KINETIC MODEL OF THE STELLAR WIND FORCING ON THE EXTENDED HYDROGEN ATMOSPHERE OF THE EXOPLANEt π Men c
- Authors: Avtaeva A.A.1, Shematovich V.I.1
-
Affiliations:
- Institute of Astronomy, Russian Academy of Sciences
- Issue: Vol 100, No 10 (2023)
- Pages: 858-870
- Section: Articles
- URL: https://ogarev-online.ru/0004-6299/article/view/147882
- DOI: https://doi.org/10.31857/S000462992310002X
- EDN: https://elibrary.ru/SSGKWV
- ID: 147882
Cite item
Full Text
Abstract
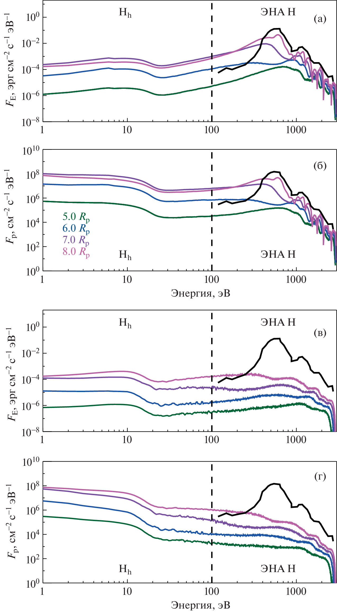
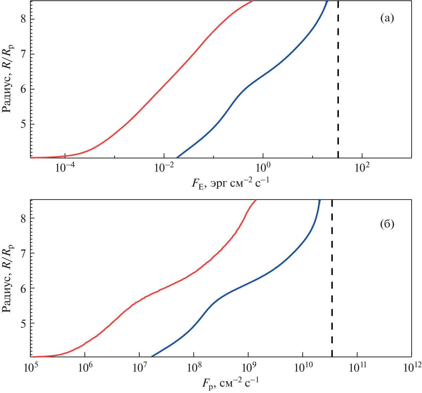
In this paper, an extension of the kinetic model of the aeronomy of the upper atmosphere of an exoplanet is performed by including the processes of the effect of stellar wind plasma on the extended hydrogen corona of a hot sub-neptune. For this purpose, previously developed kinetic Monte Carlo models were used to study the precipitation of protons and hydrogen atoms with high energies into planetary atmospheres. The kinetic model is adapted to the upper atmospheres of hot sub-neptunes, which made it possible to calculate the rate of absorption of stellar wind plasma energy in the planetary corona and to refine estimates of the non-thermal loss rate of the atmosphere due to the influence of the stellar wind. The calculations carried out for the hot sub-neptune π Men c showed that the energy of a flux of energetic neutral hydrogen atoms (ENA H) penetrating the atmosphere, formed during the charge exchange of stellar wind protons with thermal hydrogen corona atoms, mainly goes to heating the hydrogen corona of a hot exoplanet.
About the authors
A. A. Avtaeva
Institute of Astronomy, Russian Academy of Sciences
Author for correspondence.
Email: astrep@pleiadesonline.com
Russia, Moscow
V. I. Shematovich
Institute of Astronomy, Russian Academy of Sciences
Email: astrep@pleiadesonline.com
Russia, Moscow
References
- F. Fressin, G. Torres, D. Charbonneau, S. T. Bryson, et al., Astrophys. J. 766, 81 (2013).
- J. E. Owen, A. P. Jackson, Monthly Not. Roy. Astron. Soc. 425, 2931 (2012).
- E. D. Lopez, J. J. Fortney, N. Miller, Astrophys. J. 761, 59 (2012).
- S. Ginzburg, H. E. Schlichting, R. Sari, Astrophys. J. 825, 29 (2016).
- B. J. Fulton, E. A. Petigura, A. W. Howard, H. Isaacson, et al., Astrophys. J. 154, 109 (2017).
- J. E. Owen, Annual Review of Earth and Planetary Sciences 47, 67 (2019).
- J. E. Owen, I. F. Shaikhislamov, H. Lammer, L. Fossati, and M. L. Khodachenko, Space Sci. Rev. 216, 129 (2020).
- D. V. Bisikalo, V. I. Shematovich, P. V. Kaygorodov, and A. G. Zhilkin, Physics Uspiekhy 64, 747 (2021).
- V. Van Eylen, C. Agentoft, M. S. Lundkvist, H. Kjeldsen, et al., Monthly Not. Roy. Astron. Soc. 479, 4786 (2018).
- A. Vidal-Madjar, A. Lecavelier des Etangs, J. M. Désert, G. E. Ballester, et al., Nature 422(6928), 143 (2003).
- A. Lecavelier Des Etangs, D. Ehrenreich, A. Vidal-Madjar, G. E. Ballester, et al., Astron. and Astrophys. 514, A72, 10 (2010).
- J. R. Kulow, K. France, J. Linsky, R. O. Parke Loyd, A-strophys. J. 786, id. 132, 9 (2014).
- V. Bourrier, A. L. Des Etangs, D. Ehrenreich, J. Sanz-Forcada, et al., Astron. and Astrophys. 620, A147 (2018).
- A. García Muñoz, L. Fossati, A. Youngblood, N. Nettelmann, et al., Astrophys. J. Lett. 907, 2, L36 (2021).
- M. Lampón, M. López-Puertas, L. M. Lara, A. Sánchez-López, et al., Astron. and Astrophys. 636, A13, 14 (2020).
- V. I. Shematovich, M. Ya. Marov, Physics Uspekhi 61, 217 (2018).
- A. A. Avtaeva, V. I. Shematovich., Solar System Research 55, 150 (2021).
- A. A. Avtaeva, V. I. Shematovich, Astronomy Reports 66, 1254 (2022).
- A. A. Avtaeva, V. I. Shematovich, Solar System Research 56, 67 (2022).
- D. V. Bisikalo, P. Kaygorodov, D. Ionov, V.I. Shematovich, H. Lammer, L. Fossati, Astrophys. J. 764, id. 19, 5 (2013).
- T. Matsakos, A. Uribe, A. Königl, Astron. and Astrophys. 578, id. A6, 17 (2015).
- I. Pillitteri, A. Maggio, G. Micela, S. Sciortino, S. J. Wolk, T. Matsakos, Astrophys. J. 805, 1, id. 52, 18 (2015).
- I. F. Shaikhislamov, M. L. Khodachenko, H. Lammer, K. G. Kislyakova, et al., Astrophys. J. 832, id. 173, 20 (2016).
- J. E. Owen, R. A. Murray-Clay, E. Schreyer, H. E. Schli-chting et al., Monthly Not. Roy. Astron. Soc. 518, 4357 (2023).
- V. I. Shematovich, D. V. Bisikalo, J. C. Gérard, B. Hubert, Astronomy Reports 63, 835 (2019).
- V. I. Shematovich, D. V. Bisikalo, A. G. Zhilkin, Astronomy Reports 65, 203 (2021).
- C. X. Huang, J. Burt, A. Vanderburg, M. N. Guenther, et al., Astrophys. J. Lett. 868, id. L39, 8 (2018).
- D. Gandolfi, O. Barragán, J. H. Livingston, and 29 more, Astron. and Astrophys. 619, L10, 10 (2018).
- A. García Muñoz, A. Youngblood, L. Fossati, D. Gandolfi, J. Cabrera, H. Rauer, Astrophys. J. Lett. 888, L21, 12 (2020).
- I. F. Shaikhislamov, L. Fossati, M. L. Khodachenko, H. Lammer, et al., Astron, and Astrophys. 639, A109 (2020).
- J. S. Halekas, R. J. Lillis, D. L. Mitchell, T. E. Cravens, et al., Geophysical Research Letters 42, 8901 (2015).
- V. I. Shematovich, Solar System Research 44, 96 (2010).
- V. I. Shematovich, D. V. Bisikalo, C. Dieval, S. Barabash, et al., Journal of Geophysical Research 116, A11320 (2011).
- V. I. Shematovich, D. V. Bisikalo, Astronomy Reports 64, 863 (2020).
- A. A. Vidotto, A. Cleary, Monthly Not. Roy. Astron. Soc. 494, 2417 (2020).
- S. Carolan, A. A. Vidotto, C. Villarreal D’Angelo, G. Hazra, Monthly Not. Roy. Astron. Soc. 500, 3382 (2021).
Supplementary files







