Betula costata), Бп – береза плосколистная (Betula platyphylla), Ос – осина (Populus tremula), К – сосна корейская или кедр (Pinus koraiensis), Еа – ель аянская (Picea ajanensis), П – пихта белокорая (Abies nephrolepis), Д – дуб монгольский (Quercus mongolica), Лам – липа амурская (Tilia amurensis), Лт – липа Таке (Tilia taquetii), Км – клен мелколистный (Acer mono), Кж – клен желтый (Acer ukurunduense Trautv. et Mey.), Кз – клен зеленокорый (Acer tegmentosum Maxim. et Rupr.), Ил – ильм лопастный (Ulmus laciniata (Trautv.), Ик – ива козья (Salix caprea), Ип – ива поронайская (Salix taraikensis Kimura), Р – рябина сибирская (Sorbus sibirica Hedl.), Чмк – черемуха Максимовича (Padus maximoviczii (Rupr.) Sokolov), Чм – черемуха Маака (Padus maackii (Rupr.) Kom.).
Названия растений приведены по сводке “Сосудистые растения Советского Дальнего Востока” (Sosudistye…, 1985–1996).
Результаты и обсуждение
Формирование и развитие сообществ после пожаров
Как известно, формирование послепожарных древостоев зависит от степени нарушения растительности и почвы, величины выгоревшей площади, общих условий местопроизрастания, наличия источников семян и других факторов. Состав послепожарных ценозов определяется видовым разнообразием допожарных сообществ, поступлением диаспор с соседних участков и наличием жизнеспособных семян в почве.
Сходные особенности развития ценопопуляций разных биоморф в ходе лесовосстановительного процесса после пожаров отмечаются у выделенных Т.А. Комаровой (Komarova, 1992b) инициальных, серийных и климаксовых видов, отличающихся по характеру жизненных стратегий, фитоценотической роли, темпам роста и динамике численности растений на разных этапах сукцессий.
Инициальные виды, к которым принадлежат травянистые растения (Chelidonium asiaticum (Hara) Krachulkova, Sonchus arvensis L. и др.) и кустарники (Sаmbucus racemosа L., Sorbaria sorbifolia (L.) A.Br. и др.), имеют простые и короткие жизненные циклы и активно развиваются только на первых этапах лесовосстановительных сукцессий. К числу их биологических особенностей относятся высокая плодовитость, хорошая всхожесть и быстрое прорастание семян, а также высокие темпы роста и развития. Вместе с тем низкая конкурентоспособность, светолюбие и ограниченные возможности возобновляться семенным путем на заселенных участках обеспечивают устойчивые позиции только первому их поколению, сформировавшемуся в условиях достаточной освещенности и ослабленной конкуренции.
Растения серийных видов, представленные травянистыми растениями (Carex campylorhina, Pseudocystopteris spinulosa и др.), кустарниками (Philadelphus tenuifolius, Eleutherococcus senticosus и др.), деревянистыми лианами (Schisandra chinensis, Actinidia kolomikta и др.) и древесными растениями (Populus tremula, Betula platyphylla, Salix caprea и др.), характеризуются отсутствием сбалансированного воспроизведения молодых поколений и отмиранием старых. Как и у инициальных видов, наиболее успешно у них развивается первое поколение, сформировавшееся на нарушенных участках в условиях ослабленной конкуренции и хорошей освещенности. Отличаются от инициальных видов более длительными жизненными циклами и присутствием на разных этапах лесовосстановительного процесса.
Среди серийных древесных видов первыми заселяют освободившиеся после пожаров участки представители семейства Salicaceae (Populus tremula, Salix caprea, S. taraikensis и др.) благодаря массовому распространению их мелких и легких семян с помощью ветра и быстрому их прорастанию. На обнаженной поверхности почвы при наличии достаточной влаги в почве семена их могут прорастать уже на 2-й день. У осины (Populus tremula) колонизационные возможности усиливаются благодаря длительному сохранению в почве подземных органов, обеспечивающих обильное воспроизведение молодого поколения с помощью корневых отпрысков. У берез (Betula platyphylla, B. costata) быстрое освоение послепожарных участков происходит благодаря значительным запасам семян в почве, которые способны сохранять жизнеспособность в течение нескольких десятилетий (Komarova, 1986). Растения Betula costata, отличаясь большей теневыносливостью и продолжительностью жизненного цикла по сравнению с растениями Betula platyphylla и другими серийными видами, обладают способностью возобновляться семенным путем под пологом относительно разреженного древостоя. При этом ее подрост чаще всего сосредоточен на старом замшелом валеже.
Высокие темпы роста у древесных растений серийных видов на первых этапах жизненного цикла и быстрое достижение жизненной кульминации обеспечивают первому их поколению устойчивые позиции и возможность образовывать производные древостои с их доминированием.
Для климаксовых видов характерны длительное и устойчивое воспроизведение молодых поколений и доминирование на поздних этапах сукцессий и в климаксовых сообществах, что обеспечивает им высокую степень конкурентоспособности и толерантности. К этой группе относятся все основные лесообразующие виды коренных лесов (Pinus koraiensis, Picea ajanensis, Tilia amurensis и др.), а также ряд видов кустарников (Corylus mandshurica, Acer barbinerve и др.) и травянистых растений (Carex xyphium Kom., Maianthemum bifolium (L.) Schmidt и др.).
Среди древесных климаксовых видов наиболее быстро восстанавливаются древесные растения, способные к вегетативному воспроизведению от сохранившихся надземных или подземных органов. Обильную вегетативную поросль от сохранившихся спящих почек в основании стволов образуют некоторые широколиственные породы (Quercus mongolica, Tilia taquetii, Acer mono, A. ukurunduense и др.). Энергия роста и быстрота разрастания растений, возникающих вегетативным путем, в первые годы их развития значительно выше, чем у особей этих же видов, образующихся из семян. Хвойные лесообразующие породы (Pinus koraiensis, Picea ajanensis, Abies nephrolepis) восстанавливаются только с помощью семян, в связи с этим успешность их воспроизведения на гарях определяется близостью сохранившихся древостоев. Представители климаксовых видов, в отличие от серийных, способны переносить затенение и развиваются медленнее на первых этапах их онтогенеза.
Изменение ценотической роли у древесных видов в ходе послепожарных сукцессий. Важную информацию о роли отдельных древесных видов в сложении сообществ, находящихся на разных этапах лесовосстановительных сукцессий после пожаров, могут дать показатели их ценотической значимости. Для оценки ценотической значимости древесных видов за основу нами был взят индекс доминирования Симпсона (Simpson, 1949):
,
где Ni – численность i-го вида; N – общая численность всех видов.
Cледуя модификации Саксена и Сингха (Saxena, Singh, 1982), отношения численности i-го вида к общему количеству экземпляров у всех видов, взятые в квадрате, устанавливали отдельно для подроста, тонкомера и деревьев с диаметром ствола более 12 см. Затем полученные результаты суммировались и определялся корень квадратный из этой общей суммы, или соответственно
.
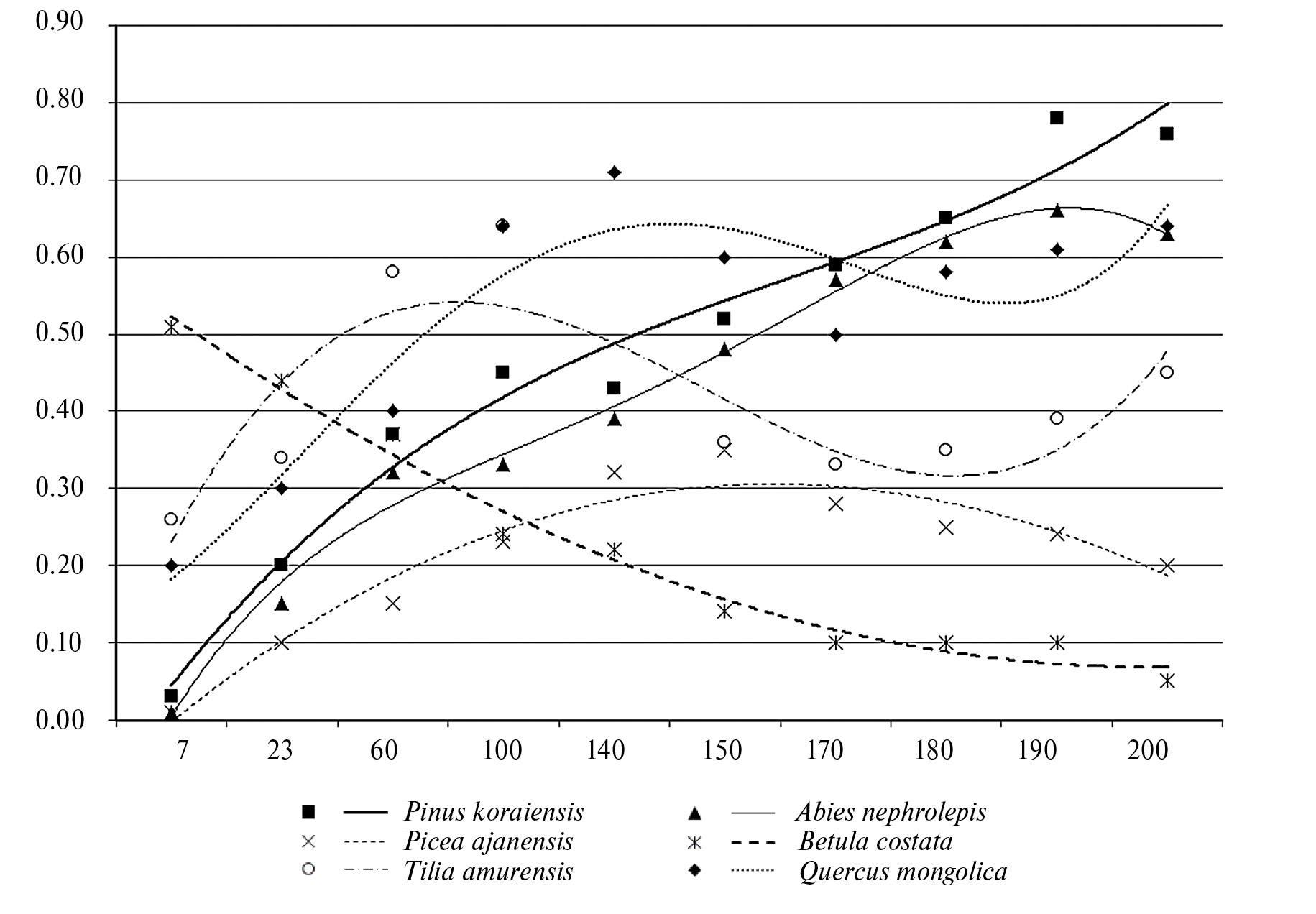
Величина модифицированного индекса доминирования в одинаковой степени зависит от численности подроста, тонкомера и крупных деревьев, что позволяет оценить ценотическую значимость каждого древесного вида независимо от возрастного состава их ценопопуляций, значительно меняющегося в ходе сукцессий. На основе вычисленных индексов доминирования с учетом давности пожаров построены кривые ценотической значимости у 7 ведущих древесных видов (рис. 1).
Рис. 1. Показатели индекса доминирования и полиноминальные линии тренда для ценопопуляций основных древесных видов на разных стадиях послепожарных сукцессий.
По оси абсцисс – годы после пожара, лет; по оси ординат – индексы доминирования.
Fig. 1. Indicators of the dominance index and polynominal trend lines for coenopopulations of main tree species at different stages of post-fire succession.
On the abscissa axis – the number of years after the fire, on the ordinate axis – the values of the dominance index.
Кривые фитоценотической изменчивости древесных видов по градиенту сукцессионного процесса соответствуют ценоклинам градиентного анализа Уиттекера (Whittaker, 1960). В сукцессионных ценоклинах высокая ценотическая значимость (0.5 и более) на отдельных этапах лесовосстановительного процесса принадлежит климаксовым видам (Pinus koraiensis, Abies nephrolepis, Quercus mongolica, Tilia amurensis и Acer mono). Среди серийных видов только деревья Betula costata достигали этого порога в 8-летнем послепожарном сообществе. У всех остальных серийных видов отмечались низкие показатели индексов доминирования, несмотря на господство их растений в составе производных древостоев. Это связано с низкой численностью их молодого поколения, неспособного возобновляться под пологом сомкнутого древостоя.
У климаксового вида (Pinus koraiensis) индексы доминирования до 150 лет после пожаров обычно низкие. Вместе с тем после 150–170 лет они становятся стабильно высокими благодаря достижению генеративного периода у их особей, что обеспечивает в дальнейшем постоянный приток молодых растений. Индексы доминирования у Picea ajanensis довольно низкие (не более 0.35) на всех стадиях сукцессий, что характеризует ее как сопутствующий вид хвойным и лиственным климаксовым породам в исследуемом типе леса.
Развитие кустарников и деревянистых лиан в ходе послепожарных сукцессий. Для оценки ценотической значимости у разных видов кустарников и деревянистых лиан были установлены численность скелетных осей и масса их надземных частей у каждого вида. Эти показатели отражают наиболее значимые стороны их ценопопуляций – характер участия в сложении сообществ и степень использования ресурсов среды. Динамика численности и массы скелетных осей у кустарников и деревянистых лиан в ходе послепожарных сукцессий представлены на рис. 2 у трех наиболее распространенных видов кустарников и двух видов деревянистых лиан.
Рис. 2. Изменение численности скелетных осей (а) и массы надземных частей (б) у ценопопуляций кустарников и деревянистых лиан в ходе послепожарных сукцессий.
По оси ординат: а – число скелетных осей, экз/га; б – масса надземных частей, кг/га абс. сух. вещества. По оси абсцисс – годы после пожара, лет.
Fig. 2. Changes in the number of skeletal axes (а) and the mass of aboveground parts (б) in cenopopulations of shrubs and woody vine at different stages of post-fire successions.
On the ordinate axis: а – is the number of skeletal axes, ex/ha; б – aboveground dry phytomass, kg/ha. On the abscissa axis – years after the fire.
Прямая корреляция между численностью скелетных осей и их биомассой отсутствует из-за значительных различий в размерах растений. Наиболее высокие показатели массы надземных частей на всех стадиях послепожарных сукцессий принадлежат климаксовому виду (Acer barbinerve), скелетные оси которого значительно превышают все остальные виды и достигают 8–10 м выс. на завершающих этапах сукцессий. Сравнительно высокие показатели численности скелетных осей характерны также для климаксового (Corylus mandshurica) и серийного (Eleutherococcus senticosus) кустарниковых видов. При этом в ходе сукцессии у Corylus mandshurica численность осей постепенно возрастала, а у Eleutherococcus senticosus последовательно снижалась. Значительная численность скелетных осей отмечалась также у деревянистых лиан (Actinidia kolomikta и Schisandra chinensis). На хорошо освещенных гарях преобладали их скелетные оси до 200 (300) см длины, а под сомкнутым пологом древостоев основное их количество у Actinidia kolomikta не превышало 50–100 см, а у Schisandra chinensis – 20–30 см длины. Крупные лианы, до 12–15 м длины, у обоих видов были представлены лишь единичными экземплярами, обвивающими отдельные невысокие деревья. В ходе сукцессий численность скелетных осей у обоих видов деревянистых лиан постепенно нарастает, а общая масса их надземных частей при этом снижается.
Общая фитомасса надземных частей у кустарников и деревянистых лиан на первых стадиях сукцессий составляет в среднем 3000–3500 кг абс. сух. вещ-ва/га и значительная их доля (1800–2500 кг абс. сух. вещ-ва/га) приходится на кустарники инициальных видов (Sambucus racemosa, Aralia elata (Miq.) Seem. и др.). На последующих стадиях лесовосстановительных сукцессий и в климаксовых сообществах общие запасы надземных частей кустарников и лиан варьируют от 1500 до 3000 кг абс. сух. вещ-ва/га.
Развитие травянистых растений в ходе послепожарных сукцессий. Травяной покров в сообществах рассматриваемого типа леса хорошо развит на разных стадиях послепожарных сукцессий. В нем присутствуют виды разных экологических групп, представленные ксеромезофитным разнотравьем и осоками (Lathyrus humilis (Ser.) Spreng., Bupleurum longiradiatum Turcz., Convallaria keiskei Miq., Carex ussuriensis, C. reventa Krecz. и др.), гигромезофитным широкотравьем (Chloranthus japonicus, Enemion raddeanum Regel, Hylomecon vernalis Maxim., Cacalia praetermissa Pojark.) и папоротниками (Rhizomatopteris sudetica (A.Br. et Milde) Khokhr., Lunathyrium pycnosorum и др.). Распределение по площади травяного покрова резко мозаичное – под сомкнутым пологом древостоя и зарослями кустарников он разреженный с преобладанием теневого мелкотравья (Maianthemum bifolium, Oxalis acetosella L., Mitella nuda L. и др.), а на более освещенных участках – хорошо развитый, покрывающий почву на 90–100%.
Пионерные ценозы, начинающие лесовосстановительные ряды, значительно варьируются по видовому составу, но для исследуемого типа леса характерны определенные инициальные виды (Chelidonium asiaticum, Impatiens noli-tangere L., Lamium barbatum Siebold et Zucc., Chamerion angustifolium (L.) Holub., Sonchus arvensis, Urtica angustifolia Fisch. ex Horntm. и др.). На последующих стадиях сукцессий широко представлены осоки (Carex campylorhina, C. reventa, C. ussuriensis и др.), папоротники (Adiantum pedatum, Diplazium sibiricum (Turcz. ex Kunze) Kurata, Lunatthyrium pycnosorum и др.) и широкотравные виды (Chloranthus japonicus, Hylomecon vernalis, Cacalia praetermissa, Thalictrum filamentosum Maxim. и др.). Динамика массы надземных частей в ходе сукцессии у ценопопуляций 5 видов травянистых растений приведена на рис. 3.
Рис. 3. Изменение массы надземных частей у ценопопуляций пяти видов травянистых растений в ходе послепожарных сукцессий. По оси ординат – масса надземных частей, кг/га абс. сух. вещества. По оси абсцисс – годы после пожара, лет.
Fig. 3. Changes in the mass of aboveground parts in coenopopulations of five species of herbaceous plants during post-fire successions. On the abscissa axis – years after the fire. On the ordinate axis – the mass of aboveground parts, kg/ha abs. dry. substances.
На всех стадиях послепожарных сукцессий наиболее активно развиваются растения Chloranthus japonicus, Carex reventa и Thalictrum filamentosum. Вместе с тем под пологом производных березовых древостоев растения этих видов развиваются более успешно, чем под древостоем с доминированием климаксовых видов.
Общая масса надземных частей кустарничково-травяного яруса на первых стадиях послепожарных сукцессий может достигать 500–600 кг абс. сух. вещ-ва/га в результате пышного разрастания растений инициальных видов. Завершение жизненного цикла у растений инициальных видов обычно приводит к значительному снижению массы травяного покрова и относительно стабильному ее содержанию на последующих стадиях сукцессий, составляющему 350–400 кг абс. сух. вещ-ва/га.
Условия местообитания биогеоценозов рассматриваемого типа леса являются наиболее благоприятными для произрастания в травяном покрове растений редкого и ценного вида – женьшеня обыкновенного (Panax ginseng), относящегося к семейству Аралиевых (Araliaceae). Принадлежит он к третичным реликтам и эндемикам хвойно-широколиственных лесов Дальнего Востока. Отличается уникальными лечебными свойствами благодаря адаптогенным, стимулирующим и тонизирующим действиям его корней на человеческий организм.
Ареал естественного произрастания P. ginseng охватывает главным образом южную половину Приморского края и лишь незначительную территорию Северо-Восточного Китая (провинции Цзилинь и Хэйлунцзян). Дикорастущие его растения произрастают главным образом в кедрово-широколиственных лесах на рыхлых, богатых перегноем бурых горнолесных почвах на пологих и умеренно крутых склонах преимущественно южных румбов до 650 м над ур. м.
Проводимые издавна массовые заготовки этого ценного растения создали угрозу полного истощения его естественных запасов. Этот вид был внесен в Красные книги СССР (Red Book…, 1984), РСФСР (Red Book…, 1988), Приморского (Red Book…, 2008) и Хабаровского (Red Book…, 2019) краев. Введенный в конце прошлого столетия запрет на заготовку растений этого ценного вида оказался неэффективным в связи с отсутствием повсеместного контроля, резко возросшим лесопромышленным освоением коренных дальневосточных лесов и сопутствующими им пожарами.
Морфология, биология и экология растений P. ginseng были детально изучены дальневосточными исследователями (Grushvitsky, 1946, 1961; Brechman, 1957; Gutnikova et al., 1963; и др.). Согласно результатам их работ растения P. ginseng чаще всего имеют одиночный стебель до 80 см выс., редко встречаются и многостебельные растения. На вершине стебель несет мутовку из 2–6 пальчатосложных листьев на черешках до 10 см длиной. В естественных местообитаниях женьшень растет очень медленно, и первое цветение происходит на 8–10 годы (Gutnikova et al., 1963). Цветки обоеполые, зеленовато-белого или розового цвета, собраны в простой зонтик из 15–20 цветков. Плоды ярко-красные сочные двух-, реже трехсемянные костянки, собранные в шаровидную форму. Цветение происходит в июле-августе, а плоды созревают в августе-сентябре.
Корневая система P. ginseng состоит из верхней части – “шейки” корневища и собственно стержневого корня. На поверхности “шейки” корневища заметны следы прикрепления к ней ежегодно отмирающих стеблей. По их количеству можно определить примерный возраст растения. Продолжительность жизни корней женьшеня в естественных условиях достигает 200, а иногда и более 300 лет. Товарным дикорастущий корень становится не ранее чем через 25–30 лет, тогда как на плантации корни собирают, начиная с 5–6-летнего возраста (Usenko, 2011).
В связи с крайне редкой встречаемостью и чрезвычайно низкой численностью естественных популяций P. ginseng опытные корневщики (копатели женьшеня) и дальневосточные ботаники устанавливали растения-спутники женьшеня, которые могут служить индикаторами его присутствия в данном сообществе. Согласно наблюдениям И.В. Грушвицкого (Grushvitsky, 1961) в Уссурийской тайге к ним относятся Oxalis acetosella, Polystichum subtripteron Tzvel., Chloranthus japonicus, Paeonia oreogoton S. Moore и др. виды.
В ходе анализа материалов пр. пл. и геоботанических описаний рассматриваемого типа леса нами выделены 5 видов травянистых растений: Chloranthus japonicus, Dioscorea nipponica, Hylomecon vernalis, Phryma asiatica, Uraspermum aristatum (Thunb.) Kundze., тесно сопряженных в своем распространении с растениями P. ginseng и характеризующихся сходной экологией. Категорию “m” (массовое обилие) не достигает ни один из рассматриваемых видов (рис. 4). Категорию “с” (обильное) достигают растения только у одного вида – Chloranthus japonicus. В исследуемом регионе растения этого вида достигают такого обилия только в местообитаниях с наиболее богатыми (ступень 11), хорошо увлажненными и дренированными почвами (ступень 65) и эунеморальным терморежимом (ступень 9).
Рис. 4. Изменение обилия у шести видов травянистых растений в зависимости от увлажненности, активного богатства почвы и температурного режима местообитаний.
По оси абсцисс – градиенты увлажнения (а), активного богатства почвы (б) и температурного режима местообитаний (в); по оси ординат – проективное обилие: s – единично, p – мало, n – умеренно, c – обильно.
Растения P. ginseng встречаются только при единичном обилии (s) и чаще всего в прегенеративном возрастном состоянии. Максимальное количество растений (31) было отмечено на пр. пл. 93-1997. При этом только одно растение находилось в онтогенетическом состоянии молодого генеративного растения, а остальные были представлены в состоянии всходов и ювенильных растений, не превышающих 15 см выс. На некоторых деревьях здесь были видны следы затесок, которые делают опытные корневщики, выкапывающие плодоносящие растения и высаживающие семена вблизи материнского растения. Вероятно, они проводили заготовку корней P. ginseng в данном районе в течение нескольких лет. Единичные растения в возрастном состоянии молодых генеративных растений встречались всего на 3-х пр. пл., а на остальных 7 пр. пл. произрастали только молодые вегетативные растения.
Общий флористический состав сообществ широколиственно-кедрового папоротниково-осоково-хлорантового типа леса изменяется на разных стадиях послепожарных сукцессий от 64 до 98 видов на площади, равной 0.25 га. При этом максимальное количество (98 видов) отмечено в послепожарном сообществе, образовавшемся 8 лет назад. Воздействие пожаров в широколиственно-кедровых лесах исследуемого региона обычно не нарушает флористическую композицию постоянных видов, что согласуется с моделью “начального флористического состава вторичных сукцессий” Эглера (Egler, 1954). После завершения жизненного цикла у инициальных видов флористический состав фитоценозов становится относительно стабильным (70–80 видов). При этом на долю травянистых растений приходится около 70% от всех видов, а доля древесных и кустарниковых видов составляет примерно по 15%.
Заключение
В связи с наиболее высокой приуроченностью популяций уникального и очень редкого травянистого растения Panax ginseng к сообществам широколиственно-кедрового лианово-кустарникового папоротниково-осоково-хлорантового типа леса, расположенным на территориях хребта Уссурийский Арарат и Верхнеуссурийского биогеоценотического стационара в среднегорном поясе Южного и Среднего Сихотэ-Алиня, настоящая статья посвящена вопросам распространения и развития этих сообществ, находящихся на разных стадиях лесовосстановительного процесса после пожаров. Общий ход послепожарных сукцессий определяется благоприятными условиями местообитаний их биогеоценозов по режимам тепла, богатства и увлажненности почв. Это способствует формированию сообществ с высоким флористическим разнообразием и сложной структурой на всех этапах послепожарных сукцессий.
После устойчивых низовых пожаров формируются производные леса с преобладанием в древостое серийных видов – Betula platyphylla, B. costata, Populus tremula и др. На завершающих стадиях сукцессий ведущая роль принадлежит климаксовым видам – Pinus koraiensis, Tilia amurensis, T. taquetii, Quercus mongolica, Acer mono и др. При беглых низовых пожарах лесообразующая роль климаксовых видов обычно сохраняется. По величине ценотического индекса доминирования, зависящего в одинаковой степени от численности разных высотных категорий – подроста, тонкомера и крупных деревьев – высокая ценотическая значимость (более 0.5) на отдельных этапах послепожарных сукцессий принадлежит 6 видам (Pinus koraiensis, Abies nephrolepis, Tilia amurensis, Quercus mongolica, Acer mono и Betula costata).
Среди кустарников и деревянистых лиан на всех этапах послепожарных сукцессий по численности скелетных осей преобладает деревянистая лиана (Schisandra chinensis), а по запасам надземной фитомассы она значительно уступает другим видам, так как основная часть скелетных осей этой деревянистой лианы не превышает 50 см. Наиболее высокая роль на всех этапах послепожарных сукцессий как по численности скелетных осей, так и по фитомассе надземных частей принадлежит климаксовому виду Acer barbinerve.
Травяной покров хорошо развит на разных стадиях послепожарных сукцессий. В нем широко представлены осоки (Carex campylorhina, C. reventa, C. ussuriensis и др.), папоротники (Adiantum pedatum, Diplazium sibiricum, Lunatthyrium pycnosorum и др.) и широкотравные виды (Chloranthus japonicus, Hylomecon vernalis, Cacalia praetermissa, Thalictrum filamentosum и др.).
Условия местообитания биогеоценозов рассматриваемого типа леса благоприятны для произрастания в травяном покрове растений редкого и ценного вида P. ginseng, являющегося третичным реликтом и эндемом хвойно-широколиственных лесов Дальнего Востока. Растения этого вида были обнаружены в 10 из 23 сообществ рассматриваемого типа леса, отмеченных и обследованных на территориях Араратского хребта и Верхнеуссурийского биогеоценотического стационара. При этом растения P. ginseng встречались только при единичном обилии и чаще всего в возрастном состоянии молодых вегетативных растений. Из максимального количества – 31 растения на площади 50 × 50 м только одно растение находилось в онтогенетическом состоянии молодого генеративного растения, а все остальные особи были представлены в состоянии всходов и ювенильных растений, не превышающих 15 см выс. Единичные растения в возрастном состоянии молодых генеративных растений встречались всего на 3-х пробных площадях. В рассматриваемом районе в течение многих лет проводили заготовку корней и подсадку семян P. ginseng опытные корневщики.
К характерным растениям-спутникам женьшеня, которые могли бы служить индикаторами его присутствия в растительных сообществах, были отнесены 5 видов травянистых растений (Chloranthus japonicus, Hylomecon vernalis, Phryma asiatica, Uraspermum aristatum и Dioscorea nipponica).
Составленный в 1999 г. и всесторонне эколого-экономически обоснованный специалистами разных областей науки Проект по сохранению биоразнообразия уникальных лесных территорий Сихотэ-Алиня и созданию природного парка “Уссурийский Арарат” и женьшеневого заказника в бассейнах 5 ручьев и рек, притоков рр. Антоновка и Павловка, не был принят руководством Приморского края и в 2000 г. началась интенсивная заготовка древесины на этой территории.
About the authors
T. A. Komarova
Federal Scientific Center for Biodiversity of Terrestrial Biota of East Asia, Far Eastern Branch of RAS
Author for correspondence.
Email: mata41@mail.ru
Russian Federation, 100-letiya Vladivostoka Ave., 159, Vladivostok, Primorsky Krai, 690022
N. V. Terekhina
St. Petersburg State University
Email: n.terehina@spbu.ru
Institute of Earth Sciences
Russian Federation, 10th Line of Vasilievsky Island, 33/35, St. Petersburg, 199178S. G. Glushko
Kazan State Agrarian University
Email: glushkosg@mail.ru
Russian Federation, K. Marks Str., 65, Kazan, 420015
N. B. Prokhorenko
Kazansky (Volga) Federal University
Email: nbprokhorenko@mail.ru
Russian Federation, Kremlevskaya Str., 18, Kazan, 420008
References
- About the strategy of Sikhote-Alin biodiversity preserving. Resolution of the Governor of Primorsky Krai dated November 15, 1998 No. 511. https://docs.cntd.ru/document/441572442
- Brechman I.I. 1957. Zhenshen’ [Ginseng]. Leningrad. 182 p. (In Russ.).
- Grushvitsky I.V. 1946. Relikty tretichnoy flory Ussuriyskogo Kraya [Relics of the tertiary flora of the Ussuri Territory]. – Dokl. USSR Academy of Sciences. 52(8): 719–722 (In Russ.).
- Grushvitsky I.V. 1961. Zhenshen’. Voprosy biologii [Ginseng. Questions of biology]. Leningrad. 344 p. (In Russ.).
- Gutnikova Z.I., Vorobyova P.P., Bunkina I.A. 1963. Zhenshen’ i ego vozdelyvaniye [Ginseng and its cultivation]. Vladivostok. 124 p. (In Russ.).
- Gvozdetsky N.A., Mikhailov N.I. 1987. Fizicheskaya geografiya SSSR. Aziatskaya chast’ [Physical geography of the USSR. Asian part]. Moscow. 448 p. (In Russ.).
- Dylis N.V., Wipper P.B. 1953. Lesa zapadnogo sklona Srednego Sikhote-Alinya [Forests of the western slope of Middle Sikhote-Alin]. Moscow; Leningrad. 304 p. (In Russ.).
- Egler F.E. 1954. Vegetation science concepts. I. Initial floristic composition – a factor in old-field vegetation development. – Vegetatio. 4: 412–417.
- Ellenberg H. 1956. Aufgaben und Methoden der Vegetationskunde. – Einfuhr. Phytol. Stuttgart. 4(1): 3–136.
- Kolesnikov B.P. 1958. Prirodnoye rayonirovaniye Primorskogo Kraya [Natural zoning of the Primorsky Territory]. – Materials on the physical geography of the south of the Far East. Moscow. P. 5–30 (In Russ.).
- Komarova Т.А. 1986. Regeneration by seed in fresh burns (forests of the Southern Sikhote-Alin). Vladivostok: Far East Br. Of the USSR Ac. of Sc., 222. (In Russ.).
- Komarova T.A. 1992a. Development and productivity of herbaceous and shrubby coenopopulations. Forests of Southern Sikhote-Alin. Vladivostok. 184 p. (In Russ.).
- Komarova T.A. 1992b. Post-fire successions in the forests of Southern Sikhote-Alin. Vladivostok. 224 p. (In Russ.).
- Komarova T.A., Ashchepkova L.Ya. 2000. Development of regional ecological scales and their use in the classification of forests with the participation of Korean pine (Pinus koraiensis). – Komarov readings. Vladivostok. 46: 7–72 (In Russ.).
- Komarova T.A., Prokhorenko N.B., Glushko S.G., Terekhina N.V. 2017. Post-fire successions in the Sikhote-Alin forests with Pinus koraiensis Siebold et Zucc. participation. St. Petersburg. 402 p. (In Russ.).
- Korchagin A.A. 1976. Stroenie rastitel’nykh soobshchestv [Structure of plant communities]. Polevaya geobotanika. Vol. 5. Leningrad. 313 p. (In Russ.).
- Melekhov I.S. 1980. Lesovedeniye [Forest Science]. Moscow. 408 p. (In Russ.).
- Red Book of the USSR: Rare and endangered plant species. Vol. 2. 1984. Moscow. 480 p. (In Russ.).
- Red Book of the RSFSR. Plants. 1988. Moscow. 591 p. (In Russ.).
- Red Book of Primorsky Krai. Plants. Vol. 2. 2008. 688 p. (In Russ.).
- Red Book of the Khabarovsk Territory: Rare and endangered species of plants, mushrooms and animals. 2019. Voronezh. 604 р. (In Russ.).
- Regional ecological scales for forest vegetation of the Far East. 2003. Vladivostok. 277 p. (In Russ.).
- Saxena A.K., Singht J.S. 1982. A phytosociological analysis of woody species in forest communities of a part of Kumaun Himalaya. – Vegetatio. 50(1): 3–22.
- Simpson E.H. 1949. Measurement of diversity. – Nature. 163: 163–188.
- Sochava V.P., Lipatova V.V., Gorshkov A.A. 1962. Experience in accounting for the full productivity of the aboveground part of the grass cover. – Bot. Zhurn. 42(4): 473–484 (In Russ.).
- Sosudistye rasteniya Sovetskogo Dal’nego Vostoka [Vascular plants of the Soviet Far East]. 1985–1996. St. Petersburg. Vol. 1–8 (In Russ.).
- Spravochnik dlya taksatsii lesov Dal’nego Vostoka [Handbook for the taxation of forests of the Far East]. 1990. Khabarovsk. 526 p. (In Russ.).
- Sukаchev V.N., Zonn S.V., Motovilov G.P. 1957. Metodicheskie ukazaniya k izucheniyu tipov lesa [Guidelines for the study of forest types]. Moscow. P. 9–63 (In Russ.).
- Sukachev V.N., Zonn S.V. 1961. Metodicheskie ukazaniya k izucheniyu tipov lesa [Methodological Instructions for the Study of Forest Types]. Мoscow. 143 p. (In Russ.).
- Usenko N.V. 2011. Dary Ussuriyskoy taygi [Dary of the Ussuri taiga]. Khabarovsk. 352 р. (In Russ.).
- Whittaker R.H. 1960. Vegetation of the Siskiyou Mountains, Oregon and California. – Ecol. Monogr. 30: 279–338.
Supplementary files






