Эволюция рентгеновской двойной системы Sco X-1
- Авторы: Федорова А.В.1, Тутуков А.В.1
-
Учреждения:
- Федеральное государственное бюджетное учреждение науки Институт астрономии Российской академии наук
- Выпуск: Том 100, № 11 (2023)
- Страницы: 939-957
- Раздел: СТАТЬИ
- URL: https://ogarev-online.ru/0004-6299/article/view/148082
- DOI: https://doi.org/10.31857/S0004629923100043
- EDN: https://elibrary.ru/STTPRU
- ID: 148082
Цитировать
Полный текст
Аннотация
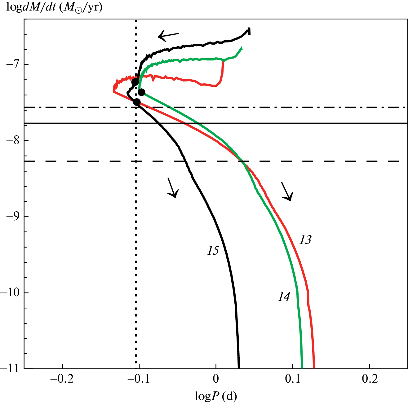
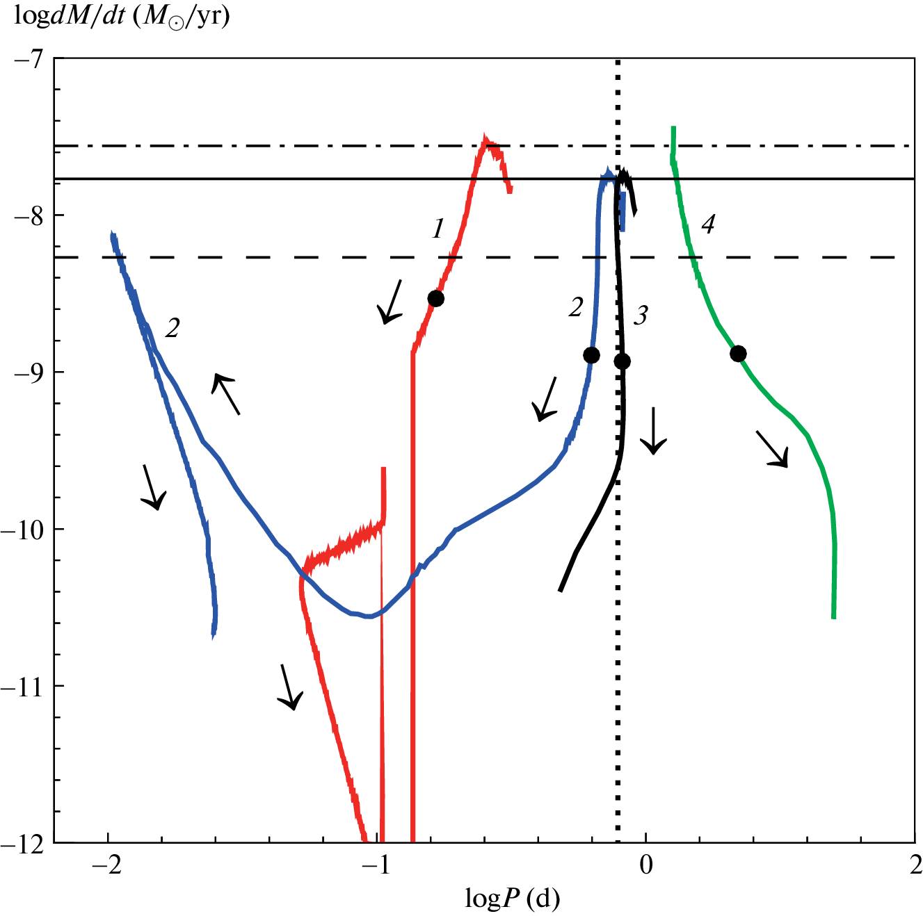
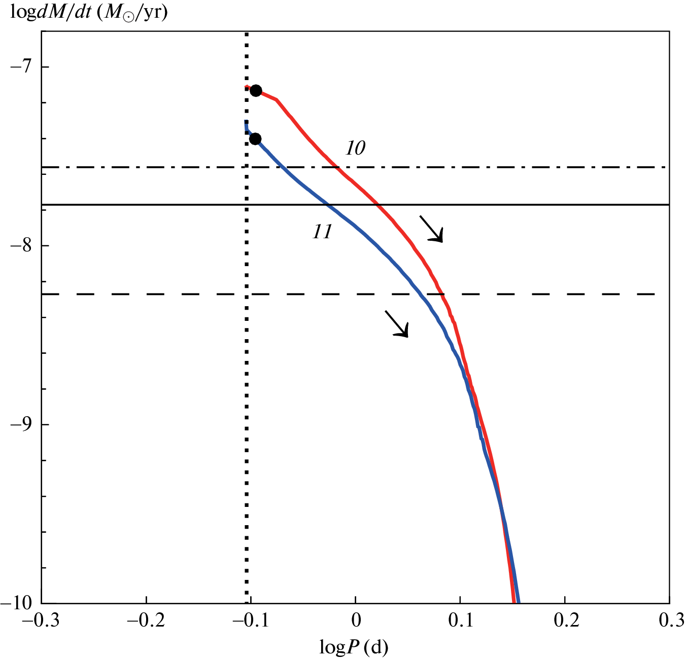
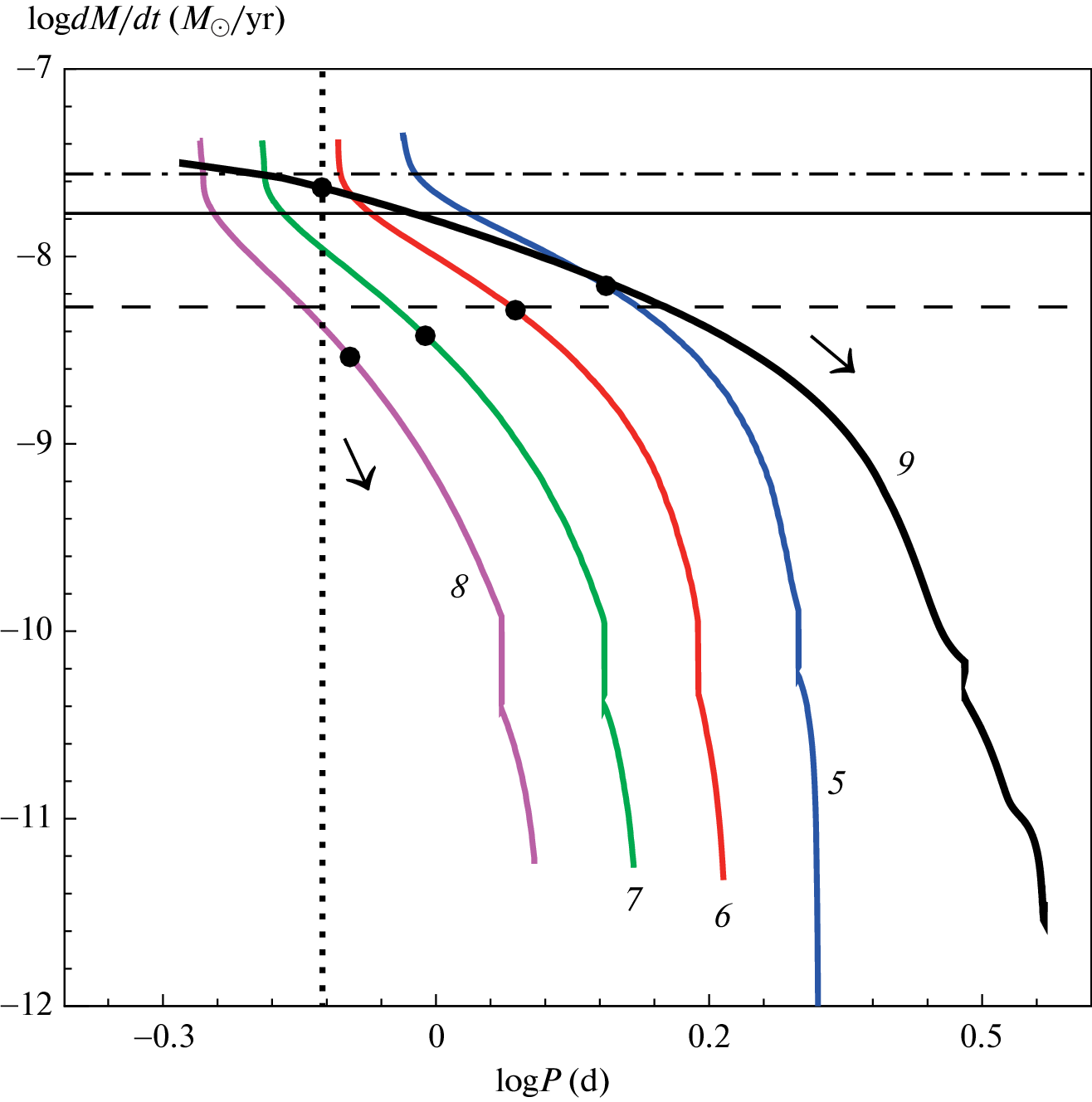
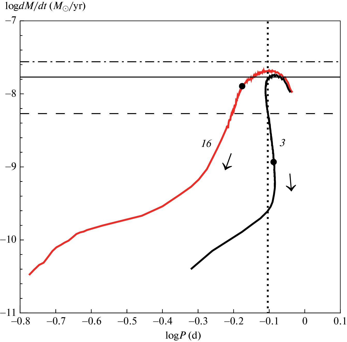
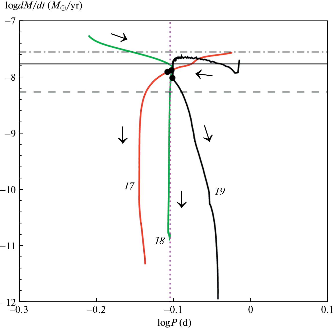
Численно исследуется возможная эволюция яркой маломассивной рентгеновской двойной системы Sco X-1 в рамках модели, предполагающей, что донор системы (спутник нейтронной звезды) заполняет свою полость Роша. В расчетах учитывается наличие у донора сильного индуцированного звездного ветра (ИЗВ), возникающего из-за облучения жестким излучением аккрецирующей релятивистской звезды. При этом на примере Sco X-1 исследуются три гипотезы, в рамках которых для полуразделенных рентгеновских двойных звезд можно получить высокий темп обмена веществом. Первая гипотеза – наличие у донора сильного ИЗВ при стандартном магнитном торможении. Расчеты показали, что в этом случае можно получить высокий темп обмена массой, но при этом донор не может заполнять полость Роша – он “уходит” под нее. Вторая гипотеза – усиление магнитного торможения, т.е. увеличение потери углового момента из системы за счет магнитного звездного ветра донора (МЗВ). Такое усиление может быть связано с интенсивным ИЗВ донора при наличии у него сильного магнитного поля. Численное моделирование показывает, что при усилении МЗВ в \( \sim {\kern 1pt} 20\) раз возможен высокий темп обмена веществом при заполнении донором полости Роша. Третья гипотеза предполагает возможность отмены прямого обмена угловым моментом между орбитальным моментом системы и моментом аккрецированного вещества, переходящего с маломассивного донора на более массивный аккретор. При такой отмене исчезает основной процесс, увеличивающий большую полуось орбиты. Расчеты показывают, что и в этом случае можно получить достаточно высокий темп обмена массой. Однако наиболее вероятной причиной увеличения темпа обмена в маломассивных рентгеновских двойных системах, возможно, является усиление магнитного торможения.
Ключевые слова
Об авторах
А. В. Федорова
Федеральное государственное бюджетное учреждение наукиИнститут астрономии Российской академии наук
Автор, ответственный за переписку.
Email: afed@inasan.ru
Россия, Москва
А. В. Тутуков
Федеральное государственное бюджетное учреждение наукиИнститут астрономии Российской академии наук
Автор, ответственный за переписку.
Email: atutukov@inasan.ru
Россия, Москва
Список литературы
- R. Giacconi, H. Gursky, F. R. Paolini, and B. B. Rossi, Phys. Rev. Letters 9, 439 (1962).
- N. Soker, J. Bublitz, and J. H. Kastner, Astrophys. J. 928, id. 159 (2022).
- I. S. Shklovskii, Soviet Astron. 11, 749 (1968).
- A. M. Cherepashchuk, N. A. Katysheva, and T. S. Khru-zina, in Highly Evolved Close Binary Stars: Catalogue (Amsterdam: Gordon and Breach Publ., 1996), p. 96.
- A. M. Cherepashchuk, T. S. Khruzina, and A. I. Bogomazov, Monthly Not. Roy. Astron. Soc. 508, 1389 (2021).
- A. M. Cherepashchuk, T. S. Khruzina, and A. I. Bogomazov, Astron. Rep. 66, 348 (2022).
- I. F. Mirabel, and I. Rodrigues, Ann. Rev. Astron. Astrophys. 37, 409 (1999).
- A. V. Fedorova and A. V. Tutukov, Astron. Rep. 66, 925 (2022).
- I. J. Iben, A. V. Tutukov, and L. R. Jungelson, Astrophys. J. Suppl. 100, 233 (1995).
- I. J. Iben, A. V. Tutukov, and A. V. Fedorova, Astrophys. J. 486, 955 (1997).
- A. V. Tutukov and A. V. Fedorova, Astron. Rep. 46, 765 (2002).
- A. V. Tutukov and A. V. Fedorova, Astron. Rep. 47, 600 (2003).
- K. Pavlovskii and N. Ivanova, Monthly Not. Roy. Astron. Soc. 456, 263 (2016).
- W.-C. Chen, Astron. and Astrophys. 606, 60 (2017).
- P. Podsiadlowski, S. Rappaport, and E. D. Pfahl, Astrophys. J. 565, 1107 (2002).
- K. Asai, T. Mihara, and M. Matsuoka, Publ. Astron. Soc. Japan 74, 974 (2022).
- A. Bahramian and N. Degenaar, arXiv:2206.10053 [astro-ph.HE] (2022).
- U. Kolb and H. Ritter, Astron. and Astrophys. 236, 385 (1990).
- S. S. Huang, Ann. Rev. Astron. Astrophys. 4, 35 (1966).
- B. Paczynski, Acta Astronomica 16, 231 (1966).
- M. Diaz Trigo and L. Boirin, Astron. Nachricht. 337, 368 (2016).
- P. Kosec, E. Kara, A. C. Fabian, F. Fürst, et al., Nature Astron. 7, 715 (2023).
- P. O. Petrucci, S. Bianchi, G. Ponti, J. Ferreira, et al., Astron. and Astrophys. 649, id. A128 (2021).
- S. Fijma, N. Castro Segura, N. Degenaar, C. Knigge, N. Higginbottom, J. V. Hernindez Santisteban, and T. J. Maccarone, arXiv:2305.10793 [astro-ph.HE] (2023).
- Л. Д. Ландау, Е. М. Лифшиц, Теория поля (М.: Физматгиз, 1962).
- A. V. Fedorova and A. V. Tutukov, Astron. Rep. 38, 377 (1994).
- A. Skumanich, Astrophys. J. 171, 565 (1972).
- B. Paczynski, Ann. Rev. Astron. Astrophys. 9, 183 (1971).
- H. Lamers, G. Snow, and D. Lindholm, Astrophys. J. 455, 269 (1995).
- C. Hawcroft, H. Sana, L. Mahy, J. O. Sundqvist, et al., arXiv:2303.12165 [astro-ph.HE] (2023).
- I. Stevens, Monthly Not. Roy. Astron. Soc. 265, 601 (1993).
- S. Bogovalov and M. Petrov, Universe 7, 353 (2021).
- I. F. Mirabel and I. Rodrigues, Astron. and Astrophys. 398, L25 (2003).
- A. M. Cherepashchuk, N. A. Katysheva, T. S. Khruzina, S. Y. Shugarov, A. M. Tatarnikov, and A. I. Bogomazov, Monthly Not. Roy. Astron. Soc. 490, 3287 (2019).
- A. I. Bogomazov, A. M. Cherepashchuk, T. S. Khruzina, and A. V. Tutukov, Monthly Not. Roy. Astron. Soc. 514, 5375 (2022).
- A. C. Raga and J. Canto, Revista Mexicana Astron. Astrof. 58, 301 (2022).
- L. G. Luk’yanov, Astron. Astrophys. Trans. 27, 82 (2011).
- L. G. Luk’yanov and S. A. Gasanov, Astron. Rep. 55, 733 (2011).
- A. A. Medvedeva and S. A. Gasanov, Astron. Rep. 58, 554 (2014).
- P. Hertz, K. Wood, and L. Cominsky, Astrophys. J. 486, 1000 (1997).
- A. G. Masevich and A. V. Tutukov, Evolution of Stars: Theory and Observations (Moscow: Nauka, 1988) [in Russian].
- M. Gilfanov, G. Fabbiano, and B. Lehmer, arXiv:2304.14080 [astro-ph.HE] (2023).
Дополнительные файлы









