GRAVITATIONAL CAPTURE AS A POSSIBLE SCENARIO ORIGIN OF THE MOON
- Authors: Tutukov A.V.1, Dremova G.N.2, Dremov V.V.2
-
Affiliations:
- Institute of Astronomy of the Russian Academy of Sciences
- Russian Federal Nuclear Center
- Issue: Vol 100, No 11 (2023)
- Pages: 1103-1118
- Section: Articles
- URL: https://ogarev-online.ru/0004-6299/article/view/148100
- DOI: https://doi.org/10.31857/S0004629923110117
- EDN: https://elibrary.ru/FZCDAQ
- ID: 148100
Cite item
Full Text
Abstract
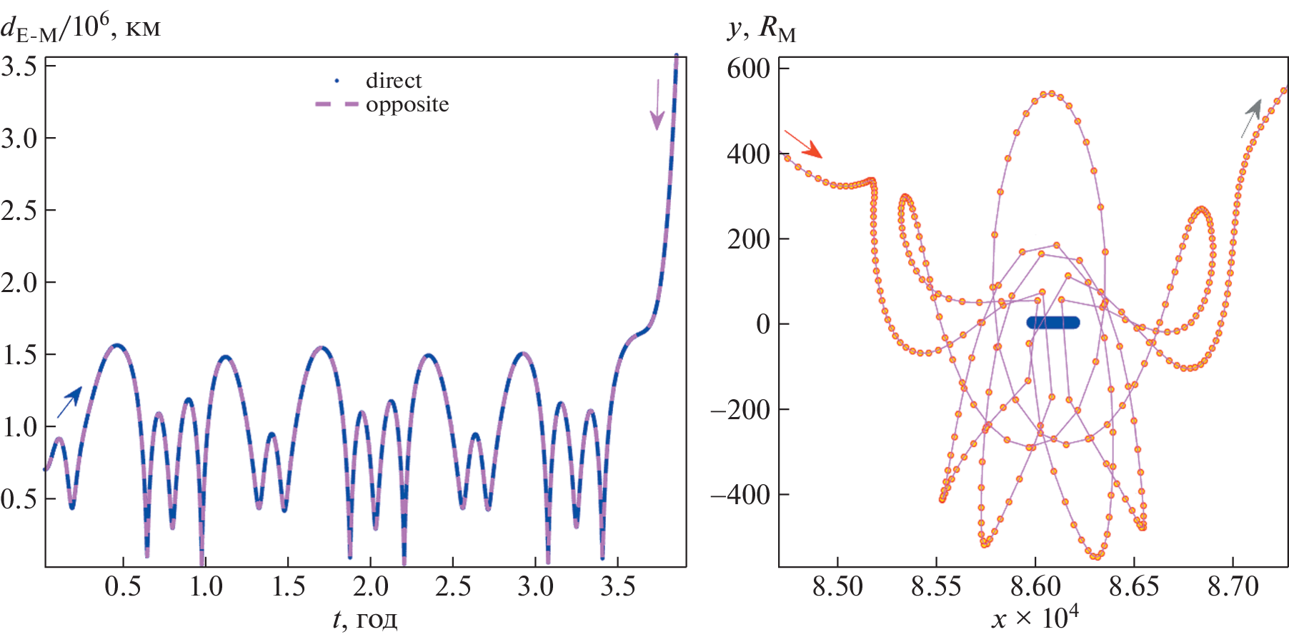
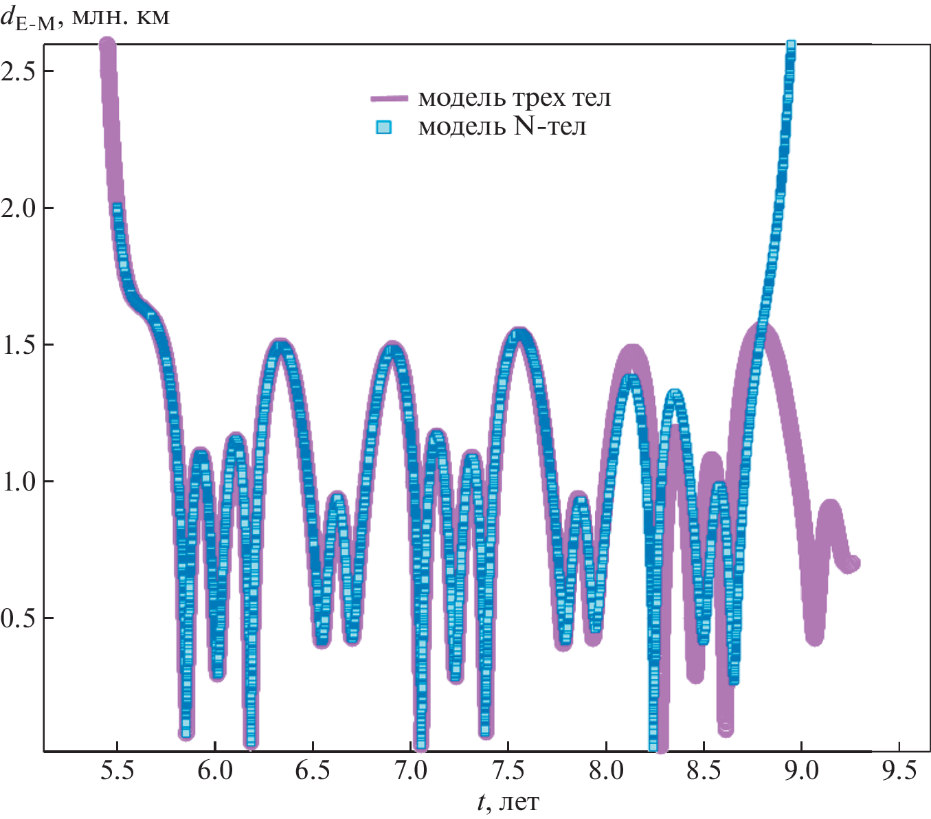
The article is devoted to the problem of the origin of the Moon. Discussed modern scenarios for the formation of the Earth-Moon system: simultaneous formation of the Earth and the Moon in the circumsolar gas of dust disk; impact partial destruction of the Earth by a massive asteroid; gravitational capture of the Moon by the Earth; destruction of the double moon at the beginning when approaching the Earth with possible subsequent absorption components of smaller mass by the Earth. We offer two-stage scenario of gravitational capture of the Moon by the Earth in the early stages Solar system. In the first stage, using a hybrid numerical model in the formulation of the three-body problem (Sun, Earth and Moon) and N-bodies, the search and selection of temporary orbits of the Moon around the Earth is carried out. Using the backward integration method in the formulation N-body problem, the influence of tidal forces on pumping of orbital moment of the Moon (\(P_{{{\text{orb}}}}^{M}\)) relative to the Earth at its own moment \(P_{s}^{M}\) is estimated. As the simulation shows, actions tidal forces alone are not enough to capture the Moon by the Earth in a short time time scale \( \sim 100\) years (\(\Delta P_{s}^{M} \sim {{10}^{{ - 6}}}P_{{{\text{orb}}}}^{M}\)). At the second stage, the factor is taken into account viscous-dissipative environment leading to additional “slowing down” of the Moon, due, for example, to collisions with asteroids and the transition of tidal energy into heat, which helps the Moon get rid of excess kinetic energy and gain constant orbit around the Earth.
Keywords
About the authors
A. V. Tutukov
Institute of Astronomy of the Russian Academy of Sciences
Author for correspondence.
Email: atutukov@inasan.rssi.ru
Russia, Moscow
G. N. Dremova
Russian Federal Nuclear Center
Author for correspondence.
Email: G.N.Dryomova@mail.ru
Russia, Chelyabinsk region, Snezhinsk
V. V. Dremov
Russian Federal Nuclear Center
Author for correspondence.
Email: V.V.Dryomov@vniitf.ru
Russia, Chelyabinsk region, Snezhinsk
References
- A. V. Tutukov, Soviet Astron. 31, 663 (1987).
- М. Маров, Космос от солнечной системы вглубь Вселенной (М.: Физматлит, 2016).
- М. Я. Маров, И. И. Шевченко, Успехи физ. наук 190 (9), 897 (2020).
- M. Reggiani, M. R. Meyer, G. Chauvin, A. Vigan, et al., Astron. and Astrophys. 586, id. A147 (2016).
- C. Clanton and B. S. Gaudi, Astrophys. J. 834 (1), id. 46 (2017).
- A. В. Тутуков, Г. Н. Дремова, В. В. Дремов, Астрон. журн. 97 (11), 939 (2020).
- B. J. Fulton, L. J. Rosenthal, L. A. Hirsch, H. Isaacson, et al., Astrophys. J. Suppl. 255 (1), id. 14 (2021).
- E. Kruse, E. Agol, R. Luger, and D. Foreman-Mackey, Astrophys. J. Suppl. 244 (1), id. 11 (2019).
- M. G. MacDonald, R. I. Dawson, S. J. Morrison, E. J. Lee, and A. Khandelwal, Astrophys. J. 891 (1), id. 20 (2020).
- А. Масевич, А. Тутуков, Эволюция звезд: теория и наблюдения (М.: Наука, 1988).
- K. Baka and E. Schlawin, arXiv:2111.12688 [astro-ph.EP] (2021).
- T. Stolker, S. Y. Hafferts, A. Y. Kesseli, R. J. van Holstein, et al., Astron. J. 162 (6), id. 286 (2021).
- V. Dobos, S. Charnoz, A. Pal, A. Roque-Bernard, and G. M. Szabó, Publ. Astron. Soc. Pacific 133 (1027), id. 094401 (2021).
- А. В. Тутуков, А. В. Федорова, Астрон. журн. 88 (5), 419 (2011).
- G. H. Darwin, Philosoph. Transactions Roy. Soc. London. 171, 713 (1880).
- G. H. Darwin, Nature 34, 287 (1886).
- G. Birkhoff, D. P. MacDougall, E. M. Pugh, and G. Taylor, J. Appl. Phys. 19, 563 (1948).
- W. K. Hartmann and D. R. Davis, Icarus 24 (4), 504 (1975).
- W. Benz, W. L. Slattery, and A. G. W. Cameron, Icarus 66 (3), 515 (1986).
- R. M. Canup and E. Asphaug, Nature 412 (6848), 708 (2001).
- H. Alfvén and G. Arrhenius, Moon 5 (1–2), 210 (1972).
- R. M. Canup, in: 50th Lunar and Planetary Science Conference, held 18–22 March, 2019 at The Woodlands, Texas; LPI Contribution № 2132, id. 2044 (2019).
- E. M. Galimov and A. M. Krivtsov, Origin of the Moon. New Concept: Geochemistry and Dynamics (Berlin: De Gruyter, 2012).
- N. Dauphas, C. Burkhardt, P. Warren, and F.-Z. Teng, Philosoph. Transactions Roy. Soc. A372, id. 2013.0244 (2014).
- R. M. Canup, K. Righter, N. Dauphas, K. Pahlevan, et al., arXiv:2103.02045 [astro-ph.EP] (2021).
- Т. Си, Новые Идеи в Астрономии (непериод. изд‑е), Сб. 3, 19 (1914).
- M. uk and S. T. Stewart, Science 338 (6110), 1047 (2012).
- S. J. Lock, S. T. Stewart, M. I. Petaev, S. B. Jacobsen, in: 50th Lunar and Planetary Science Conference, held 18–22 March, 2019 at The Woodlands, Texas; LPI Contribution № 2132, id. 1784 (2019).
- K. Pahlevan and D. J. Stevenson, Earth and Planet. Sci. Lett. 262 (3–4), 438 (2007).
- S. J. Lock, S. T. Stewart, M. I. Petaev, Z. Leinhardt, M. T. Mace, S. B. Jacobsen, and M. M. uk, J. Geophys. Res. Planets 123 (4), 910 (2018).
- Е. Л. Рускол, Астрон. журн. 37, 690 (1960).
- О. Ю. Шмидт, Четыре лекции о теории происхождения Земли, 2-е изд-е (М.: Изд-во АН СССР, 1949).
- А. В. Витязев, Г. В. Печерникова, В. С. Сафронов, Планеты земной группы. Происхождение и ранняя эволюция (М.: Наука: Физматлит, 1990).
- V. V. Svetsov, G. V. Pechernikova, A. V. Vityazev, in: 43rd Lunar and Planetary Science Conference, held March 19–23, 2012 at The Woodlands, Texas; LPI Contribution № 1659, id. 1808 (2012).
- Г. В. Печерникова, Е. Л. Рускол, в сб.: Жизнь и Вселенная, под ред. В. Н. Обридко и М. В. Рагульской (М.: Изд-во ВВМ, 2017).
- V. S. Safronov, G. V. Pechernikova, E. L. Ruskol, and A. V. Vityazev, Protosatellite swarms, Satellites, edited by J. A. Burns and M. S. Matthews (Tuscon: Univ. of Arizona Press, 1986).
- A. A. Boyarchuk, E. L. Ruscol, V. S. Safronov, and A. M. Frid-man, Doklady Physics 43 (8), 505 (1998).
- R. Rufu, O. Aharonson, and H. B. Perets, Nature Geoscience 10 (2), 89 (2017)
- R. I. Citron, H. B. Perets, and O. Aharonson, Astrophys. J. 862 (1), id. 5 (2018).
- A. S. Murachev, D. V. Tsvetkov, E. M. Galimov, A. M. Kriv-tsov, in: Advances in Mechanics of Microstructured Media and Structures, edited by F. dell’Isola, V. Eremeyev, and A. Porubov, Part of the book series: Advanced Structured Materials (STRUCTMAT) 87, 251 (2018).
- S. I. Ipatov, in: Origins: From the Protosun to the First Steps of Life, Proc. of the IAU 345, 148 (2020).
- H. Jeffreys, Monthly Not. Roy. Astron. Soc. 78, 116 (1917).
- F. Adams and K. Napier, Astrobiology 22 (12), 1429 (2022).
- Sung-Ho Na, J. Korean Astron. Soc. 45 (2), 49 (2012).
- C. de la Fuente Marcos and R. de la Fuente Marcos, Monthly Not. Roy. Astron. Soc. 494, 1089 (2020).
- M.-T. Hui, P. A. Weigert, D. J. Tholen, and D. Fohring, Astrophys. J. Letters 922 (2), id. L25 (2021).
- G. Fedorets, M. Micheli, R. Jedicke, S. Naidu, et al., Astron. J. 160 (6), id. 277 (2020).
- E. Schmutzer, Astron. Nachricht. 326 (8), 760 (2005).
- M. Krizek, V. G. Gueorguiev, A. Maeder, Gravitation and Cosmology 28 (2), 122 (2022).
- E. C. Ostriker, Astrophys. J. 513 (1), 252 (1999).
- J. B. Pollack, O. Hubickyj, P. Bodenheimer, J. J. Lissauer, M. Podolak, and Y. Greenzweig, Icarus 124 (1), 62 (1996).
- I. Kant, Allgemeine Naturgeschichte und Theorie des Himmels (1755).
- P. S. Laplace, Exposition du Systéme du Monde (1796).
- H. Alfvén, Physical Studies of Minor Planets, Proc. of IAU Colloq. 12, held in Tucson, AZ, March, 1971; edited by T. Gehrels; National Aeronautics and Space Administration SP 267, 1971, p. 315.
- N. Gorkavyi and T. Taidakova, Astron. Letters 21 (6), 846 (1995).
- S. Ida, R. M. Canup, and G. R. Steward, Nature 389 (6649), 353 (1997).
- E. Kokubo, S. Ida, and J. Makino, Icarus 148 (2), 419 (2000).
- R. Hyodo, K. Ohtsuki, and T. Takeda, Astrophys. J. 799 (1), id. 40 (2015).
- H. B. Perets, Astrophys. J. Letters 727 (1), id. L3 (2011).
- C. A. Giuppone, A. Rodriguez, T. A. Michtchenko, A. A. de Almeida, Astron. and Astrophys. 658, id. A99 (2022).
- D. Kipping, S. Bryson, C. Burke, J. Christiansen, et al., Bull. Amer. Astron. Soc. 54 (5), e-id. 2022n5i504p04 (2022).
- H. Ochiai, M. Nagasawa, and S. Ida, Astrophys. J. 790 (2), id. 92 (2014).
- V. van Eylen, S. Albrecht, X. Huang, M. G. MacDonald, et al., Astron. J. 157 (2), id. 61 (2019).
- Y. Chachan, P. A. Dalba, H. A. Knutson, B. J. Fulton, et al., Astrophys. J. 926 (1), id. 62 (2022).
- E. Knudstrup and S. H. Albrecht, Astron. and Astrophys. 660, id. A99, (2022).
- S. Albrecht, J. N. Winn, R. P. Butler, J. D. Crane, S. A. Shectman, I. B. Thompson, T. Hirano, and R. A. Wit-tenmyer, Astrophys. J. 744 (2), id. 189 (2012).
- N. Miret-Roig, H. Bouy, S. N. Raymond, M. Tamura, et al., Nature Astron. 6, 89 (2022).
- A. Siraj and A. Loeb, Monthly Not. Roy. Astron. Soc. 507 (1), L16 (2021).
- K. Napier, F. Adams, and K. Batygin, Planetary Sci. J. 2 (2), id. 53 (2021).
- J. A. Kegerreis, S. Ruiz-Bonilla, V. R. Eke, R. J. Massey, T. D. Sandnes, L. F. A. Teodoro, Astrophys. J. Letters 937 (2), id. L40 (2022).
- Г. Н. Дремова, В. В. Дремов, А. В. Тутуков, Физика космоса, Препринты 50-й Международной студенческой научной конференции (Екатеринбург, 30 января–3 февраля 2023 г.), стр. 523 (2023); https://astro.insma.urfu.ru/sites/default/files/school/y2023/preprint_v2sm.pdf
- L. Verlet and J.-J. Weis, Phys. Rev. A 5, 939 (1972).
- А. В. Тутуков, В. В. Дремов, Г. Н. Дремова, Астрон. журн. 84 (6), 487 (2007).
- M. Marov and S. Ipatov, Geochemistry International 59 (11), 1010 (2021).
- H. Poincare, Bull. Astronomique (Serie I) 28, 251 (1911).
- T. J. J. See, Astron. Nachricht. 181 (23), 365 (1909).
Supplementary files







