Определение параметров тесных двойных систем методами синтеза: от белых карликов до звезд Вольфа–Райе и черных дыр
- Авторы: Антохина Э.А.1, Антохин И.И.1
-
Учреждения:
- Московский государственный университет им. М.В. Ломоносова, Государственный астрономический институт им. П.К. Штернберга
- Выпуск: Том 100, № 9 (2023)
- Страницы: 772-784
- Раздел: СТАТЬИ
- URL: https://ogarev-online.ru/0004-6299/article/view/147873
- DOI: https://doi.org/10.31857/S0004629923090013
- EDN: https://elibrary.ru/XETYBU
- ID: 147873
Цитировать
Полный текст
Аннотация
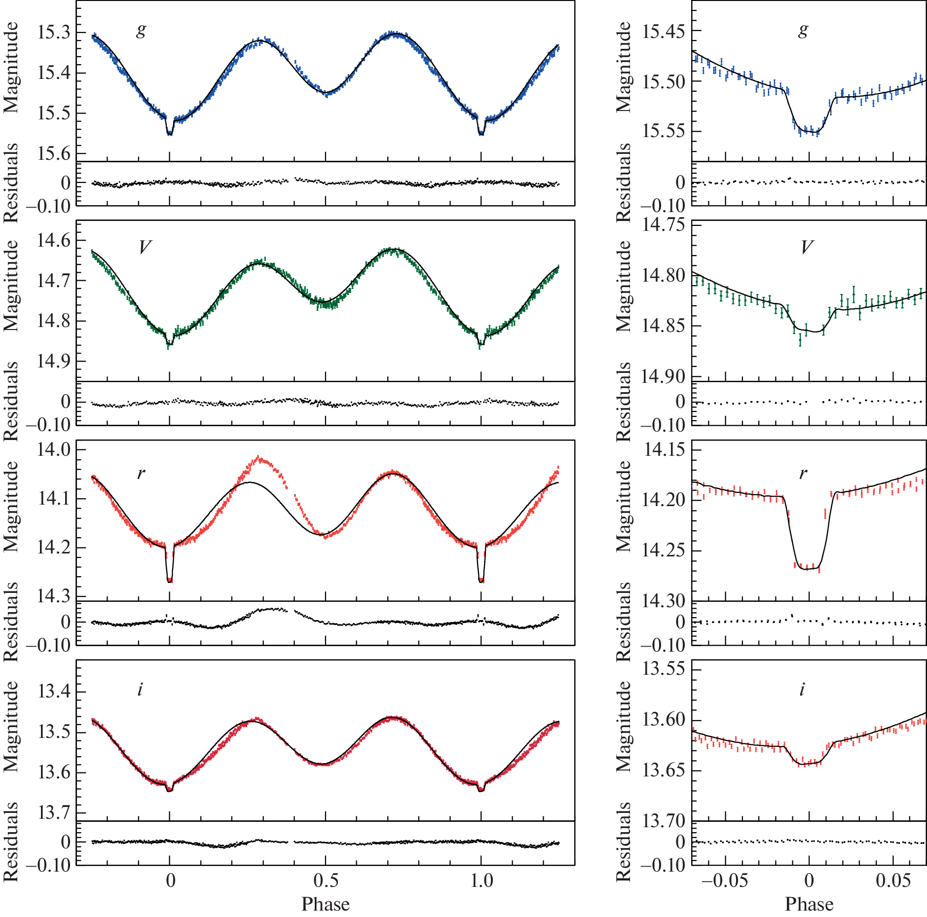
Методы синтеза кривых блеска и кривых лучевых скоростей в настоящее время являются одним из основных инструментов исследования тесных двойных систем (ТДС). В работе дан краткий обзор появления и развития методов синтеза и реализаций этих методов в ГАИШ МГУ, где к настоящему времени создан комплекс компьютерных программ для анализа наблюдений ТДС различных типов. Приведены результаты анализа предложенными нами алгоритмами трех интересных ТДС, находящихся на разных стадиях эволюции. В модели Роша с пятнами на звезде выполнен анализ необычных кривых блеска недавно открытой предкатаклизмической двойной системы GPX-TF16E-48. В модели с прецессирующим аккреционным диском проведен анализ рентгеновских кривых блеска микроквазара SS 433. В модели Роша с учетом поглощения в мощном ветре звезды Вольфа–Райе выполнен анализ полученных из космоса кривых блеска массивной двойной системы с сильно эллиптической орбитой WR22. В результате детального анализа кривых блеска с привлечением спектроскопической информации найдены параметры ТДС и их компонентов. Статья основана на докладе, сделанном на астрофизическом мемориальном семинаре “Новое в понимании эволюции двойных звезд”, приуроченном к 90-летию профессора М.А. Свечникова.
Ключевые слова
Об авторах
Э. А. Антохина
Московский государственный университет им. М.В. Ломоносова,Государственный астрономический институт им. П.К. Штернберга
Автор, ответственный за переписку.
Email: elant@sai.msu.ru
Россия, Москва
И. И. Антохин
Московский государственный университет им. М.В. Ломоносова,Государственный астрономический институт им. П.К. Штернберга
Автор, ответственный за переписку.
Email: igor@sai.msu.ru
Россия, Москва
Список литературы
- G. Hill and J. B. Hutchings, Astrophys. J. 162, 265 (1970).
- R. E. Wilson and E. J. Devinney, Astrophys. J. 166, 605 (1971).
- D. B. Wood, Astron. J. 76, 701 (1971).
- R. E. Wilson, Astrophys. J. 234, 1054 (1979).
- Н. Г. Бочкарев, Е. А. Карицкая, Н. И. Шакура, Астрон. журн. 56, 16 (1979).
- Н. И. Балог, А. В. Гончарский, А. М. Черепащук, Астрон. журн. 58, 67 (1981).
- N. I. Balog, A. V. Goncharskij, Z. Yu. Metlitskaya, and A. M. Cherepashchuk, Peremennye Zvezdy 21, 695 (1982).
- Т. С. Хрузина, Астрон. журн. 62, 94 (1985).
- Э. А. Антохина, Астрон. журн. 65, 1164 (1988).
- Э. А. Антохина, Астрон. журн. 73, 532 (1996).
- Э. А. Антохина, А. М. Черепащук, Астрон. журн. 64, 562 (1987).
- Э. А. Антохина, Е. В. Сейфина, А. М. Черепащук, Астрон. журн. 69, 282 (1992).
- Т. С. Хрузина и А. М. Черепащук, Астрон. журн. 72, 203 (1995).
- Т. С. Хрузина, Астрон. журн. 82, 881 (2005).
- Т. С. Хрузина, Астрон. журн. 88, 463 (2011).
- Э. А. Антохина, А. М. Черепащук, Астрон. журн. 71, 420 (1994).
- Э. А. Антохина, А. М. Черепащук, В. В. Шиманский, Астрон. журн. 82, 131 (2005).
- E. A. Antokhina, I. I. Antokhin, and A. M. Cherepa-shchuk, Astron. Astrophys. Trans. 28, 3 (2013).
- E. A. Antokhina, I. I. Antokhin, and A. M. Cherepa-shchuk, Bull. Crimean Astrophys. Observ. 109, 54 (2013).
- R. E. Wilson, Publ. Astron. Soc. Pacific 106, 921 (1994).
- J. Kallrath and E. F. Milone, Eclipsing Binary Stars: Modeling and Analysis (New York: Springer-Verlag, 2009).
- A. Prsa and T. Zwitter, Astrophys. J. 628, 426 (2005).
- A. Prsa, K. E. Conroy, M. Horvat, H. Pablo, et al., Astrophys. J. Suppl. 227, id. 29 (2016).
- V. Krushinsky, P. Benni, A. Burdanov, I. Antokhin, et al., Monthly Not. Roy. Astron. Soc. 493, 5208 (2020).
- C. Tappert, B. T. Gansicke, L. Schmidtobreick, A. Aungwerojwit, R. E. Mennickent, and D. Koester, Astron. and Astrophys. 474, 205 (2007).
- S. G. Parsons, C. A. Hill, T. R. Marsh, B. T. Gansicke, et al., Monthly Not. Roy. Astron. Soc. 458, 2793 (2016).
- E. A. Antokhina, A. F. J. Moffat, I. I. Antokhin, J.-F. Bertrand, and R. Lamontagne, Astrophys. J. 529, 463 (2000).
- T. S. Boyajian, K. von Braun, G. van Belle, H. A. McAlister, et al., Astrophys. J. 757, id. 112, (2012).
- P. Hakala, S. G. Parsons, T. R. Marsh, B. T. Gansicke, G. Ramsay, A. Schwope, and J. J. Hermes, Monthly Not. Roy. Astron. Soc. 513, 3858 (2022).
- Э. А. Антохина, А. М. Черепащук, Письма в Астрон. журн. 11, 10 (1985).
- A. M. Cherepashchuk, R. A. Sunyaev, E. V. Seifina, I. E. Pan-chenko, S. V. Molkov, and K. A. Postnov, Astron. and Astrophys. 411, L441 (2003).
- A. M. Cherepashchuk, R. A. Sunyaev, S. N. Fabrika, K. A. Postnov, et al., Astron. and Astrophys. 437, 561 (2005).
- A. M. Cherepashchuk, R. A. Sunyaev, K. A. Postnov, E. A. Antokhina, and S. V. Molkov, Monthly Not. Roy. Astron. Soc. 397, 479 (2009).
- A. M. Cherepashchuk, R. A. Sunyaev, S. V. Molkov, E. A. Antokhina, K. A. Postnov, and A. I. Bogomazov, Monthly Not. Roy. Astron. Soc. 436, 2004 (2013).
- K. Pavlovskii, N. Ivanova, K. Belczynski, and K. X. Van, Monthly Not. Roy. Astron. Soc. 465, 2092 (2017).
- E. P. J. van den Heuvel, S. F. Portegies Zwart, and S. E. de Mink, Monthly Not. Roy. Astron. Soc. 471, 4256 (2017).
- A. M. Cherepashchuk, K. Postnov, S. Molkov, E. Antokhina, and A. Belinski, New Astronomy Rev. 89, id. 101542 (2020).
- A. M. Cherepashchuk, A. A. Belinski, A. V. Dodin, and K. A. Postnov, Monthly Not. Roy. Astron. Soc. 507, L19 (2021).
- G. Lenoir-Craig, I. I. Antokhin, E. A. Antokhina, N. St-Louis, and A. F. J. Moffat, Monthly Not. Roy. Astron. Soc. 510, 246 (2022).
- W. -R. Hamann, G. Grafener, A. Liermann, R. Hainich, et al., Astron. and Astrophys. 625, id. A57 (2019).
- G. Rauw, J.-M. Vreux, E. Gosset, D. Hutsemekers, P. Magain, and K. Rochowicz, Astron. and Astrophys. 306, 771 (1996).
- J. Schweickhardt, W. Schmutz, O. Stahl, Th. Szeifert, and B. Wolf, Astron. and Astrophys. 347, 127 (1999).
- W. W. Weiss, S. M. Rucinski, A. F. J. Moffat, A. Schwarzenberg-Czerny, et al., Publ. Astron. Soc. Pacific 126, 573 (2014).
- F. Martins, D. Schaerer, and D. J. Hillier, Astron. and Astrophys. 436, 1049 (2005).
Дополнительные файлы









