Gnevishev-Ohl rule: current status
- Authors: Nagovitsyn Y.A.1,2, Osipova A.A.1, Ivanov V.G.1
-
Affiliations:
- Central Astronomical Observatory of Russian Academy of Sciences at Pulkovo
- State University of Aerospace Instrumentation
- Issue: Vol 101, No 1 (2024)
- Pages: 56-64
- Section: Articles
- URL: https://ogarev-online.ru/0004-6299/article/view/261218
- DOI: https://doi.org/10.31857/S0004629924010069
- EDN: https://elibrary.ru/LFIJNC
- ID: 261218
Cite item
Full Text
Abstract
A statistical study of the statements of the Gnevyshev—Ohl rule (GOR) and of some its interpretations has been carried out. The original formulation of the GOR states that for the summary index of solar activity over the 11-year cycle SW, there is a close connection in pairs of an even and the subsequent odd cycles (EO), while opposite pairs (OE) exhibit no such connection. This statement strictly holds with the significance level a = 0.01, for the new version of the sunspot index SN 2.0 (Wolf numbers). In this case, an even cycle is followed by an odd one with a greater SW. For amplitudes of cycles the GOR is observed only as a trend, and the difference of connections in pairs of cycles EO and OE is statistically insignificant. The alternation of the cycle magnitude, both for the parameter and the amplitudes, is also not statistically confirmed. It has been found that various aspects of the GOR are statistically better fulfilled for the new version of the sunspot index SN 2.0, which speaks in favor of further use of this index in solar physics.
Keywords
Full Text
1. ВВЕДЕНИЕ
После длительных (с 1826 г.) регулярных любительских наблюдений Г. Швабе к 1845 г. обнаружил цикличность появления пятен на Солнце. Р. Вольф организовал службу дальнейших профессиональных наблюдений [1] и систематизировал ранние архивные записи, подтвердив это открытие. Вольф ввел количественный показатель активности, названный “числом Вольфа” (или позднее — “относительным числом пятен”, сейчас — просто “числом пятен”). Он определил средний период солнечного цикла 11.1 года, а также ввел нумерацию циклов, так что нулевым стал цикл, имеющий максимум в 1750 г. Известный норвежский математик Д. Кортевег (соавтор известного уравнения Кортевега-де Фриза) в работе [2] заметил, что картине цикличности могут соответствовать два типа циклов, имеющих два разных периода. (В скобках добавим, что в этой же статье Кортевег пишет, что более длинным периодам должны соответствовать меньшие амплитуды, предвосхищая суть эффекта Вальдмайера [3], а также отвергает связь цикличности с обращениями планет вокруг Солнца).
Дж. Хэйл после открытия в 1908 г. магнитного поля пятен [4] обнаружил, что в двух соседних 11-летних циклах изменяется характер полярности биполярных групп пятен, так что циклы как бы чередуются в общем 22-летнем цикле. Тернер [5] утверждал, что первую половину такого цикла образует нечетный цикл цюрихской нумерации (установленной Р. Вольфом) — больший и более короткий, вторую — четный. Различия четных и нечетных циклов рассматривались также Г. Людендорфом [6] и М. Вальдмайером [3].
В 1948 г. М. Н. Гневышев и А. И. Оль опубликовали работу [7], в которой был сформулирован результат, в дальнейшем названный “Правилом Гневышева—Оля” (ПГО). Они рассмотрели новый параметр — сумму чисел Вольфа за 11-летний цикл (полную энергию цикла) SW. К этому времени уже имелся материал за 21 цикл, начиная с 1700 г. Образовав пары четный-последующий нечетный и нечетный-последующий четный циклы, они обнаружили, что в первом случае коэффициент корреляции Пирсона составляет R = 0.91 ± 0.106 (при одном исключении: пары №№ 4–5), а во втором R = 0.50 ± 0.24. Ввиду явной разницы авторы заключили, что “22-летний цикл начинается четным циклом относительно малой величины, после которого следует нечетный больший цикл, величина которого определяется предыдущим циклом, что указывает на тесную физическую связь между ними”.
Несмотря на достаточно ясную формулировку, ПГО породило целый ряд интерпретаций и толкований в литературе. Рассмотрим их ниже.
Сделаем замечание о данных наблюдений и временных рядах. До июня 2015 г. исследователи пользовались “старой” версией чисел Вольфа, называемой сейчас версией 1.0. В настоящее время официальной считается версия 2.0, введенная в работах [8, 9]. В нашей статье для всех статистических исследований мы будем использовать обе версии среднегодовых чисел Вольфа (чисел пятен, как их часто сейчас называют) с 1700 г. по настоящее время, которые можно найти на сайте SILSO [10]. Этот диапазон соответствует номерам циклов с -4 по 24, т.е. включает последний завершившийся цикл.
2. РАЗЛИЧНЫЕ ИНТЕРПРЕТАЦИИ ЭФФЕКТА ГНЕВЫШЕВА—ОЛЯ
Мы употребили в названии раздела слово “эффект”, поскольку разные авторы по-разному интерпретируют результат [7]. И это не должно вызывать удивления: затронутые в ПГО свойства цикличности кажутся весьма важными как для понимания ее физических основ, так и для прогнозирования ее уровня за несколько лет до максимума цикла.
Большая группа авторов обращает внимание на слова статьи [7] о том, что за четным циклом следует относительно больший нечетный, но под словом “больший” имеет в виду максимумы (амплитуды) циклов WM (см. [11, 12, 13, 14, 15, 16, 17, 18, 19, 20, 21, 22, 23] и др.). Данная трактовка рассматривает амплитуду циклов как определяющую характеристику в ПГО. Однако амплитуда — это показатель, описывающий очень важную, но единственную точку цикла. Используемые трактовки включают, например, следующие формулировки: “заметная тенденция для циклов солнечных пятен с нечетными (четными) номерами иметь амплитуды выше (ниже) их среднего значения” [11, 12, 13], “за четными солнечными циклами следуют более высокие по амплитуде нечетные циклы” [14], “четный цикл солнечных пятен всегда сменяется более интенсивным нечетным” [23]. Сюда же примыкают работы, в которых говорится о чередовании высоты циклов [24, 25, 26, 27].
Некоторые авторы используют те же величины, что и Гневышев и Оль, т. е. суммы W за цикл, и тоже говорят о большей или меньшей величине в зависимости от четности (см. [28, 29, 30, 31, 32] и др.). Примеры таких трактовок: “сумма чисел солнечных пятен для нечетного цикла превышает сумму чисел предыдущего четного цикла” [28], “сумма чисел солнечных пятен за нечетный 11-летний цикл солнечных пятен превышает сумму чисел предыдущего четного цикла” [29], “сумма чисел солнечных пятен за нечетный цикл превышает сумму чисел за предыдущий четный цикл” [30], “количество солнечных пятен в нечетном цикле превышает количество пятен в предыдущем четном цикле” [31].
Указанные утверждения — качественные. Проверим их количественно для обеих имеющихся версий чисел Вольфа (их в дальнейшем мы будем отмечать верхним индексом переменных). Следуя Гневышеву и Олю [7], будем удалять здесь и во всей нашей работе пару циклов 4 и 5 при рассмотрении зависимостей между четным и последующим нечетным циклами. Вначале найдем значимость разности D у каждой из величин WM и SW для нечетного O и предыдущего четного цикла E (обозначим такую последовательность EO в нижнем индексе) с помощью критерия Стьюдента. Найдем экспериментальные значения t:
(1)
Аналогично проделаем для сопряженных пар нечетный-последующий четный цикл:
(2)
Критические значения для числа степеней свободы N – 1 составляют при уровне значимости α = 0.05 tcrit = 2.18 и при α = 0.001 tcrit = 3.05. Таким образом, из выражений (1), (2) можно заключить: утверждение ПГО, что за четным 11-летним циклом следует больший нечетный, подтверждается для параметра суммарной энергетики циклов SW на интервале 1700–2022 гг. на высоком уровне значимости: не меньше α = 0.01. Это заключение также не отвергается для параметра амплитуд, но на меньшем уровне достоверности 1 – a = 0.95. Заключение о чередовании амплитуд соседних циклов статистически опровергается.
Далее, в ряде работ фиксируется тот факт, что соседние циклы образуют пару — 22-летний цикл, т.е. подтверждают результат Тернера с тем отличием, что Гневышев и Оль указали правильную последовательность циклов в паре: четный-последующий нечетный. В частности, это утверждают авторы работ [33, 34, 35, 36, 37], отмечая, что суммарные числа Вольфа за нечетный цикл выше чем в предшествующий четный.
Сравнительно небольшое число авторов обращают внимание на важнейший с нашей точки зрения результат ПГО: сильную связь суммарных индексов активности в паре четный-последующий нечетный цикл и слабую в паре нечетный-последующий четный цикл [38, 39, 40, 41, 42, 43, 44].
Задача нашей работы — уточнение корректной формулировки ПГО на основе современных данных.
3. СВЯЗИ В СОСЕДНИХ 11-ЛЕТНИХ ЦИКЛАХ И ПРАВИЛО ГНЕВЫШЕВА—ОЛЯ
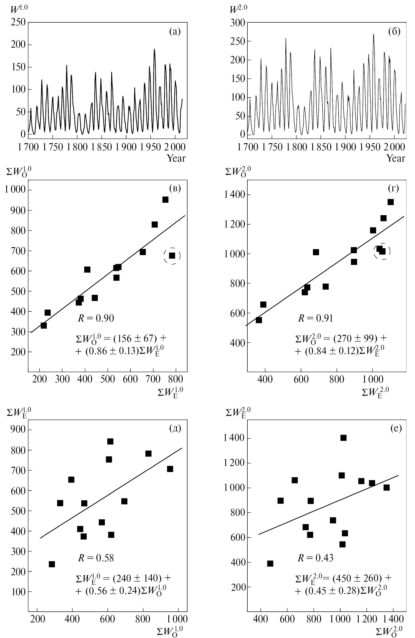
Со времени публикации [7] прошло 75 лет, проявились 6 новых 11-летних циклов. Кроме того, как мы уже упоминали, вместо старой версии чисел Вольфа, названной версией 1.0, появилась новая версия 2.0 [8, 9]. Рассмотрим результаты ПГО для этих версий (и новых, по сравнению с [7], данных), представленные на рис. 1. В левой части этого рисунка (сверху вниз) приведены версия 1.0 чисел Вольфа и корреляции из четного в последующий нечетный цикл ЧН и наоборот — из нечетного в последующий четный НЧ. В правой — то же самое для версии 2.0. Мы видим, что коэффициенты корреляции для ЧН и НЧ в версии 1.0 различаются, хотя и меньше, чем в [8]. В версии 2.0 эти различия уже больше.
Имеются методы оценки доверительного интервала коэффициента корреляции: “классический” [45]
(N — число пар точек), который использовался в [7], и “современный” — с применением Z-преобразования [46]. К сожалению, область применения обеих этих оценок ограничена большими N (по крайней мере, N > 30), у нас же N = 13 и 14.
Поэтому для выяснения значимости различия связей ЧН и НЧ пойдем несколько другим путем, чем в [7]. Рассмотрим невязки {yi} экспериментальных значений от регрессионных прямых на каждом из рис. 1(в)–(е) как меру тесноты связей. Если дисперсия {yi} для пар ЧН будет значимо меньше, чем для НЧ, мы сможем сказать, что при выбранном уровне значимости связь ЧН более тесная, чем НЧ.
Заметим, что для проведения статистических процедур важно, чтобы сравниваемые ряды имели нормальное распределение. Вначале покажем, что предположение о том, что невязки ординат yi относительно регрессионных прямых (в)–(е) на рис. 1 распределены нормально, не отвергается.
Известный тест для этого — в рамках метода моментов — подсчет асимметрии As и эксцесса Ex распределения величины [47]. Рассчитываются
(3)
(где — среднее значение , s — стандартное отклонение) и сравниваются с дисперсиями
(4)
Для того, чтобы результаты считались распределенными нормально, необходимо
(5)
Из выражений (4) и (5) для N = 13, 14 получаем
(6)
Как и ранее, обозначим нижним индексом Е параметры (3) для четных циклов, О — для нечетных, на месте верхнего индекса обозначим номер версии чисел Вольфа. Произведя расчет для зависимостей, приведенных на рис. 1, получаем
(7)
Сравнивая выражения (6) и (7), мы видим, что условие (5) выполняется для всех случаев. Таким образом, простые тесты моментов на асимметрию и эксцесс не отвергают предположение о том, что невязки между экспериментальными значениями ΣW для 11-летних циклов и регрессионными кривыми на рис. 1 (в)–(е) распределены нормально. Однако и тут мы должны помнить, что проведенный тест является строгим для больших N, и проведенный эксперимент — не более чем “рамочный”.
Более “развитый” тест на нормальность распределений — тест Шапиро–Уилка [48]. Он считается одним из наиболее эффективных критериев проверки нормальности распределений и работает, в частности, для небольших (более 8) N. Этот критерий основан на оптимальной линейной несмещенной оценке дисперсии к ее обычной оценке методом максимального правдоподобия и работает одинаково эффективно и при малых, и при больших объемах выборки. Статистика критерия для упорядоченного возрастающего вариационного ряда имеет вид:
(8)
где s — несмещенная дисперсия, а индекс i изменяется от 1 до N/2 или от 1 до (N – 1)/2 для четного и нечетного N соответственно. Коэффициенты aN-i+i для можно найти, например, в работе [49]. Расчеты по (8) дают:
(9)
Критическое (верхнее) табличное значение для уровня значимости α = 0.05 составляет SWcrit = 0.87. Поскольку все расчетные значения больше критического, тест Шапиро-Уилка для данного уровня значимости показывает, что распределения невязок значений ΣW от регрессионных прямых и для четных, и для нечетных циклов не противоречат предположению об их нормальности.
Теперь мы можем применить мощный F-тест Фишера на отличие дисперсий (в) от (д) и (г) от (е) на рис. 1. Эти (несмещенные) дисперсии составляют:
(10)
Таким образом, получаем
(11)
Критические точки распределения Фишера–Снедекора [50] при N = 13, 14 и числе параметров линейной регрессии k = 2 составляют Fcrit = 2.8 для уровня значимости α = 0.05 и Fcrit = 4.5 для α = 0.01. Сравнивая эти значения с выражением (11), заключаем, что для версии 1.0 различие зависимостей (в) и (д) достигается на 5-процентном уровне значимости, а для версии 2.0 для зависимостей (г) и (е) — даже на 1-процентном.
До сих пор мы говорили о ПГО в терминах дисперсий, в то время как в оригинальной статье этих авторов сравнение связи соседних пар производилось в терминах коэффициентов корреляции. Однако, заметим, что дисперсия и коэффициент корреляции R связаны через так называемый коэффициент детерминации R₂, который определяется как доля дисперсии зависимой переменной, объясняемая рассматриваемой моделью зависимости, причем для линейных зависимостей R2 = R₂. Поэтому выводы, сделанные из рассмотрения дисперсий, могут быть перенесены и на коэффициенты корреляций.
4. ЗНАЧИМОСТЬ КОРРЕЛЯЦИЙ В ПРАВИЛЕ ГНЕВЫШЕВА—ОЛЯ
Еще одним тестированием правила Гневышева—Оля может быть проверка полученных коэффициентов корреляции на значимость. Для этого используют следующий подход [51]. Величина
(12)
имеет распределение Стьюдента с N – 2 степенями свободы. Найдем ее экспериментальные значения:
(13)
Сравнение величин (13) с критическими табличными значениями дает следующий результат. Коэффициенты корреляции четный-последующий нечетный значимы на уровне значимости даже меньше α = 0.0001 для обеих версий чисел Вольфа, в то время как R для пары нечетный-последующий четный циклы незначим уже на уровне α = 0.05.
5. АМПЛИТУДНЫЕ СВЯЗИ И ПРАВИЛО ГНЕВЫШЕВА—ОЛЯ
Как мы уже отмечали, ряд авторов пытались переформулировать ПГО, используя вместо параметра ΣW амплитуды циклов WM. Рассмотрим, насколько статистически строго выполняется это правило в таком случае для корреляционных аспектов. На рис. 2 приведены, подобно рис. 1, соответствующие корреляции для версий 1.0 (левый столбец) и 2.0 (правый).
Тест Шапиро-Уилка дает
(14)
Имея в виду, что при a = 0.05 критическое значение SWcrit = 0.87, получаем, что распределения невязок значений WM от регрессионных прямых и для циклов любой четности не противоречат предположению об их нормальности. Применяя далее F-тест Фишера на отличие дисперсий (а) от (в) и (б) от (г) получаем:
(15)
Таким образом, гипотеза о различии дисперсий для пар EO и OE отвергается уже на уровне значимости a = 0.05, и корреляционный смысл ПГО в амплитудном варианте не подтверждается.
Заметим, что некоторые авторы заявили о нарушении ПГО в паре 22–23 циклов (см., напр., [23, 33, 34, 52, 53]). На рис. 1 (в), (г) и 2 (a), (б) эта пара обведена штрихами. Мы видим, что для амплитуд циклов WM пара действительно имеет наибольшее отклонение от регрессионной прямой (в особенности в версии 1.0). Но для параметра ΣW, входящего в оригинальную формулировку, это отклонение, еще заметное в версии 1.0, практически пропадает в версии 2.0. Проверим последнее утверждение статистически более строго с помощью известного критерия Шовене [54].
Рис. 1. Числа Вольфа: версия 1.0 (a), версия 2.0 (б). Зависимость четный-последующий нечетный цикл для сумм за цикл: версия W1.0 (в), версия W2.0(г), штрихами обозначена пара циклов № 22– №23. Зависимость нечетный-последующий четный цикл для сумм за цикл: версия W1.0 (д), версия W2.0 (е). Прямые линии — регрессии, R — соответствующие коэффициенты корреляции.
Рассмотрим, как и ранее в разделе 3, невязки {yi} экспериментальных значений ΣW на рис. 1 (в), (г) от регрессионных прямых и рассчитаем модуль разности с их средним значением , нормированный на стандартное отклонение s:
(16)
Согласно критерию Шовене, если {yi} распределены нормально, то статистическим выбросом (в нашем случае — отклонением от линейной зависимости) считается точка, для которой di больше критического dc для данного числа степеней свободы. Ранее мы показывали, что распределения {yi} не противоречат предположению о нормальности. При числе степеней свободы N – 2 = 11 и уровня значимости a = 0.05 критическое dc = 2.0. В паре циклов 22–23 для параметра ΣW в версии 2.0 d₂₂‚₂₃ = 1.4, а в версии 1.0 — d₂₂‚₂₃ = 2.0. Таким образом, пара циклов №№ 22–23 для современной версии чисел Вольфа 2.0 по параметру ΣW статистически не нарушает зависимость ЧН, а для версии 1.0 находится на грани выброса.
6. РЕЗУЛЬТАТЫ И ДИСКУССИЯ
В этой статье мы провели статистическое исследование утверждений, содержащихся в ПГО и в некоторых его толкованиях. Мы показали, что ПГО в его оригинальной формулировке для индекса ΣW (суммарной активности за 11-летний цикл), фиксирующее тесную связь в паре четный-последующий нечетный цикл и ее отсутствие в противоположной паре, строго выполняется для современных наблюдательных данных — версии 2.0 чисел пятен (чисел Вольфа) — при уровне значимости α = 0.01. Для версии 1.0 оно также выполняется, но с несколько меньшей достоверностью: для уровня значимости α = 0.05. Правило действует именно для суммарных за цикл значений этого индекса. При этом за четным 11-летним циклом следует нечетный с большим ΣW.
Рис. 2. Зависимость четный-последующий нечетный цикл для амплитуд циклов: версия W1.0 (a), версия W2.0 (б), штрихами обозначена пара циклов №№ 22–23. Зависимость нечетный-последующий четный цикл для амплитуд циклов: версия W1.0 (в), версия W2.0 (г). Прямые линии — регрессии, R — соответствующие коэффициенты корреляции.
Для амплитуд циклов ПГО существует лишь как тенденция, и различие зависимостей пар циклов ЧН и НЧ статистически незначимо. Статистически не подтверждается также чередование величины циклов как для параметра ΣW, так и для WM.
Таким образом, многие толкования ПГО, о которых мы упоминали в разделе 2, лишь качественно характеризуют поведение соседних 11-летних циклов, и только ПГО в точной его формулировке — для параметра суммарной энергетики — не противоречит математической статистике.
Заметим, что, вообще говоря, корреляция, фигурирующая в ПГО как один из основных результатов, еще не означает физическую связь величин. Должны быть дополнительные физические соображения, для которых она является подтверждением. В нашем случае — это закон Хэйла о смене характера полярностей групп солнечных пятен и факт существования 22-летнего цикла. ПГО, таким образом, отвечает на вопрос: какой из циклов в паре соседних начинает цикл Хэйла, оказывается, это — четный цикл. Поскольку связь между нечетным и последующим четным слабая, соседние 22-летние циклы статистически слабо связаны по параметру полной энергетики циклов. Таким образом, мы фиксируем 20–25 летнюю “память” активности.
Однако тут нужно сделать некоторую оговорку. Кроме 22-летнего, на Солнце существуют более длинные циклы: Гляйссберга (80–90 лет) и Зюсса (200–210 лет). Таким образом, существует корреляция поведения магнитного поля Солнца на интервалах 100–200 лет — назовем это “долговременной памятью”, в отличие от “кратковременной”, обусловленной связью, фигурирующей в правиле Гневышева—Оля. Радионуклидные реконструкции солнечной активности на основе изотопов ¹⁴С и ¹⁰Ве говорят о том, что явление долговременной памяти наблюдается, по крайней мере, в течение голоцена — порядка 10 000 лет [55]. Вполне вероятно, что и для длительных циклов возможны эмпирические эффекты типа Гневышева—Оля, но не обязательно в похожей форме. Это требует специального исследования. В качестве предположения можно заметить, что процессу α - ω динамо соответствует 22-летний цикл, а длительные, менее амплитудные, вариации обусловлены каким-то внешним к нему процессом с другой физикой.
В конце статьи заметим, что разобранные в этой статье различные аспекты ПГО статистически лучше выполняются для новой версии 2.0 относительных чисел пятен (чисел Вольфа), что говорит в пользу ее дальнейшего успешного использования для исследований в солнечной физике.
КОНФЛИКТ ИНТЕРЕСОВ
Авторы данной работы заявляют, что у них нет конфликта интересов.
БЛАГОДАРНОСТИ
Авторы благодарят Мировой центр данных WDC-SILSO (Королевская обсерватория Бельгии, Брюссель) [10] за открытую политику использования данных.
About the authors
Yu. A. Nagovitsyn
Central Astronomical Observatory of Russian Academy of Sciences at Pulkovo; State University of Aerospace Instrumentation
Author for correspondence.
Email: nag-yury@yandex.ru
Russian Federation, Saint Petersburg; Saint Petersburg
A. A. Osipova
Central Astronomical Observatory of Russian Academy of Sciences at Pulkovo
Email: nag-yury@yandex.ru
Russian Federation, Saint Petersburg
V. G. Ivanov
Central Astronomical Observatory of Russian Academy of Sciences at Pulkovo
Email: nag-yury@yandex.ru
Russian Federation, Saint Petersburg
References
- R. Wolf, Mitt. Nat. forsch. Ges. Bern 130, 169 (1848).
- D. Korteweg, Sitzungsb. Wiener Akad. 88, Abt II (1883).
- M. Waldmeier, Ergebnisse und Probleme der Sonnenforschung (Leipzig: Geest and Portig, 1955).
- G. E. Hale, Publ. Astron. Soc. Pacific 20, 220 (1908).
- H. Turner, Monthly Not. Roy. Astron. Soc. 74, 82 (1913).
- H. Ludendorff, Zeitschrift für Astrophysik 2, 370 (1931).
- М. Н. Гневышев, А. И. Оль, Астрон. журн. 25, 18 (1948).
- F. Clette, L. Svalgaard, J. M. Vaquero, and E. W. Cliver, Space Sci. Rev. 186(1–4), 35 (2014).
- F. Clette, E. W. Cliver, L. Lefèvre, L. Svalgaard, J. M. Vaquero, and J. W. Leibacher, Solar Physics 291(9–10), 2479 (2016).
- SILSO, World Data Center — Sunspot Number and Long-term Solar Observations, Royal Observatory of Belgium, on-line Sunspot Number catalogue, http://www.sidc.be/SILSO/DATA/SN_y_tot_V2.0.txt .
- P. Charbonneau, Liv. Rev. Solar Physics 2(1), id. 2 (2005).
- P. Charbonneau, Liv. Rev. Solar Physics 7(1), id. 3 (2010).
- P. Charbonneau, Liv. Rev. Solar Physics 17(1), id. 4 (2020).
- M. Temmer, J. Rybák, P. Bendík, A. Veronig, F. Vogler, W. Pötzi, W. Otruba, and A. Hanslmeier, Central European Astrophys. Bull. 30, 65 (2006).
- P. Charbonneau, G. Blais-Laurier, and C. St-Jean, Astrophys. J. 616(2), L₁83 (2004).
- B. Komitov and B. Bonev, Astrophys. J. 554(1), L₁19 (2001).
- A. Özgüç and T. Ataç, New Astronomy 8(8), 745 (2003).
- T. Ataç and A. Özgüç, Solar Physics 233(1), 139 (2006).
- R. P. Kane, Ann. Geophysicae 26(11), 3329 (2008).
- J. Javaraiah, Solar Physics 281(2), 827 (2012).
- A. R. Choudhuri, Indian J. Phys. 88(9), 877 (2014).
- M. Storini and J. Sykora, Contrib. Astron. Observ. Skalnate Pleso 25, 90 (1995).
- S. Duhau, Solar Physics 213(1), 203 (2003).
- A. A. Ruzmaikin, Solar Physics 100, 125 (1985).
- I. Lopes, D. Passos, M. Nagy, and K. Petrovay, Space Sci. Rev. 186(1–4), 535 (2014).
- P. Charbonneau, G. Beaubien, and C. St-Jean, Astrophys. J. 658(1), 657 (2007).
- D. Passos and P. Charbonneau, Astron. and Astrophys. 568, id. A113 (2014).
- G. Usoskin, K. Mursula, and G. A. Kovaltsov, Astron. and Astrophys. 354, L₃3 (2000).
- J. Javaraiah, Monthly Not. Roy. Astron. Soc. 362, 1311 (2005).
- B. Joshi, P. Pant, and P. K. Manoharan, Astron. and Astrophys. 452, 647 (2006).
- F. Stefani, A. Giesecke, and T. Weier, Solar Physics 294, id. 60 (2019).
- B. Joshi, R. Bhattacharyya, K. K. Pandey, U. Kushwaha, and Y.-J. Moon, Astron. and Astrophys. 582, id. A4 (2015).
- D. H. Hathaway, Liv. Rev. Solar Physics 7, id. 1 (2010).
- D. H. Hathaway, Liv. Rev. Solar Physics 12, id. 4 (2015).
- G. Usoskin and K. Mursula, Solar Physics 218, 319 (2003).
- G. Usoskin, K. Mursula, and G. A. Kovaltsov, Astron. and Astrophys. 370, L₃1 (2001).
- M. Temmer, A. Veronig, and A. Hanslmeier, Solar Physics 215, 111 (2003).
- J. Javaraiah, L. Bertello, and R. K. Ulrich, Astrophys. J. 626, 579 (2005).
- G. Usoskin, K. Mursula, and G. A. Kovaltsov, Geophys. Res. Letters 29, id. 2183 (2002).
- J. Li, J. Qiu, T. W. Su, and P. X. Gao, Astrophys. J. 621, L81 (2005).
- Yu. A. Nagovitsyn, E. Yu. Nagovitsyna, and V. V. Makarova, Astron. Letters 35(8), 564 (2009).
- G. Usoskin, G. A. Kovaltsov, and W. Kiviaho, Solar Physics 296, id. 13 (2021).
- K. Petrovay, Liv. Rev. Solar Physics. 17, id. 2 (2020).
- Yu. A. Nagovitsyn and A. A. Osipova, Monthly Not. Roy. Astron. Soc. 505, 1206 (2021).
- A. L. Bowley, J. Amer. Statistical Association. 23, 31 (1928).
- Г. Дёч, Руководство к практическому применению преобразования Лапласа и Z-преобразования. С приложением таблиц, составленных Р. Гершелем (М.: Рипол Классик, 1971).
- Т. А. Агекян, Теория вероятностей для астрономов и физиков (М.: Наука, 1974).
- S. S. Shapiro and M. B. Wilk, Biometrika 52, 591 (1965).
- ГОСТ Р ИСО 5479-2002, Статистические методы. Проверка отклонения распределения вероятностей от нормального распределения (М.: Госстандарт России, ИПК Изд-во стандартов, 2002).
- В. Е. Гмурман, Теория вероятностей и математическая статистика (М.: Высшая школа, 1999).
- N. A. Rahman, A Course in Theoretical Statistics (London: Charles Griffin and Company, 1968).
- Yu. A. Nagovitsyn and A. A. Osipova, Geomagnetism and Aeronomy 58, 1103 (2018).
- N. V. Zolotova and D. I. Ponyavin, Geomagnetism and Aeronomy 55, 902 (2015).
- J. R. Taylor, An Introduction to Error Analysis (Sausolito, California: University Science Books, 1997).
- C. J. Wu, I. G. Usoskin, N. Krivova, G. A. Kovaltsov, M. Baroni, E. Bard, and S. K. Solanki, Astron. and Astrophys. 615, id. A93 (2018).
Supplementary files




