PHYTOPLANKTON IN THE LAKES OF THE REPUBLIC OF BASHKORTOSTAN
- Authors: Belyaeva P.G.1,2
-
Affiliations:
- “Institute of Ecology and Genetics of Microorganisms, UB RAS”
- Perm Branch of the All-Russian Federal Biological Scientific Research Institute “VNIRO”
- Issue: Vol 108, No 12 (2023)
- Pages: 1053-1064
- Section: COMMUNICATIONS
- URL: https://ogarev-online.ru/0006-8136/article/view/233533
- DOI: https://doi.org/10.31857/S0006813623120025
- EDN: https://elibrary.ru/DCLKNB
- ID: 233533
Cite item
Full Text
Abstract
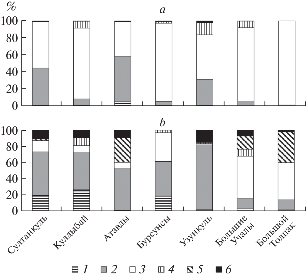
The phytoplankton in a number of lakes in the Bashkir Trans-Urals (Atavdy, Sultankul (2017), Bursunsy, Kuldybay (2019), Bolshiye Uchaly, Uzunkul (2021)) and Bashkir Pre-Urals (Bolshoy Tolpak, 2022)) was studied. As a result of the study, the taxonomic structure, quantitative characteristics, dominant species, distribution features of main algal groups were reveald, and their ecological and geographical characteristics werre identified. 257 species and intraspecific taxa of algae from 9 divisions were registered in the algal flora. Green algae (33%), cyanoprokaryotes and diatoms (21% each of total species number) show the highest species diversity in the lakes. The algal flora is specific for each lake and has low degree of floristic similarity (0.13–0.57 according to Sørensen coefficients). In the ecological and geographical terms, the algal floras of lake plankton is represented by typical planktonic species, widespread in waterbodies of the globe, indifferent to water salinity, living only in fresh waterbodies and preferring neutral waters. Quantitative indicators of phytoplankton varied in a wide range of values: number of cells from 4.4 to 344 mln cells/L, biomass from 0.23 to 22.97 mg/L. Dominant species in terms of abundance are represented predominantly by cyanoprokaryotes (Snowella lacustris, Aphanocapsa delicatissima, A. incerta, Aphanizomenon flos-aquae, Gloeotrichia echinulata, Merismopedia tenuissima, Pseudanabaena galeata, Planktolyngbya limnetica, Woronichinia compacta, Anathece clathrata, Rhabdoderma lineare), in terms of biomass by green (Oocystis lacustris, O. borgei, O. marssonii, Scenedesmus apiculatus), dinophyte (Peridinium cinctum, Gymnodinium sp., Ceratium furcoides), desmidium algae (Staurodesmus cuspidatus, Cosmarium contractum, C. cucumis) and cyanoprokaryotes (Pseudanabaena galeata, Aphanizomenon flos-aquae, Gloeotrichia echinulata). According to the value of the saprobity index (Pantle – Bucc by number 1.57–2.80), the lake waters correspond to β- and α-mesosaprobic types of waterbodies with III and IV water quality classes (moderately polluted or dirty water).
About the authors
P. G. Belyaeva
“Institute of Ecology and Genetics of Microorganisms, UB RAS”; Perm Branch of the All-Russian Federal Biological Scientific Research Institute “VNIRO”
Author for correspondence.
Email: belyaeva@psu.ru
Russia, 614081, Perm,
Goleva Str., 13; Russia, 614002, Perm,
Chernyshevskogo Str., 3
References
- Abdrakhmanov R.F. 2014. Presnyye podzemnyye i mine-ral’nyye lechebnyye vody Bashkortostana [Fresh underground and mineral medicinal waters of Bashkortostan]. Ufa. 416 p. (In Russ.).
- Al’goflora ozer i rek Karelii. Taksonomicheskii sostav i ekologiya. 2006. [Algal flora of the lakes and rivers in Karelia. Taxonomic composition and ecology]. Petrozavodsk. 81 p. (In Russ.).
- Baktybaeva Z.B., Gabidullina G.F., Kulagin A.A. 2016. Izucheniye vodorosley i tsianoprokariot vodnykh ob"yektov Zaural’ya respubliki Bashkortostan [Study of algae and cyanoprokaryotes of water bodies of the Trans-Urals of the Republic of Bashkortostan]. – Bulletin of the Udmurt University. Series Biology. Earth Sciences. 26 (4): 5–11 (In Russ.).
- Bul’on V.V. 2007. Vliyanie geograficheskikh faktorov na pervichnuyu produktsiyu ozernykh i nazemnykh ekosistem [Geographical factors effect on the primary production of lacustrine and terrestrial ecosystems]. – Vodnye resursy. 34 (5): 565–572 (In Russ.).
- Davydova N.N. 1985. Diatomovyye vodorosli – indikatory prirodnykh usloviy vodoyemov v golotsene [Diatoms algae – indicators of environmental conditions of water bodies in the Holocene]. Leningrad. 244 p. (In Russ.).
- Denisova N.V. 2003. Fitoplankton poymennykh ozer i ispol’zovaniye yego v monitoringe (na primere ozer Birskogo rayona Bashkortostana) [Phytoplankton of floodplain lakes and its use in monitoring (on the example of the lakes of the Birsky region of Bashkortostan)]: Abstr. … Diss. Kand. Sci. Ufa. 16 p. (In Russ.).
- Drabkova V.G., Sorokin I.N. 1979. Ozero i ego vodosbor – edinaya prirodnaya Sistema. [Lake and its catchment as an united natural system]. Leningrad. 196 p. (In Russ.).
- Eremkina Т.V. 2010. Struktura i funktsionirovaniye fitoplanktona ozer severnoy chasti Uvil’dinskoy zony (Chelyabinskaya oblast') v usloviyakh antropogennogo evtrofirovaniya [Structure and functioning of phytoplankton in lakes of the northern part of the Uvilda zone (Chelyabinsk region) under conditions of anthropogenic eutrophication]: Abstr. … Diss. Kand. Sci. Borok. 22 p. (In Russ.).
- Ettl H. 1983. Chlorophyta I. Phytomonadina. – Susswasserflora von Mitteleuropa. Jena: Gustav Fisher Verlag, Bd. 9. 807 s.
- Flora vodorosley kontinental’nykh vodoyemov Ukrainy: Desmidiyevyye vodorosli. 2003. [Flora of algae of continental water bodies of Ukraine: Desmid algae]. Part 1. Kyiv. 355 p. (In Russ.).
- Gareev A.M. 2001. Reki i ozera Bashkortostana [Rivers and lakes of Bashkortostan]. Ufa. 258 p. (In Russ.).
- Guiry M.D., Guiry G.M. AlgaeBase. 2022. World-wide electronic publication, National University of Ireland, Galway. http://www.algaebase.org (20.11.2022).
- Gulamanovа G.A., Shkundina F.B. 2009. Vidovoye raznoobraziye planktonnykh vodorosley i tsianoprokariot ozer Bashkirskogo Zaural’ya [Species diversity of planktonic algae and cyanoprokaryotes in lakes of the Bashkir Trans-Urals]. – Bulletin of OSU. 6: 111–112 (In Russ.).
- Gulamanovа G.А. 2008. Avtotrofnyy plankton kak pokazatel' stepeni evtrofirovaniya (na primere raznotipnykh ozer Respubliki Bashkortostan) [Autotrophic plankton as an indicator of the degree of eutrophication (on the example of different types of lakes in the Republic of Bashkortostan]: Abstr. … Diss. Kand. Sci. Ufa. 16 p. (In Russ.).
- Kitaev S.P. 1984. Ekologicheskie osnovy bioproduktivnosti ozer raznykh prirodnykh zon [Ecological bases of lake bioproductivity in different natural areas]. Moscow. 207 p. (In Russ.).
- Kitaev S.P. 2007. Osnovy limnologii dlya gidrobiologov i ikhtiologov [Fundamentals of limnology for aquatic biologists and ichthyologists]. Petrozavodsk. 395 p. (In Russ.).
- Komárek J., Anagnostidis K. 1999. Cyanoprokaryota. 1. Teil. Chroococcales. Süsswasserflora von Mitteleuropa. Bd 19/1. Jena. 548 p.
- Komárek J., Anagnostidis K. 2005. Cyanoprokaryota. 2. Teil. Oscillatoriales. Süsswasserflora von Mitteleuropa. Bd 19/2. München. 759 р.
- Komárek J., Fott B. 1983. Chlorophyceae (Gruunalgen). Ordnung: Chlorococcales Bd. 16 (7, 1). Schweizerbart, Stuttgard. 1044 s.
- Krakhmalny A.F. 2011. Dinofitovyye vodorosli Ukrainy (illyustrirovannyy opredelitel') [Dinophyta of Ukraine (illustrated book for identification)]. Kiev. 444 p. (In Russ.).
- Krammer K., Lange-Bertalot H. 1986. Bacillariophyceae. T. 1: Naviculaceae. Süsswasserflora von Mitteleuropa 2/1. Jena. 876 p.
- Krammer K., Lange-Bertalot H. 1988. Bacillariophyceae. T.2: Bacillariaceae, Epithemiaceae, Surirrellaceae. Süsswasserflora von Mitteleuropa 2/2. Stuttgart-New York. 596 p.
- Krammer K., Lange-Bertalot H. 1991a. Bacillariophyceae. T. 3: Centrales, Fragilariaceae, Eunotiaceae. Süsswasserflora von Mitteleuropa 2/3. Stuttgart-Jena. 576 p.
- Krammer K., Lange-Bertalot H. 1991b. Bacillariophyceae. T. 4: Achnanthaceae. Sűsswasserflora von Mitteleuropa 2/4. Stuttgart-Jena. 437 p.
- Marvan P., Marsalek B., Hetesa J., Sukacova K., Marsalkova E., Geris R., Kozakova M. 2005. Comments on the revised tables of algal (and other botanical) water quality indicators listed in CSN 75 7716 – discussion material for assessment of trophic status of water bodies. – Association Flos Aquae. www.cyanobacteria.net on 6th May 2005.
- Megarran E. 1992. Ekologicheskoe raznoobrazie i ego izmerenie [Ecological diversity and its measurement]. Moscow. 184 p. (In Russ.).
- Metodika izucheniya biogeotsenozov vnutrennikh vodoemov. 1975. [Methods for Studying Biogeocenoses of Inland Water Bodies]. Moscow. P. 73–84 (In Russ.). Opredelitel’ presnovodnykh vodorosley SSSR. 1951–1986. [Identification Guide of the USSR freshwater algae]. Moscow, Leningrad. Vol. 1–14 (In Russ.).
- Ozkan K., Jeppesen E., Sondergaard M. et al. 2013. Contrasting roles of water chemistry, lake morphology, land-use, climate and spatial processes in driving phytoplankton richness in the Danish landscape. – Hydrobiologia. 710 (1): 173–187.
- Palagushkina O.V. 2004. Ekologiya fitoplanktona karstovykh ozer Srednego Povolzh’ya [Ecology of the karst lakes phytoplankton of the Middle Volga region]: Abstr. … Diss. Kand. Sci. Kazan’. 25 p. (In Russ.).
- Pesenko Yu.A. 1982. Printsipy i metody kolichestvennogo analiza v faunisticheskikh issledovaniyakh [Principles and methods of quantitative analysis in faunistic research] Мoscow. 287 p. (In Russ.).
- Proshkina-Lavrenko A.I. 1953. Diatomovyye vodorosli – pokazateli solenosti vody [Diatoms algae – indicators of salinity. Diatomcollection]. Leningrad. P. 186–205 (In Russ.).
- Shigapov I.S., Mingazova N.M., Sharifullin A.N., Palagushkina O.V., Pavlova L.R., Musin A.G. 2010. Zavisimost’ fiziko-khimicheskikh pokazatelei vody ozer urbanizirovannykh territorii ot morfometricheskikh parametrov [Relation between physical and chemical characteristics of lakes water in urban lands and morphometric parameters]. – Geografiya i prirodnye resursy. 1: 177–179 (In Russ.).
- Shkundina F.B. 1983. Sezonnyye izmeneniya fitoplanktona ozera Kandry-Kul’ [Seasonal changes in phytoplankton of Lake Kandy-Kul]. – Biol. nauki. 2: 60–64 (In Russ.).
- Shkundina F.B. 1992. Morfologicheskaya struktura soobshchestv fitoplanktona vodoyemov Bashkirii [Morphological structure of phytoplankton communities in water bodies of Bashkiria]. – Biol. nauki. 9: 98–102 (In Russ.).
- Shkundina F.B., Denisova N.V. 2001. Biologicheskiy monitoring sostoyaniya poymennykh ozer reki Beloy po fitoplanktonu [Biological monitoring of the state of floodplain lakes of the Belaya River by phytoplankton]. – In: Sovr. probl. bioindikatsii i biomonitoringa: Tez. dokl. XI mezhdunar. simpoz. po biomonitoram. Syktyvkar. P. 209 (In Russ.).
- Shkundina F.B., Denisova N.V. 2002. Izmeneniye trofi-cheskoy struktury ozer Bashkortostana pod vliyaniyem razlichnykh form urbanizatsii [Changes in the trophic structure of the lakes of Bashkortostan under the influence of various forms of urbanization]. – Problem. region. ekol. 3: 5–8 (In Russ.).
- Shkundina F.B., Gulamanovа G.A. 2011. Biologicheskoye raznoobraziye avtotrofnogo planktona ozer Respubliki Bashkortostan (Rossiya) [Biological diversity of autotrophic plankton in lakes of the Republic of Bashkortostan (Russia)]. – Al’gologiya. 21 (3): 329–345 (In Russ.).
- Sládeček V. 1973. System of Water Quality from the Biological Point of View. – Arch. Hydrobiol. Beih. 7. Ergebnisse der Limnologie. H. 7. 218 s.
- Smirnova N.P., Isachenko A.G., Andronikova I.N. 1993. Teoreticheskie voprosy klassifikatsii ozer. [Theoretical issues of lakes classification]. St. Petersburg. 192 p. (In Russ.).
- Snit’ko L.V. 2009. Ekologiya i suktsessii fitoplanktona ozer Yuzhnogo Urala. [Ecology and succession of phytoplankton in lakes of the Southern Urals]. Miass. 376 p. (In Russ.).
- Soininen J., Luoto M. 2012. It catchment productivity a useful predictor of taxa richness in lake plankton communities? – Ecol. Appl. 22 (2): 6.
- Starmach K. 1983. Euglenophyta – Eugleniny. T. 3. Flora Słodkowodna Polski. Warszawa. Krakow. 594 p.
- Trifonova I.S. 1990. Ekologiya i suktsessiya ozernogo fitoplanktona [Ecology and succession of lake phytoplankton]. Leningrad. 184 p. (In Russ.).
- Trifonova I.S. 1994. Zakonomernosti izmeneniya fitoplanktonnykh soobshchestv pri evtrofirovanii ozer [Patterns of phytoplankton communities changes under lake eutrophication]: Abstr. … Diss. Doct. Sci. St. Petersburg. 78 p. (In Russ.).
- Unifitsirovannyye metody issledovaniya kachestva vod. 1983. [Unified Methods for the Study of Water Quality] Chast’ 3. Metody biologicheskogo analiza vod [Part 3. Methods of biological water analysis]. Moscow. 371 p. (In Russ.).
- Vodorosli, vyzyvayushchiye “tsveteniye” vodoyemov severo-zapada Rossii. 2006. [Algae causing “blooming” of reservoirs in the north-west of Russia]. Moscow. 376 p. (In Russ.).
- Yarushina М.I., Tanaeva G.V., Eremkina T.V. 2004. Flora vodorosley vodoyemov Chelyabinskoy oblasti [Flora of algae in reservoirs of the Chelyabinsk region]. Yekaterin- burg. 307 p. (In Russ.).
Supplementary files





