STRUCTURE OF THE EPIPHYTE MOSS COVER ON THE TREES IN MIDDLE TAIGA BLUEBERRY SPRUCE FOREST
- Authors: Obabko R.P.1, Kryshen A.M.2
-
Affiliations:
- Petrozavodsk State University
- Forest Research Institute of Karelian Research Centre RAS
- Issue: Vol 108, No 2 (2023)
- Pages: 97-110
- Section: COMMUNICATIONS
- URL: https://ogarev-online.ru/0006-8136/article/view/134478
- DOI: https://doi.org/10.31857/S0006813623020084
- EDN: https://elibrary.ru/EXJMOW
- ID: 134478
Cite item
Full Text
Abstract
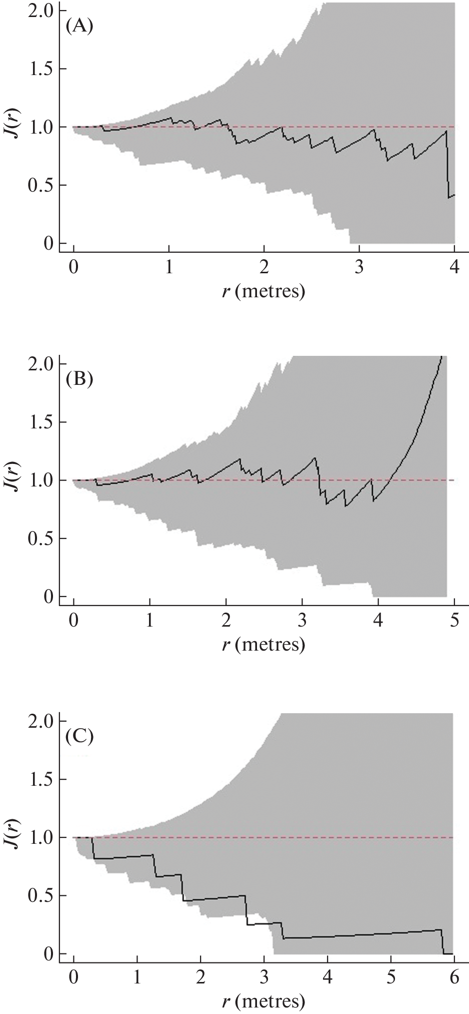
The paper presents the results of a study of the spatial structure of the distribution of epiphytes on the sample plot, and on the trunk of Picea abies (L.) H. Karst. The distribution of all trees and individual species on the sample plot, as well as most species of epiphytic mosses, does not differ from random. Only one species, namely Dicranum fuscescens Turner, which in this community grows only on the trunks of living trees, has an aggregated distribution, while all other epiphytic moss species are also found in the ground cover and their distribution in the communities is random. The epiphytic cover on the trunk of a spruce tree, in the conditions of the middle taiga blueberry spruce forest, has a structure consisting of stripes and spots of various types distributed along the humidity gradient.
Keywords
About the authors
R. P. Obabko
Petrozavodsk State University
Author for correspondence.
Email: romaparrot@mail.ru
Russia, 185910, Petrozavodsk, Lenin Str., 33
A. M. Kryshen
Forest Research Institute of Karelian Research Centre RAS
Email: romaparrot@mail.ru
Russia, 185910, Petrozavodsk, Pushkinskaya Str., 11
References
- Akhavan R., Sagheb-Talebi Kh., Zenner E.K., Safavimanesh F. 2012. Spatial patterns in different forest development stages of an intact old-growth Oriental beech forest in the Caspian region of Iran. – European Journal of Forest Research. 131 (5): 1355–1366. https://doi.org/10.1007/s10342-012-0603-z
- Ashton D.H. 1986. Ecology of bryophytic communities in mature Eucalyptus regnans F Muell forest at Wallaby Creek, Victoria. – Australian Journal of Botany. 34 (2): 107–129. https://doi.org/10.1071/BT9860107
- Baddeley A., Rubak E., Turner R. 2015. Spatial point patterns: methodology and applications with R. CRC press. 828 p.
- Baddeley A., Turner R. 2005. Spatstat: an R package for analyzing spatial point patterns. – Journal of Statistical Software. 2 (12): 1–42. https://doi.org/10.18637/jss.v012.i06
- Barkman J.J. 1958. Phytosociology and Ecology of Cryptogamic Epiphytes. Van Gorcum, Assen. 628 p.
- Belinchón R., Martínez I., Aragón G., Escudero A., De la Cruz M. 2011. Fine spatial pattern of an epiphytic lichen species is affected by habitat conditions in two forest types in the Iberian Mediterranean region. – Fungal Biology. 115 (12): 1270–1278. https://doi.org/10.1016/j.funbio.2011.09.003
- Billings W.D., Drew W.B. 1938. Bark factors affecting the distribution of corticolous bryophytic communities. – American Midland Naturalist. 20 (2): 302–330.
- Bush K.K., Abolin’ A.A. 1968. Stroenie i izmenenie rastitel’nogo pokrova vazhneyshikh tipov lesa pod vliyaniem osusheniya [The structure and change of the vegetation cover of the most important types of forest under the influence of drainage]. – In: Issues of hydroforestry. Riga. P. 67–89 (In Russ.).
- Cain S.A., Sharp A.J. 1938. Bryophytic unions of certain forest types of the Great Smoky Mountains. – American Midland Naturalist. 20 (2): 249–301.
- Coppins B.J. 1984. Epiphytes of birch. – Proceedings of the Royal Society of Edinburgh. Section B: Biological Sciences. 85 (1–2): 115–128.
- Degtyareva S.I. 2012. Kolichestvennye uchety epifitnyh gruppirovok [Quantitative records of epiphytic groups]. – In: Vosproizvodstvo, monitoring i okhrana prirodnykh, prirodno-antropogennykh i antropogennykh landshaftov. P. 51–56 (In Russ.).
- Ezer T., Alataş M., Batan N. 2019.Successional trends of some epiphytic bryophytes in Mediterranean Basin. – Acta Biologica Turcica. 32 (4): 181–193.
- Gorshkov V.V. 1986. Epifitnye likhenosinuzii sosnovykh lesov Kol’skogo poluostrova (Formirovanie, ekologiya, vliyanie antropogennykh faktorov) [Epiphytic linenosynusia in pine forests of the Kola Peninsula (Formation, ecology, influence of anthropogenic factors): Abstr. … Diss. Kand. Sci. Leningrad. 21 p. (In Russ.).
- Gustafsson L., Eriksson I. 1995. Factors of importance for the epiphytic vegetation of Aspen Populus tremula with special emphasis on bark chemistry and soil chemistry. https://doi.org/10.2307/2405107
- Hedenås H., Bolyukh V.O., Jonsson B.G. 2003. Spatial distribution of epiphytes on Populus tremula in relation to dispersal mode. – Journal of Vegetation Science. 14 (2): 233–242. https://doi.org/10.1111/j.1654-1103.2003.tb02148.x
- Ignatenko R.V., Tarasova V.N., Obabko R.P. 2018. Prostranstvennaya struktura tsenopopulyatsiy lishaynika Lobaria pulmonaria v lesnykh soobshchestvakh Karelii [Spatial structure of coenopopulations of the lichen Lobaria pulmonaria in the forest communities of Karelia]. – In: Trudy XIV s’yezda russkogo botanicheskogo obshchestva i konferentsii “Botanika v sovremennom mire” Vol. 3. Makhachkala. P. 105. (In Russ.).
- Ignatov M.S., Afonina O.M., Ignatova E.A., Abolina A., Akatova T.V., Baisheva E.Z., Bardunov L.V., Baryakina E.A., Belkina O.A., Bezgodov A.G., Boychuk M.A., Cherdantseva V.Ya., Czernyadjeva I.V., Doroshina G.Ya., Dyachenko A.P., Fedosov V.E., Goldberg I.L., Ivanova E.I., Jukoniene I., Kannukene L., Kazanovsky S.G., Kharzinov Z.Kh., Kurbatova L.E., Maksimov А.I., Mamatkulov U.K., Manakyan V.A., Maslovsky O.M., Napreenko M.G., Otnyukova T.N., Partyka L.Ya., Pisarenko O.Yu., Popova N.N., Rykovsky G.F., Tubanova D.Ya., Zheleznova G.V., Zolotov V.I. 2007. Check-list of mosses of East Europe and North Asia. – Arctoa. 15: 1–130. https://doi.org/10.15298/arctoa.15.01
- Ignatov M.S., Milyutina I.A. 2007. A revision of the genus Sciuro-hypnum (Brachytheciaceae, Bryophyta) in Russia. – Arctoa. 16: 63–86. https://doi.org/10.15298/arctoa.16.07
- Ignatov M.S., Ignatova E.A., Fedosov V.E., Zolotov V.I., Koponen T., Chernyad’eva I.V., Doroshina G.Ya., Tubanova D.Ya., Bell N.E. 2018. Moss flora of Russia. Vol 4. Bartramiales – Aulacomniales. Moscow. 543 p. (In Russ.).
- Ignatova E.A., Fedorova A.V., Kuznetsova O.I., Ignatov M.S. 2019. Taxonomy of the Plagiothecium laetum complex (Plagiotheciaceae, Bryophyta) in Russia. – Arctoa. 28: 28–45. https://doi.org/10.15298/arctoa.28.05
- Ipatov V.S., Kirikova L.A. 1997. Fitotsenologiya [Phytocenology]. St. Petersburg. 316 p. (In Russ.).
- Isakova N.A. 2009. Vidovoe i sinuzial’noe raznoobrazie listostebel’nykh mkhov vostochnogo sklona Il’menskikh gor. Il’men [Species and Synusial Diversity of Leafy Mosses on the Eastern Slope of the Ilmen Mountains]. Ekaterinburg, Miass. 128 p. (In Russ.).
- Kermit T., Gauslaa Y. 2001. The vertical gradient of bark pH of twigs and macrolichens in a Picea abies canopy not affected by acid rain. – The Lichenologist. 33 (4): 353–359.
- Mežaka A., Brūmelis G., Piterāns A. 2008. The distribution of epiphytic bryophyte and lichen species in relation to phorophyte characters in Latvian natural old-growth broad leaved forests. – Folia Cryptogamica Estonica. 44: 89–99.
- Mežaka A., Brūmelis G., Piterāns A. 2010. Epiphytic bryophyte and lichen communities in relation to tree and forest stand variables in Populus tremula forests of south-east Latvia. – Acta Biol. Univ. Daugavp. 2: 1–8.
- Mežaka A., Brūmelis G., Piterāns A. 2012. Tree and stand-scale factors affecting richness and composition of epiphytic bryophytes and lichens in deciduous woodland key habitats. – Biodiversity and Conservation. 21 (12): 3221–3241. https://doi.org/10.1007/s10531-012-0361-8
- Moe B., Botnen A. 1997. A quantitative study of the epiphytic vegetation on pollarded trunks of Fraxinus excelsior at Havrå, Osterøy, western Norway. – Plant Ecol. 129 (2): 157–177.
- Molchanov A.A. 1961. Les i klimat [Forest and climate]. Moscow. 279 p. (In Russ.).
- Obabko R.P., Tarasova V.N. 2021. Epiphytic bryoflora of southern Karelia. – Transactions of KarRC RAS. 8: 41–49 (In Russ.).
- Øvstedal D.O. 1980. Lichen communities on Alnus incana in north Norway. –Lichenologist. 12 (2): 189–197.
- Patino J., Gómez-Rodríguez C., Pupo-Correia A., Sequeira M., Vanderpoorten A. 2018. Trees as habitat islands: Temporal variation in alpha and beta diversity in epiphytic laurel forest bryophyte communities. – Journal of Biogeography. 45 (8): 1727–1738. https://doi.org/10.1111/jbi.13359
- Putna S., Mežaka A. 2014. Preferences of epiphytic bryophytes for forest stand and substrate in North-East Latvia. – Folia Cryptogamica Estonica. 51: 75–83. https://doi.org/10.12697/fce.2014.51.08
- Rykovskij G.F., Mal’ko M.S., Sakovich A.A. 2020. Epifitnyy komponent brioflory Polesskogo regiona [Epiphytic component of the bryoflora of the Polissya region]. – Prirodnye resursy. 1: 49–57 (In Russ.).
- Sales K., Kerr L., Gardner J. 2016. Factors influencing epiphytic moss and lichen distribution within Killarney National Park. – Bioscience Horizons: The international journal of student research. 9. https://doi.org/10.1093/biohorizons/hzw008
- Savel’ev A.A., Muharamova S.S., Chizhikova N.A., Pilyugin A.G. 2014. Teoriya prostranstvennykh tochechnykh processov v zadachakh ekologii i prirodopol’zovaniya (s primeneniem paketa R) [Theory of spatial point processes in problems of ecology and nature management (using the R package)]. Kazan. 146 p. (In Russ.).
- Shi X.M., Song L., Liu W.Y., Lu H.Z., Qi J.H., Li S., Chen X., Wu J.F., Liu S., Wu C.S. 2017. Epiphytic bryophytes as bio-indicators of atmospheric nitrogen deposition in a subtropical montane cloud forest: Response patterns, mechanism, and critical load. – Environmental Pollution. 229: 932–941. https://doi.org/10.1016/j.envpol.2017.07.077
- Smith A.J.E. 1982. Epiphytes and epiliths. – In: Bryophyte ecology. Springer. Dordrecht. P. 191–227.
- Snäll T., Ehrlén J., Rydin H. 2005a. Colonization-extinction dynamics of an epiphyte metapopulation in a dynamic landscape. – Ecology. 86 (1): 106–115. https://doi.org/10.1890/04-0531
- Snäll T., Pennanen J., Kivistö L., Hanski I. 2005b. Modelling epiphyte metapopulation dynamics in a dynamic forest landscape. – Oikos. 109 (2): 209–222. https://doi.org/10.1111/j.0030-1299.2005.13616.x
- Söderström L., Hagborg A., von Konrat M., Bartholomew-Began S., Bell D., Briscoe L., Brown E., Cargill D.C., Costa D.P., Crandall-Stotler B.J., Cooper E.D., Dauphin G., Engel J.J., Feldberg K., Glenny D., Gradstein S.R., He X., Heinrichs J., Hentschel J., Ilkiu-Borges A.L., Katagiri T., Konstantinova N.A., Larraín J., Long D.G., Nebel M., Pócs T., Puche F., Reiner-Drehwald E., Renner M.A., Sass-Gyarmati A., Schäfer-Verwimp A., Moragues J.G., Stotler R.E., Sukkharak P., Thiers B.M., Uribe J., Váňa J., Villarreal J.C., Wigginton M., Zhang L., Zhu R.L. 2016. World checklist of hornworts and liverworts. – PhytoKeys. 27 (59): 1–828. https://doi.org/10.3897/phytokeys.59.6261
- Stepanova V.I. 2004. Epifitnyy lishajnikovyy pokrov eli evropeyskoy (Picea abies (L.) Karst) v elovykh lesakh Yuzhnoy Karelii [Epiphytic lichen cover of European spruce (Picea abies (L.) Karst) in spruce forests of South Karelia: Abstr. … Diss. Kand. Sci.]. St. Petersburg. 29 p. (In Russ.).
- Strazdina L. 2010. Bryophyte community composition on an island of Lake Cieceres, Latvia: dependence on forest stand and substrate properties. – Environmental and Experimental Biology. 8: 49–58.
- Tarasova V.N., Obabko R.P., Himelbrant D.E., Boychuk M.A., Stepanchikova I.S., Borovichev E.A. 2017. Diversity and distribution of epiphytic lichens and bryophytes on aspen (Populus tremula) in the middle boreal forests of Republic of Karelia (Russia). – Folia Cryptogamica Estonica. 54: 125–141.
- Tarhova T.N., Ipatov V.S. 1975. Vliyanie osveshchennosti i opada na razvitie nekotoryh mhov [The influence of lighting and bedding on the development of some mosses]. – Ekologiya. 1: 58–65 (In Russ.).
Supplementary files












