Нейтронные звезды в приближении однородного шара
- Авторы: Бисноватый-Коган Г.С.1,2,3, Патраман Е.А.1,3
-
Учреждения:
- Институт космических исследований РАН
- Национальный исследовательский ядерный университет МИФИ
- Московский физико-технический институт МФТИ
- Выпуск: Том 100, № 8 (2023)
- Страницы: 721-734
- Раздел: СТАТЬИ
- URL: https://ogarev-online.ru/0004-6299/article/view/139125
- DOI: https://doi.org/10.31857/S0004629923080017
- EDN: https://elibrary.ru/HIQYGP
- ID: 139125
Цитировать
Полный текст
Аннотация
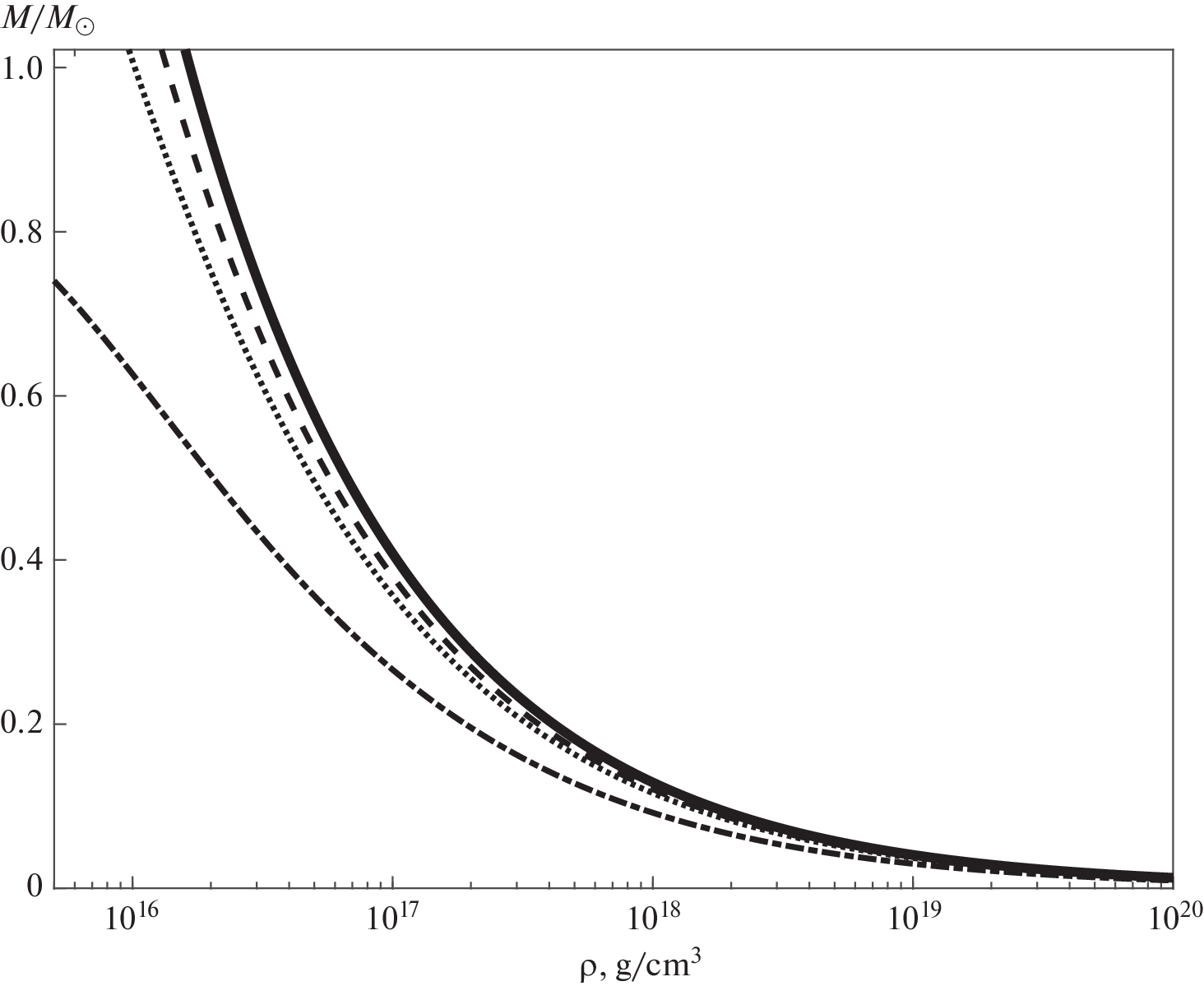
Рассмотрены модели нейтронных звезд в случае однородного распределения плотности. Получено алгебраическое уравнение равновесия, справедливое для любого уравнения состояния. Данное уравнение позволяет приближенно оценить массу звезды заданной плотности, не прибегая к интегрированию дифференциальных уравнений. Модели однородных нейтронных звезд для разных уравнений состояния, представленные в работе, отличаются в области максимума массы от точных решений, получаемых при численном интегрировании дифференциальных уравнений, не более, чем на \( \sim \)20%.
Ключевые слова
Об авторах
Г. С. Бисноватый-Коган
Институт космических исследований РАН; Национальный исследовательский ядерный университет МИФИ; Московский физико-технический институт МФТИ
Автор, ответственный за переписку.
Email: gkogan@mx.iki.rssi.ru
Россия, Москва; Россия, Москва; Россия, г. Долгопрудный
Е. А. Патраман
Институт космических исследований РАН; Московский физико-технический институт МФТИ
Email: gkogan@mx.iki.rssi.ru
Россия, Москва; Россия, г. Долгопрудный
Список литературы
- E. C. Stoner, London, Edinburgh, and Dublin Philosophical Magazine and Journal of Science: Ser. 7 9 (60), 944 (1930).
- R. H. Fowler, Monthly Not. Roy. Astron. Soc. 87, 114 (1926).
- J. Frenkel, Zeitschrift für Physik 50 (3–4), 234 (1928).
- Г. С. Бисноватый-Коган, Физические вопросы теории звездной эволюции (М.: Наука, 1989).
- S. Chandrasekhar, Astrophys. J. 74, 81 (1931).
- L. D. Landau, Phys. Zs. Sowjet. 1, 285 (1932).
- E. L. Schatzman, White dwarfs (Amsterdam: North-Holland Publishing Company, 1958).
- Г. С. Бисноватый-Коган, Е. А. Патраман, Астрофизика 64 (4), 551 (2021).
- Л. Д. Ландау, Е. М. Лифшиц, Теория поля (М.: Физматгиз, 2001).
- Я. Б. Зельдович, И. Д. Новиков, Теория тяготения и эволюция звезд (М.: Наука, 1971).
- J. R. Oppenheimer and G. M. Volkoff, Phys. Rev. 55, 374 (1939).
- I. S. Gradshteyn and I. M. Ryzhik, Table of integrals, series and products, edited by Yu. V. Geronimus and M. Yu. Tseytlin, (4th ed.) (New York: Academic Press, 1965).
- Л. Д. Ландау, Е. М. Лифшиц, Статистическая физика (М.: Наука, 1976).
- Н. А. Дмитриев, С. А. Холин, в кн. Вопросы космогонии, т. 9, 254 (М.: Изд-во АН СССР, 1963).
- S. H. Harrison, K. S. Thorne, M. Wakano, and J. A. Whee-ler, Gravitational theory and gravitational collapse (Univ. Chicago Press, 1965).
- G. S. Bisnovatyi-Kogan and A. V. Dorodnitsyn, Gravitation and Cosmology 4(3), 174 (1998).
- Я. Б. Зельдович, ЖЭТФ 42 (2), 641 (1962).
- Я. Б. Зельдович, ЖЭТФ 41 (5), 1609 (1962).
- Я. Б. Зельдович, Гидродинамическая устойчивость звезды, в кн. Вопросы космогонии, т. 9, 157 (М.: Изд-во АН СССР, 1963).
- Я. Б. Зельдович, И. Д. Новиков, Успехи физ. наук 86 (7), 447 (1965).
- С. Шапиро, С. Тьюкольский, Черные дыры, белые карлики и нейтронные звезды, Т. 1, 2 (М.: Мир, 1985).
- W. H. Press, S. A. Teukolsky, W. T. Vetterling, and B. P. Flannery, Numerical recipies (Cambridge University Press, 2007).
- H. A. Bethe and M. B. Johnson, Nuclear Phys. A 230, 1 (1974).
- R. C. Malone, M. B. Johnson, and H. A. Bethe, Astrophys. J. 199, 741 (1975).
- G. S. Bisnovatyi-Kogan, Astrophysics, 4 (2), 79 (1968).
Дополнительные файлы











