Вращение линии апсид в затменной системе V1059 Cep
- Авторы: Козырева В.С.1, Хамракулов Ф.Б.2,3, Бурхонов О.А.2,3, Богомазов А.И.1, Сатовский Б.Л.4
-
Учреждения:
- Московский государственный университет им. М. В. Ломоносова, Государственный астрономический институт им. П. К. Штернберга
- Астрономический институт им. Улугбека, Академия наук Узбекистана
- Самаркандский государственный университет
- Государственная корпорация “Роскосмос”
- Выпуск: Том 101, № 2 (2024)
- Страницы: 101-110
- Раздел: СТАТЬИ
- URL: https://ogarev-online.ru/0004-6299/article/view/263963
- DOI: https://doi.org/10.31857/S0004629924020048
- EDN: https://elibrary.ru/KTEYCK
- ID: 263963
Цитировать
Полный текст
Аннотация
Анализ трех кривых блеска затменной переменной звезды V1059 Cep, полученных в 2012, 2013 и 2021 гг., позволил найти быстрое движение линии апсид в этой системе со скоростью dw/dt = 7.2°/год. Предполагая равенство наблюдаемой и теоретической скоростей вращения орбиты, на основании данных из литературы о температуре компонентов системы мы оценили их физические характеристики: это две очень похожие звезды спектрального класса B7 V–B7.5 V с массами ≈(3.4 ± 0.3)M и возрастом 180±30 млн лет.
Ключевые слова
Полный текст
1. Введение
Форма компонентов достаточно тесных двойных систем может значительно отличаться от сферической в силу действия приливных сил и возможного быстрого осевого вращения. Если орбита системы эллиптическая, то она вращается в направлении орбитального движения. Это так называемое классическое апсидальное движение орбиты, проявляющееся как смещение моментов вторичного минимума относительно моментов главного минимума кривой блеска (см., напр., [1, 2]).
Скорость движения линии апсид зависит от характеристик компонентов и орбиты. В частности, параметр k2 [3] характеризует концентрацию вещества звезды к центру и является одним из таких параметров. В работе [4] были рассчитаны эволюционные треки звезд различной массы и химического состава. Параметр k2 в этих треках значительно меняется на протяжении жизни звезды и существенно различается для звезд разной массы и разного спектрального класса.
Важными характеристиками звезды в зависимости от ее возраста являются светимость, температура, ускорение свободного падения и радиус. Для проверки теоретических оценок этих параметров в данной работе используется сравнение с наблюдательными данными. При этом мы предполагаем, что возраст звезд одинаков.
В дополнение к классическому движению линии апсид существует релятивистское. Его причиной является искажение пространства-времени массивными телами. Классическое и релятивистское апсидальное вращение имеют одинаковое направление. Для различных сочетаний характеристик звезд и их орбиты соотношение между классическим и релятивистским вкладом в скорость вращения орбиты различна. В большинстве случаев скорость движения линии апсид определяется в первую очередь классическим вкладом [5].
Периоды апсидального движения в двойных системах очень сильно зависят от орбитального периода и от радиусов звезд и могут составлять от нескольких десятков лет до нескольких сотен тысяч лет. Чем выше скорость движения линии апсид, тем точнее можно вычислить ее значение и величину коэффициента k2. Cистема V1059 Cep представляет собой очень интересный объект в связи с тем, что она в настоящее время наблюдается на отрезке своей эволюции, когда циркуляризация орбиты еще не произошла, есть небольшой эксцентриситет орбиты и быстрое движение линии апсид (с периодом около 50 лет). Это дает возможность за относительно небольшой промежуток времени с разницей в несколько лет с большой точностью определить скорость вращения линии апсид, коэффициент k2, а также такие важные параметры, как возраст звезды, наблюдаемые радиусы звезд и ускорения свободного падения на их поверхностях.
2. Наблюдения
Затменная переменная V1059 Cep с орбитальным периодом Porb = 2.5568906d была открыта в октябре 2012 г. на телескопе системы Гамильтона (диаметр 40 см) Сибирского университета науки и технологии с ПЗС-камерой FLI ML9000 без фильтров [6], наблюдения объекта были продолжены при помощи этих же приборов в ноябре 2013 г.
В дальнейшем V1059 Cep изучалась в Майданакской астрономической обсерватории Астрономического института им. Улугбека Академии наук Узбекистана [7] в 2021 г. на 50 см автоматизированном телескопе с дистанционным управлением AMT-1 (АстроТел-Майданак Телескоп-1) с использованием ПЗС матрицы Apogee Alta U16M (4K × 4K). Наблюдения проводились в течение 10 ночей с 15 (JD 245 9442) по 25 (JD 245 9453) августа 2021 г. Температура ПЗС камеры была установлена на отметке -15 °C. Время экспозиции составляло 120 с в фильтре Rc (фотометрическая система Johnson-Cousins, фильтр производства фирмы Astrodon). Для считывания данных из ПЗС камеры была использована программа MaxIm DL 5. Телескоп АМТ-1 имеет экваториально вилочную монтировку Mathis Instruments MI-7501 и оптическую трубу системы Ричи-Кретьена ASTROSIB RC5002 с фокусным расстоянием 4000 мм. Физический размер пикселя ПЗС камеры Apogee Alta U16M составляет 9 мкм. Был использован биннинг 2 × 2, что соответствует угловому размеру пикселя 0.907″, поле зрения 30.9′×30.9′.
Координаты и звездные величины изучаемого объекта, звезды сравнения, контрольной звезды и звезды-соседки (в связи с третьим светом, см. ниже) приведены в табл. 1.
Таблица 1. Координаты и звездные величины V1059 Cep, звезды сравнения, контрольной звезды, звезды-соседки. Прямое восхождение α и склонение δ приведены для эпохи J2000. Показаны звездные величины mB2, mR2 в фильтрах B и R из каталога USNO-B1.0 [8]
Звезда | Обозначение | αJ2000 | δJ2000 | mB2 | mR2 |
Изучаемый объект | USNO B1.0 1490–0330549 | 21h 52m 08.7s | +59°04′35.8″ | 15.89 | 14.44 |
Звезда сравнения | USNO B1.0 1490–0330180 | 21 51 44.9 | +59 05 48.2 | 15.36 | 13.80 |
Контрольная звезда | USNO B1.0 1491–0330401 | 21 51 52.3 | +59 06 13.1 | 15.38 | 14.05 |
Звезда-соседка | USNO B1.0 1490–0330538 | 21 52 08.3 | +59 04 37.4 | 18.07 | 16.86 |
Примечание. Символ “2” в индексе звездной величины означает звездную величину во втором наблюдении, внесенном в каталог.
За время наблюдений никаких заметных колебаний блеска, превышающих 0.01m, у звезды сравнения замечено не было. Разность величин вне минимума между изучаемой звездой и звездой сравнения составляет 1.13m ± 0.01m. Кривая блеска V1059 Cep по наблюдениям 2021 г. приведена на рис. 1. Глубина главного (Min I, 0.385m) и вторичного (Min II, 0.376m) минимумов в фильтре Rc отличается всего на ≈0.01m.
Рис. 1. Кривая блеска V1059 Cep по наблюдениям 2021 г. в фильтре Rc .
Так как при ПЗС фотометрии выбор радиуса апертуры зависит от качества конкретного изображения, в первую очередь оценивалось качество изображений в пикселях (FWHM) с опорой на звезду сравнения и контрольную звезду. Далее в качестве радиуса апертуры использовано двойное значение FWHM, при этом для конкретного изображения использовано одно значение радиуса апертуры (2 × FWHM) для опорных звезд и исследуемого объекта. Радиус апертуры в данном случае составляет 4–5 пикселей, что дает значение 3.6″–4.5″.
3. Вычисление параметров звезд и элементов орбиты
Для поиска фотометрических параметров и элементов орбиты мы применяем метод, изложенный в работах [9, 10]. Он использует данные кривых блеска на фазах минимумов и основан на поиске минимума функционала суммы квадратов уклонений.
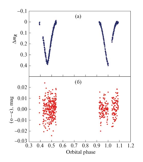
В вычислениях теоретической кривой блеска звезды считаются сферическими с линейным потемнением к краю. На рис. 2 показаны кривые блеска на фазах минимумов и соответствующие невязки (o – c) между теоретической кривой блеска и наблюдениями. Отсутствие систематических отклонений (o – c) в зависимости от фазы, в особенности на отрезках входа и выхода из затмения, позволяет считать используемую модель сферических звезд в данном случае вполне приемлемой. Такие двойные относятся к разряду разделенных систем.
Рис. 2. Дифференциальная кривая блеска на фазах минимумов (a) и невязка (б) между теоретической и наблюдаемой кривыми блеска (o – c ), наблюдения 2021 г. в фильтре Rc, набор параметров системы “b” из табл. 2.
В результате минимизации вычисляются следующие параметры:
- r1, r2 — радиусы главного (1) и вторичного (2) компонентов в единицах большой полуоси орбиты;
- u1, u2 — коэффициенты потемнения звезд к краю;
- L1, L2, L3 — относительная светимость компонентов системы и третий свет в единицах полной светимости системы (L1 + L2 + L3 = 1);
- i — наклонение плоскости орбиты к картинной плоскости;
- e — эксцентриситет орбиты;
- ω — долгота периастра орбиты главного компонента;
- E0 — момент главного минимума, соответствующий эпохе анализируемых наблюдений;
- dω/dt — скорость вращения линии апсид.
Для поиска скорости вращения линии апсид dω/dt в качестве независимого параметра алгоритм вычислений предполагает работу одновременно со всем массивом высокоточных кривых блеска, полученных на одинаковом оборудовании со значительной разницей между эпохами наблюдений. Для V1059 Cep массив наблюдений совершенно неоднородный, поэтому вычисления проводятся по отдельным кривым блеска, dω/dt в качестве параметра в программе не варьируется. Влияние коэффициентов потемнения к краю u1, u2 проявляется в основном на участках кривой блеска, непосредственно прилегающих к точкам касания дисков звезд. Многочисленный опыт вычислений при помощи программы из работ [9, 10] показал, что они могут быть достоверно определены только из наблюдений, обладающих полнотой на всех участках кривой блеска, причем точность наблюдений должна быть не хуже, чем 0.005m [11]. Как правило, наземные наблюдения такой точностью не обладают, в частности, кривые блеска V1059 Cep этим требованиям не удовлетворяют, поэтому мы воспользовались теоретическими коэффициентами потемнения к краю.
Система V1059 Cep пока очень мало изучена фотометрически и, тем более, спектрально. Оценки эффективной температуры звезды приведены в каталогах [12, 13]. Зависимость массы и спектрального класса взята из работ [14, 15]. Если считать, что температура звезды находится в диапазоне указанных в каталогах [12, 13] величин (11 100–12 700 K), то такую температуру имеют звезды спектрального класса от B9 V до B6.5 V с массой от 2.5 до 4.
Величины коэффициентов потемнения к краю были взяты из теоретических вычислений [16] согласно температуре звезд и полосе наблюдений Rc кривых блеска. В результате вычислений высокоточный надежный результат получается для суммы относительных радиусов звезд. Вычисление для кривой блеска, полученной в 2021 г., показало, что эта величина равна r1 + r2 = 0.480 ± 0.001. Для получения индивидуальных радиусов звезд была сделана серия вычислений с различными величинами радиусов при сохранении постоянной величины суммы радиусов (табл. 2). Все остальные параметры были найдены в свободном поиске (кроме радиусов, коэффициентов потемнения к краю и скорости вращения линии апсид по описанным выше причинам). Продолжительность наблюдений в 2021 г. составила всего 10 дней. Поэтому можно пренебречь изменением кривой блеска, которая была бы вызвана изменением долготы периастра за время наблюдения. Изменение долготы периастра можно принять равным нулю, так как его вариации не влияют на остальные параметры с точностью до 0.1%. В табл. 2 приведены несколько вычислений программы с фиксированным значением суммы радиусов.
Таблица 2. Параметры системы V1059 Cep с различными значениями r1 и r2 при фиксированной сумме радиусов r1 + r2 = 0.48
Параметр | “a” | “b” | |||
r1 | 0.246 | 0.240 | 0.266 | 0.226 | 0.216 |
r2 | 0.234 | 0.240 | 0.214 | 0.254 | 0.264 |
i, ° | 86.33 | 86.28 | 86.33 | 86.85 | 87.18 |
e | 0.0615 | 0.0613 | 0.615 | 0.0605 | 0.0604 |
ω, ° | 193.9 | 192.2 | 193.9 | 187.56 | 183.82 |
L1 | 0.371 | 0.354 | 0.444 | 0.313 | 0.295 |
L2 | 0.328 | 0.346 | 0.284 | 0.382 | 0.414 |
L3 | 0.301 | 0.300 | 0.272 | 0.305 | 0.301 |
σ | 0.0080 | 0.0076 | 0.0088 | 0.0076 | 0.0080 |
Примечание. Здесь r1, r2 — радиусы главного (1) и вторичного (2) компонентов в единицах большой полуоси орбиты; u1, u2 — коэффициенты потемнения звезд к краю, для всех вариантов зафиксированы на значении 0.30; L1, L2, L3 — относительные светимости компонентов системы и третий свет в единицах полной светимости системы (L1 + L2 + L3 = 1); i — наклонение плоскости орбиты к лучу зрения; e — эксцентриситет орбиты; ω — долгота периастра орбиты главного компонента; σ — стандартное отклонение.
Минимальному среднеквадратическому отклонению между теоретической и наблюдаемой кривой блеска (σ = 0.0076) удовлетворяют два набора параметров: вариант “a” и вариант “b”. В варианте “a” радиусы звезд равны между собой, в варианте “b” радиус главной звезды получился на 15% меньше, чем радиус вторичной. В силу равенства среднеквадратических отклонений s вариантов “a” и “b” оценка скорости вращения линии апсид проведена для обоих этих вариантов.
Как видно на рис. 1, на кривой блеска наблюдается небольшое плавное изменение блеска между минимумами. Это, скорее всего, вызвано небольшой эллипсоидальностью формы, которая может в том числе иметь место и у компонентов разделенных систем. Для подобных двойных звезд была предложена процедура ректификации кривой блеска (см. [17, c. 162]). Вычисление новых элементов по ректифицированной кривой блеска 2021 г. показало, что значения радиусов звезд, эксцентриситета, долготы периастра и светимости компонентов находятся между значениями в вариантах “a” и “b” (табл. 2). Оба варианта являются равноправными, так как имеют минимальное (и одинаковое) среднеквадратическое отклонение между наблюдаемой и теоретической кривыми блеска. Все дальнейшие вычисления и выводы в статье были сделаны с учетом всего диапазона величин, найденных в обоих вариантах решений.
На рис. 2 приведены кривые блеска, полученные в 2021 г. на фазах минимумов, по которым проводились вычисления, и приведены значения невязки (o – c) для варианта “b”. Невязка распределена случайно и не зависит от фазы кривой блеска. То же самое получается и для варианта “a”. Для вычисления скорости вращения линии апсид необходимо иметь кривые блеска, полученные в разные эпохи. Для V1059 Cep кроме наблюдений 2021 г. имеются наблюдения, полученные в 2012 и 2013 гг. [6]. К сожалению, в этих кривых блеска есть существенные пробелы на фазах минимумов и наблюдения имеют довольно большую среднеквадратическую ошибку (σ ≈ 0.03) по сравнению с наблюдениями 2021 г. Эти недостатки не позволяют использовать их для независимого определения параметров звезд и элементов орбиты. Но можно получить изменение долготы периастра за промежуток времени между двумя эпохами наблюдений (2012–2013 гг. и 2021 г.), так как при одинаковом значении эксцентриситета долгота периастра орбиты напрямую связана с фазой вторичного минимума, а эта величина определяется хорошо. В предположении, что эксцентриситет и радиусы звезд в системе не изменились между 2012 и 2021 годами и их можно не варьировать, мы вычислили все остальные параметры для кривой блеска 2012–2013 гг. Наблюдения кривой блеска были получены в течение года, поэтому кривая была скорректирована согласно предполагаемой апсидальной скорости в системе. Ряд вычислений был сделан с фиксированными значениями dω/dt в диапазоне от 0 до 15°/год. Дальнейшие вычисления по двум кривым блеска 2012–2013 и 2021 гг. показали, что учет изменения кривой блеска 2012–2013 гг., согласно всему диапазону предполагаемых значений dω/dt, не сказался на средней величине скорости, но уменьшил ошибку определения скорости движения линии апсид.
4. Скорость вращения линии апсид
Кроме наблюдений 2012–2013 и 2021 гг., доступны данные обзора ZTF[3]. Наблюдение V1059 Cep проводились ZTF в 2018–2023 гг. в полосе4 R [18]. За 5 лет было сделано 365 оценок блеска этой звезды, но они расположены очень редко, за одну ночь не более одного измерения звезды (кроме наблюдений восходящей ветви главного минимума в 2019 г.). В целях компактности расположения кривой блеска мы ограничились наблюдениями, полученными в 2018–2019 гг. и содержащими 70% всех данных. Решение этой кривой блеска для свободного поиска всех параметров, кроме коэффициентов потемнения к краю, приведено в табл. 3. Минимальное значение σ получилось для двух решений (варианты “c” и “d” в табл. 3). Для сравнения приведены также оба решения “a” и “b”, полученные с использованием кривой блеска 2021 г. Как видно из таблицы, значение эксцентриситета всех 4 наборов независимых решений близки между собой, совпадает также и сумма относительных радиусов звезд.
Таблица 3. Параметры звезд и элементы орбиты V1059 Cep, полученные по кривым блеска разных лет
Параметр | “a” | “b” | “c” | “d” |
r1 | 0.240 ± 0.003 | 0.226 ± 0.003 | 0.222 ± 0.005 | 0.252 ± 0.005 |
r2 | 0.240 ± 0.003 | 0.254 ± 0.003 | 0.263 ± 0.005 | 0.233 ± 0.005 |
i, ° | 86.3 ± 0.4 | 86.9 ± 0.3 | 85.7 ± 0.6 | 84.9 ± 0.6 |
e | 0.0613 ± 0.0003 | 0.0605 ± 0.0002 | 0.613 ± 0.0004 | 0.0595 ± 0.0004 |
ω, ° | 192.2 ± 0.5 | 187.6 ± 0.5 | 188.9 ± 0.8 | 196.6 ± 0.8 |
L1 | 0.354 ± 0.005 | 0.313 ± 0.005 | 0.359 ± 0.007 | 0.464 ± 0.007 |
L2 | 0.346 ± 0.005 | 0.382 ± 0.005 | 0.487 ± 0.007 | 0.386 ± 0.007 |
L3 | 0.300 ± 0.010 | 0.305 ± 0.010 | 0.154 ± 0.010 | 0.150 ± 0.010 |
J1/J2 | 1.02 ± 0.02 | 1.03 ± 0.02 | 1.03 ± 0.02 | 1.03 ± 0.02 |
σ | 0.0076 | 0.0076 | 0.0138 | 0.0137 |
Примечание. u1, u2 — коэффициенты потемнения звезд к краю, для всех вариантов зафиксированы на значении 0.30. Варианты “a” и “b” соответствуют кривым блеска 2021 г., наблюдения сделаны в Майданакской обсерватории; варианты “c” и “d” — для кривых блеска 2018–2019 гг., наблюдения сделаны обзором ZTF. J1 /J2 — отношение поверхностной яркости главного (J1) и вторичного компонентов (J2).
Среднеквадратическое отклонение σ кривой блеска 2021 г. в два раза меньше, чем кривой блеска, полученной ZTF, поэтому дальнейший анализ проводился согласно вариантам “a” и “b”. Значение радиусов звезд, эксцентриситета и коэффициентов потемнения к краю не варьировалось. Результаты вычислений для всех трех кривых блеска показаны в табл. 4 и 5.
Таблица 4. Параметры звезд и элементы орбиты, полученные для кривых блеска 2021, 2012–2013 и 2018–2019 гг. в варианте “a”
Параметр | Кривая блеска | ||
2021 | 2012–2013 | 2018–2019 | |
r1 | 0.240 ± 0.005 | – | – |
r2 | 0.240 ± 0.005 | – | – |
i, ° | 86.3 ± 0.2 | 86.7 ± 0.5 | 87.0 ± 0.8 |
e | 0.0613 ± 0.0005 | 0.0613 | 0.0613 |
ω, ° | 192.2 ± 0.2 | 133.7 ± 1.2 | 170.3 ± 3.0 |
L1 | 0.354 ± 0.005 | 0.301 ± 0.010 | 0.393 ± 0.007 |
L2 | 0.346 ± 0.005 | 0.337 ± 0.010 | 0.480 ± 0.007 |
L3 | 0.300 ± 0.010 | 0.362 ± 0.010 | 0.127 ± 0.010 |
u1 | 0.3 | – | – |
u2 | 0.3 | – | – |
E0, HJD | 2459445.4943 | 2 456 528.064 | 2458803.7153 |
ФII | 0.4618 ± 0.0001 | 0.4730 ± 0.0007 | 0.4615 ± 0.0005 |
σ | 0.0076 | 0.0370 | 0.0140 |
Примечание. Ряд элементов не варьировались, их значение соответствует решению, полученному в варианте “a”. E0 — начальная эпоха периастра, ФII — фаза периастра.
Таблица 5. Параметры звезд и элементы орбиты, полученные для кривых блеска 2021, 2012–2013 и 2018–2019 гг. в варианте “b”
Параметр | Кривая блеска | ||
2021 | 2012–2013 | 2018–2019 | |
r1 | 0.226 | – | – |
r2 | 0.254 | – | – |
i,° | 86.9 ± 0.3 | 87.0 ± 0.5 | 84.6 ± 1.5 |
e | 0.0605 | – | – |
ω,° | 187.5 ± 0.5 | 131.4 ± 1.5 | 176.5 ± 4.0 |
L1 | 0.313 ± 0.005 | 0.296 ± 0.010 | 0.393 ± 0.007 |
L2 | 0.382 ± 0.005 | 0.382 ± 0.010 | 0.480 ± 0.007 |
L3 | 0.305 ± 0.010 | 0.322 ± 0.010 | 0.127 ± 0.010 |
u1 | 0.3 | – | – |
u2 | 0.3 | – | – |
E0, HJD | 2 459 445.4943(10) | 2 456 528.064(1) | 2 458 803.7153(5) |
ФII | 0.4618 ± 0.0001 | 0.4745 ± 0.0010 | 0.4616 ± 0.0005 |
σ | 0.0076 | 0.0320 | 0.0160 |
Примечание. Ряд элементов не варьировались, их значение соответствует решению, полученному в варианте “b”. Обозначения те же, что в табл. 4. Пояснения см. в тексте. Цифры в скобках для параметра E0 соответствуют погрешности последних знаков.
Орбита в системе вращается довольно быстро, что видно в обоих вариантах “a” и “b” (табл. 4 и 5). Величина скорости вращения орбиты, полученная попарно для всех трех кривых блеска V1059 Cep, приведена в табл. 6. Строки “1”, “2” и “3” соответствуют величине скорости, которая получается в результате сравнения попарно решений, найденных с использованием кривых блеска 2021 г. и 2012–2013 гг., кривых блеска 2018–2019 гг. и 2012–2013 гг., и кривых блеска 2021 г. и 2018–2019 гг. Величины долготы периастра соответствуют решениям варианта “a” (табл. 4). Строки “4”, “5” и “6” соответствуют решению, которое получено так же, но для варианта “b” (табл. 5).
Таблица 6. Скорость вращения орбиты V1059 Cep
Вариант “a” | Вариант “b” | ||
№ | dω/dt, °/год | № | dω/dt, °/год |
1 | 7.2 ± 0.8 | 4 | 6.9 ± 0.6 |
2 | 5.4 ± 0.8 | 5 | 6.6 ± 0.6 |
3 | 15.6 ± 2.0 | 6 | 7.9 ± 1.5 |
Примечание. Строки “1”, “2” и “3” соответствуют величине скорости, которая получается в результате сравнения попарно решений, найденных с использованием кривых блеска 2021 г. и 2012–2013 гг., кривых блеска 2018–2019 гг. и 2012–2013 гг., кривых блеска 2021 г. и 2018–2019 гг.; Строки “4”, “5”, “6” — то же самое для варианта “b” (см. табл. 5).
Средневзвешенная величина скорости вращения линии апсид по всем полученным значениям:
(1)
что дает апсидальный период U = 50.7±2.8 лет.
5. Спектральные классы и температуры компонентов системы
В диапазоне указанных в каталогах [12, 13] величин температуры находятся звезды спектрального класса от B9 V до B6.5 V с массой от 2.5 до 4 [15]. Оценить разницу в температуре главного и вторичного компонентов можно, используя отношение их поверхностных яркостей: J1/J2 = = (L1r22)/(L2r12). Решения кривых блеска 2018–2019 и 2021 гг. (табл. 2) показало, что отношение J1 /J2 отличается от решения “1” не более, чем на 3%. Компоненты изучаемой двойной системы — это звезды с близкими физическими характеристиками.
Согласно формуле Планка,
(2)
разница температуры между звездами-компонентами получается не более 200 K. Учитывая температурный интервал и разницу температуры между компонентами, их массы не должны отличаться более, чем на 5%.
6. Теоретическая скорость вращения линии апсид и значение параметра внутренней структуры звезд k2
Отношение орбитального периода к апсидальному периоду можно представить в виде суммы:
(3)
релятивистская часть этого уравнения вычисляется по формуле [19]:
(4)
следовательно, релятивистский компонент скорости вращения равен:
(5)
Вычисление полуоси орбиты в границах предполагаемых масс звезд (см. выше) проведено с использованием третьего закона Кеплера. Величина релятивистского компонента скорости получилась в 50 раз меньше, чем наблюдаемое значение скорости:
(6)
Классический компонент Porb /Ucl [20, 3, 21, 17, 22, 1, 2], вызванный искажением формы компонентов, вычисляется по формулам, в которые входят параметры внутренней структуры k2i:
(7)
В этих формулах параметры Ci определяются геометрическими и физическими характеристиками двойной системы:
(8)
Функции f (e) и g(e) в уравнении (8) следующие:
где ωa,i — угловая скорость осевого вращения компонента i, ωorb — угловая скорость орбитального вращения. Если имеет место синхронизация осевого вращения и обращения по орбите, то мы считаем, что равны скорости осевого вращения звезды и ее орбитального движения в периастре [23]:
(9)
Сделаем предположение, что синхронизация скоростей звезд в системе уже наступила, и вычислим значения Ci . Это предположение мы проверим далее, сравнивая вычисленное время жизни системы со временем, необходимым для синхронизации скоростей [24, 25].
Предположим, что наблюдаемое значение скорости движения линии апсид полностью совпадает с теоретическим. После вычитания релятивистского компонента в уравнении (5) из наблюдаемой величины скорости в уравнении (1) остаток величины — это классический компонент скорости вращения орбиты в уравнении (7). Из уравнения (5) можно вычислить среднее значение параметров внутренней структуры звезд, и . Отличие этих значений между собой несущественно в рамках достижимой точности наших измерений, так как звезды очень близки по своим параметрам. Поэтому будем считать, что . После всех необходимых вычислений, используя параметры звезд для вариантов “a” и “b” (табл. 2), среднее значение k2 получилось равным:
(10)
ошибка величины k2 вычислена с учетом ошибок всех параметров, которые использованы при вычислении.
7. Большая полуось орбиты, радиусы звезд, время жизни системы
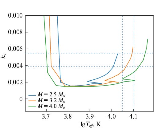
Эволюционные треки звезд с солнечным химическим составом (X = 0.7, Z = 0.02 [4]) представлены на рис. 3, где показана зависимость k2(Teff). Как видно из рисунка, значениям k2 и интервалу предполагаемой эффективной температуры Teff = 11 100–12 680 K удовлетворяют звезды спектрального класса B8 V–B7 V с массами в диапазоне от 3 до 3.7. Большая полуось орбиты системы a = (14.8±0.5) (из третьего закона Кеплера), абсолютные радиусы составляют R1obs = (3.4 ± 0.2) и R2obs = (3.6 ± 0.2), для их вычисления использованы значения относительных радиусов звезд из табл. 2 (“a” и “b”). Сравним полученные значения радиусов с их теоретическими величинами на разных стадиях жизни звезд. Таблицы в работе [4] не содержат радиуса звезды, поэтому мы его вычислим с использованием формулы Стефана–Больцмана, которая позволяет связать светимость, радиус и температуру звезды:
(11)
где для вычисления теоретических радиусов log(R/) для рис. 4 величины светимостей log(L/) и температур log(Teff /) взяты из работы [26]. Изменение радиуса в зависимости от возраста звезды представлено на рис. 4. На рис. 5 приведены зависимости параметра k2 от возраста. Только звезды с массой M = (3.4±0.3) спектрального класса B7 V–B7.5 V, время жизни которых составляет t = (1.8±0.3)×108 лет (табл. 7), имеют параметры, которые согласуются со всеми перечисленными графиками.
Рис. 3. Зависимость коэффициента k2 от температуры звезды. Показаны теоретические эволюционные треки для звезд с массами 2.5, 3.2, 4.0 [26]. Пунктирными линиями показаны границы параметра k2, найденные из наших наблюдений, а также эффективные температуры звезд Teff из каталогов [12, 18].
Рис. 4. Зависимость радиуса звезды от ее возраста. Теоретические эволюционные треки для звезд с массами 2.5, 3.2, 4.0 вычислены с использованием формулы (11). Параметры для вычисления радиусов взяты из работы [26]. Пунктирными линиями показаны границы радиуса, соответствующие относительным радиусам звезд из табл. 5 и большой полуоси, вычисленной по третьему закону Кеплера.
Рис. 5. Зависимость коэффициента k2 от возраста звезды. Показаны теоретические эволюционные треки для звезд с массами 2.5, 3.2, 4.0 [26]. Пунктирными линиями показаны границы параметра k2, найденные из наших наблюдений.
Таблица 7. Физические характеристики звезд в системе, вычисленные в предположении равенства теоретической и наблюдаемой скоростей вращения линии апсид
Параметр | Главный компонент | Вторичный компонент |
Спектр | В6.5V–B7V | B6.5V–B7V |
Teff, K | 11 900–12 600 | 11 900–12 600 |
M, | 3.3 ± 0.2 | 3.3 ± 0.2 |
R, | 3.4 ± 0.2 | 3.6 ± 0.2 |
k2 | 0.0047 ± 0.0008 | 0.0047 ± 0.0008 |
Возраст, 108 лет | 1.8 ± 0.3 | 1.8 ± 0.3 |
log g, см/с2 | 3.75 ± 0.25 | 3.75 ± 0.25 |
Примечание. Teff — эффективная температура, M — масса, R — радиус, k2 — параметр, характеризующий концентрацию вещества звезды к центру, g — ускорение свободного падения на поверхности звезды.
8. Время синхронизации между осевым и орбитальным вращением в системе
Вычисление параметра внутренней структуры (k2 = 0.0047±0.0008) было сделано в предположении синхронизации осевого и орбитального вращения звезд. Время синхронизации скоростей каждого из компонентов можно вычислить по формуле [25]:
(12)
где R и M — радиус и масса звезды в абсолютных величинах, q = Manother/M, Manother — масса другой звезды в двойной системе, G — гравитационная постоянная, I — момент инерции звезды [26], E2 — коэффициент приливного механизма в звезде, приводящий к синхронизации вращения (он равен (Rcore /R)8, Rcore — радиус конвективного ядра звезды, соответствующий нулевому возрасту; коэффициенты E2 вычислены для различных масс звезд в работе E2 = 4.72×10–8 [24], в вычислениях используется величина для звезды с массой 3).
Вычисления по формуле (12) дали оценку времени синхронизации скоростей звезд в системе 106 лет, что на два порядка меньше, чем оценка времени жизни системы (табл. 7).
9. Моменты минимумов и эфемериды звезды
Наряду с параметрами звезд и элементами орбиты в используемой нами программе минимизации вычисляется момент главного минимума, а также предусмотрен алгоритм получения момента вторичного минимума [9, 10]. В табл. 8 приведены рассчитанные нами моменты минимумов V1059 Cep в 2013, 2019 и 2021 гг.
Таблица 8. Моменты минимумов кривых блеска V1059 Cep, полученные в данной работе
Моменты минимумов, HJD2400000+ | (O – C)lin, сут | (O – C)nl, сут | Тип минимума |
6528.064 | 0.000 | –0.0014 | I |
56 529.2826 | 0.000 | 0.0040 | II |
59 445.4943 | 0.000 | 0.0000 | I |
59 449.2310 | 0.000 | 0.000 | II |
58 803.7153 | 0.0045 | 0.0003 | I |
Примечание. Обозначено: I — главные, II — вторичные минимумы. (O – C)lin — разность между наблюдаемыми O моментами минимумов и линейными эфемеридами C по формулам (13) и (14), (O – C)nl — то же самое для нелинейных эфемерид согласно (15) и (16).
Если представить эфемериды как линейную функцию времени, то формулы вычисления моментов минимумов (E — количество орбитальных циклов от начальной эпохи) будут такими:
(13)
(14)
Движение линии апсид звезды быстрое, поэтому вычисленный таким образом момент минимума может на несколько десятков минут отличаться от истинного. Гораздо точнее можно вычислить моменты минимумом по формулам:
(15)
(16)
В табл. 8 приведены моменты минимумов изучаемых в работе кривых блеска V1059 Cep и разности между наблюдаемыми моментами и моментами, вычисленными при помощи эфемерид (13) и (14), (15) и (16).
10. Третий свет в системе
Элементы, полученные из анализа кривых блеска (табл. 2), содержат третий свет L3 (L1 + L2 + L3 = 1), величина которого составляет ≈ 0.3 от полной светимости системы. Решение для ректифицированной кривой (процедура ректификации описана в работе [17]) для всех элементов, включая третий свет, не вышло за границы значений, определяемых диапазоном найденных величин в вариантах “a” и “b” табл. 2. После процедуры ректификации кривой блеска величина третьего света не изменилась и осталась очень большой (около 0.3 от общей светимости объекта). Присутствием в кадре близко расположенной звезды-соседки потенциально можно было бы объяснить только половину третьего света, найденного из анализа кривых блеска 2021 г. (оценка основана на блеске этой звезды в каталоге USNO B1.0, см. табл. 1).
Звезда-соседка (табл. 1) находится в 6″ от изучаемого объекта. Радиус апертуры составляет 4–5 пикселей (размер пикселя ≈ 9″), поэтому свет звезды-соседки не присутствует в кривой блеска V1059 Cep. Если использовать данные каталога USNO B1.0, то с учетом звездной величины V1059 Cep в фильтре величина третьего света соответствует звезде приблизительно 15.7m.
Природа объекта-источника L3 и его потенциальная связь с изучаемой двойной системой пока неясны. Возможно, в будущем кривая лучевых скоростей системы могла бы помочь дать ответ на эти вопросы.
11. Заключение
У звезды V1059 Cep довольно быстрое движение линии апсид: скорость движения долготы периастра, вычисленная на основании анализа трех кривых блеска, полученных с 2012 по 2021 годы, составляет dω/dt = 7.1°±0.4°/год. Как показали решения кривых блеска, в системе вращаются две почти одинаковые звезды, разница температур которых не превышает 200 K. Предположение о равенстве наблюдаемой и теоретической скоростей вращения орбиты позволило найти физические характеристики обоих компонентов системы. Только звезды узкого диапазона спектральных классов B7 V–B7.5 V с массой M = (3.4 ± 0.3) и с температурами, лежащими в интервале 11 200–12 100 K, возраст которых достиг t = 180 ± 30 млн лет, имеют такие параметр k2 и радиус R, которые не противоречат полученному результату.
На данном этапе жизни звезды скорости осевого вращения и обращения по орбите полностью синхронизованы. Время синхронизации для данной системы вычислено, согласно теории из работы [25], и составляет один миллион лет.
При появлении дополнительной информации о звездах-компонентах системы, например, о спектральном классе или температуре, можно будет проверить, согласуются ли теоретическое и наблюдаемое значения скорости вращения орбиты. Одним из вариантов решения кривых блеска является набор параметров, в котором главный, более массивный и горячий компонент имеет радиус на 15% меньше, чем вторичный. Если в системе реализуется именно этот вариант, то текущая стадия жизни звезды — это стадия Алголя с возрастом гораздо большим, чем тот, который мы получили в данной работе.
В нашем решении очень большая доля светимости системы приходится на третий свет, его доля составляет ≈0.3 от общей светимости. Это столько же, сколько имеет каждая из звезд двойной системы. Будущие исследования покажут, связан ли этот объект гравитационно с двойной системой и является ли этот объект звездой. Система V1059 Cep очень интересна и заслуживает последующего пристального изучения.
Авторы благодарят анонимного рецензента за ценные замечания.
1 Астрономические инструменты, http://www.astrosib.ru/rc_500_rus.html
2 Mathis Instruments, https://www.mathis-instruments.com/Products/Forks.html
3 Данные можно получить на сайте https://irsa.ipac.caltech.edu/cgi-bin/Gator/nph-scan?mission=irsa&submit=Select&projshort=ZTF
4 Фильтр R в проекте ZTF узкий и отличается от кривой пропускания стандартных R Козинса и Бесселя. При этом эффективная длина волны близка к leff этих фильтров. Так как мы не приводим величин звезды в стандартной системе, а используем только относительные величины, то для вычисления параметров звезд важен лишь коэффициент покраснения к краю. Поскольку эффективные длины волн практически одинаковы, то и коэффициенты потемнения будут близкими к значениям для других фильтров R.
Об авторах
В. С. Козырева
Московский государственный университет им. М. В. Ломоносова, Государственный астрономический институт им. П. К. Штернберга
Email: boa@astrin.uz
Россия, Москва
Ф. Б. Хамракулов
Астрономический институт им. Улугбека, Академия наук Узбекистана; Самаркандский государственный университет
Email: boa@astrin.uz
Узбекистан, Ташкент; Самарканд
О. А. Бурхонов
Астрономический институт им. Улугбека, Академия наук Узбекистана; Самаркандский государственный университет
Автор, ответственный за переписку.
Email: boa@astrin.uz
Узбекистан, Ташкент; Самарканд
А. И. Богомазов
Московский государственный университет им. М. В. Ломоносова, Государственный астрономический институт им. П. К. Штернберга
Email: boa@astrin.uz
Россия, Москва
Б. Л. Сатовский
Государственная корпорация “Роскосмос”
Email: boa@astrin.uz
Россия, Москва
Список литературы
- A.M. Черепащук, Тесные двойные звезды (М.: Физматлит, 2013).
- A.M. Cherepashchuk, Astron. Rep. Suppl. 66(S1), S5 (2022).
- T.E. Sterne, Monthly Not. Roy. Astron. Soc. 99, 662 (1939).
- A. Claret and A. Gimenez, Astron. and Astrophys. Suppl. Ser. 96, 255 (1992).
- K.F. Khaliullin and A.I. Khaliullina, Monthly Not. Roy. Astron. Soc. 382, 356 (2007).
- E.G. Lapukhin, S.A. Veselkov, and A.M. Zubareva, Peremennye Zvezdy. Prilozhenie 15(8), 1 (2015).
- S. Ehgamberdiev, Nature Astron. 2, 349 (2018).
- D.G. Monet, S.E. Levine, B. Canzian, H.D. Ables, et al., Astron. J. 125(2), 984 (2003).
- V.S. Kozyreva and A.I. Zakharov, Astron. Letters 27(11), 712 (2001).
- V.S. Kozyreva and A.I. Zakharov, Astron. Letters 32(5), 313 (2006).
- A.I. Khaliullina and K.F. Khaliullin, Soviet Astron. 28, 228 (1984).
- F. Anders, A. Khalatyan, C. Chiappini, A.B. Queiroz et al., VizieR On-line Data Catalog: I/349 (2019).
- A.G.A. Brown, A. Vallenari, T. Prusti, J.H.J. de Bruijne et al., Astron. and Astrophys. 649, id. A1 (2021).
- В.Л. Страйжис, Звезды с дефицитом металлов (Вильнюс: Мокслас, 1982).
- V. Straizys, Observatory 103, 223 (1983).
- W. van Hamme, Astron. J. 106, 2096 (1993).
- Д.Я. Мартынов, Затменные переменные звезды, под ред. В.Р. Цесевича (М.: Наука, 1971).
- E.C. Bellm, S.R. Kulkarni, M.J. Graham, R. Dekany, et al., Publ. Astron. Soc. Pacific 131(995), 018002 (2019).
- T. Levi-Civita, American J. Mathematics 59, 225 (1937).
- H.N. Russell, Monthly Not. Roy. Astron. Soc. 88, 641 (1928).
- М.С. Зверев, Б.В. Кукаркин, Д.Я. Мартынов, П.П. Паренаго, Н.Ф. Флоря, В.П. Цесевич, Переменные звезды, т. III (М.-Л.: Глав. ред. физ.-мат. литературы, 1947).
- Z. Kopal, Dynamics of close binary systems (Dordrecht, 1978).
- P. Swings, Zeitschrift für Astrophysik 12, 40 (1936).
- J.P. Zahn, Astron. and Astrophys. 41, 329 (1975).
- J.P. Zahn, Astron. and Astrophys. 57, 383 (1977).
- A. Claret and A. Gimenez, Astron. and Astrophys. Suppl. Ser. 81(1), 37 (1989).
Дополнительные файлы







