Modeling of Absorption in the Hα Line for the Exoplanet WASP-52b
- Authors: Sharipov S.S.1,2, Miroshnichenko I.B.1,2, Shaikhislamov I.F.1
-
Affiliations:
- Institute of Laser Physics, Siberian Branch, Russian Academy of Sciences
- Novosibirsk State Technical University
- Issue: Vol 100, No 3 (2023)
- Pages: 281-288
- Section: Articles
- URL: https://ogarev-online.ru/0004-6299/article/view/139073
- DOI: https://doi.org/10.31857/S0004629923030076
- EDN: https://elibrary.ru/PODJEB
- ID: 139073
Cite item
Full Text
Abstract
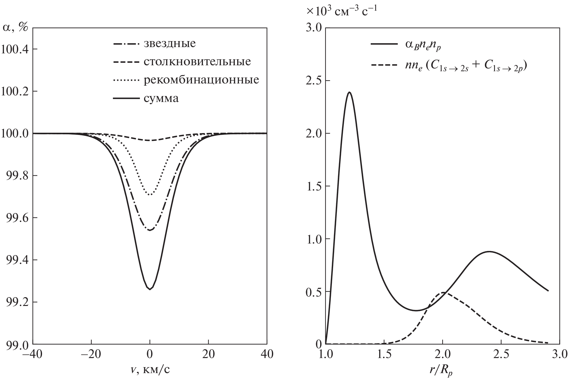
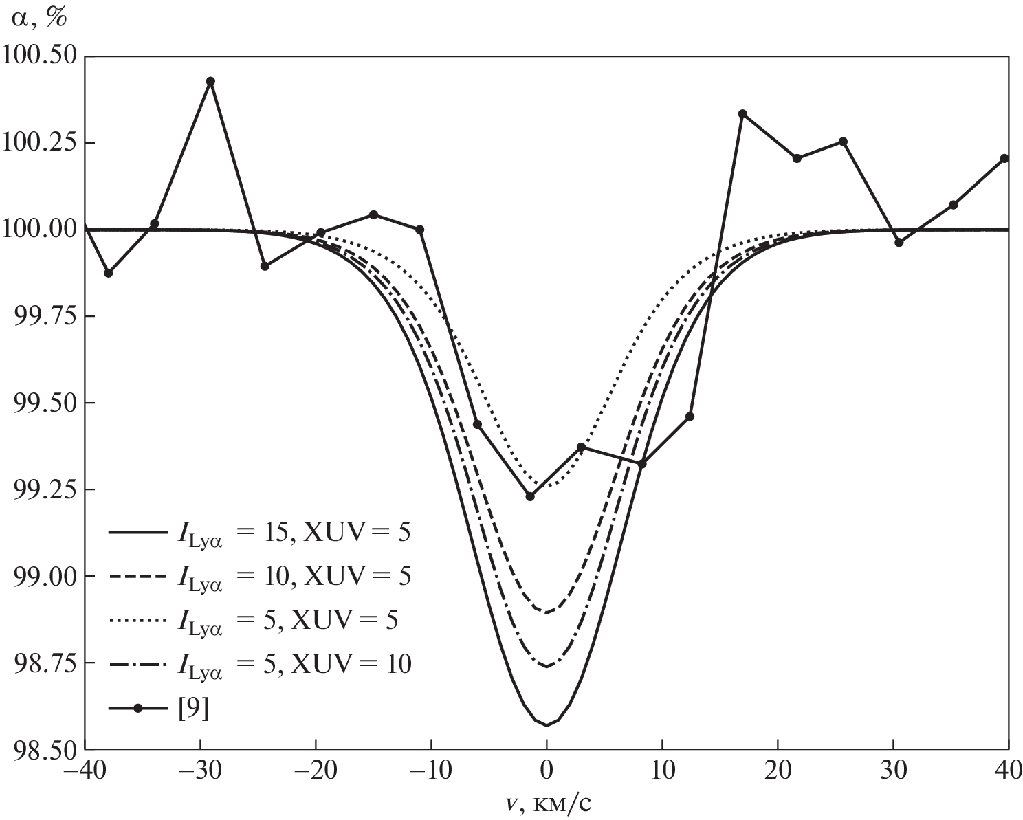
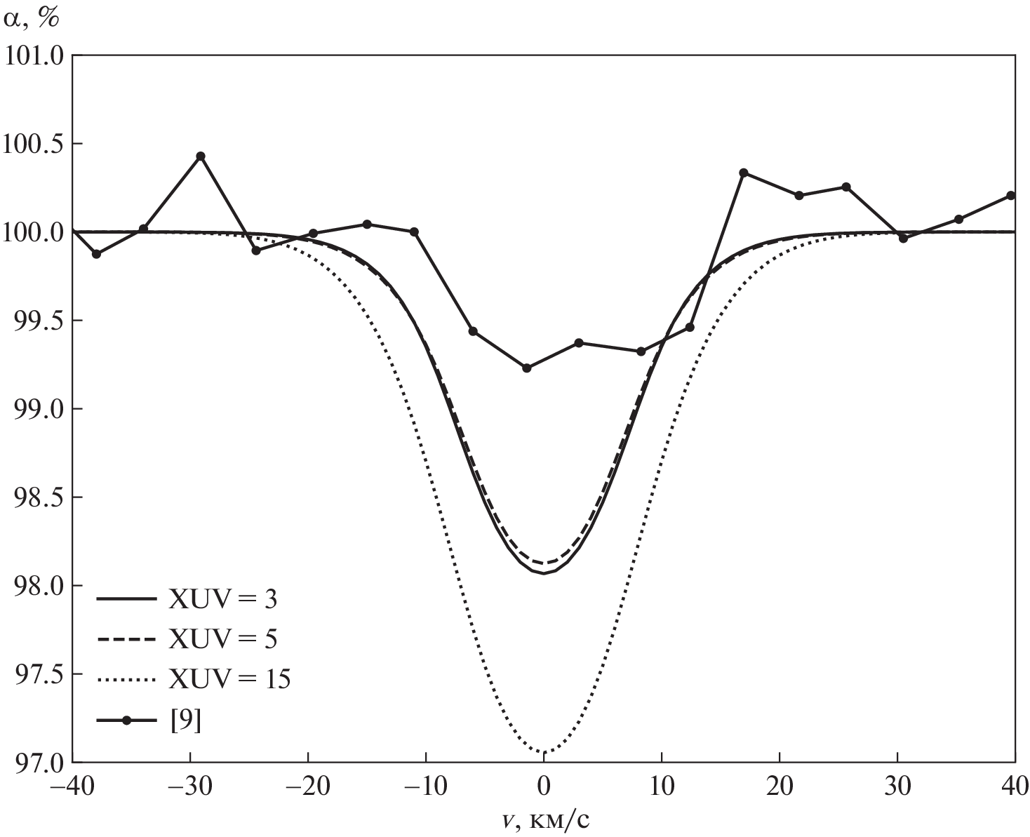
The results of modeling the Hα absorption spectrum of the atmosphere of the hot Jupiter WASP‑52b are presented. The atmosphere was modeled with a three-dimensional hydrodynamic code. Several different values of the XUV ionizing radiation were considered. The Lyα-photon transfer in the atmosphere was simulated by the Monte Carlo method. Spatial distributions of the volume density of hydrogen atoms excited to the second energy level H(2) were obtained, and absorption spectra in the Hα line were calculated. It was also shown that absorption takes place in a layer with a thickness of about 1.5 times the planetary radius, while the greatest influence on absorption is exerted by Lyα photons produced due to recombination of electrons and protons.
About the authors
S. S. Sharipov
Institute of Laser Physics, Siberian Branch, Russian Academy of Sciences; Novosibirsk State Technical University
Email: astrep@pleiadesonline.com
630090, Novosibirsk, Russia; 630073, Novosibirsk, Russia
I. B. Miroshnichenko
Institute of Laser Physics, Siberian Branch, Russian Academy of Sciences; Novosibirsk State Technical University
Email: astrep@pleiadesonline.com
630090, Novosibirsk, Russia; 630073, Novosibirsk, Russia
I. F. Shaikhislamov
Institute of Laser Physics, Siberian Branch, Russian Academy of Sciences
Author for correspondence.
Email: astrep@pleiadesonline.com
630090, Novosibirsk, Russia
References
- A. Vidal-Madjar, J.-M. Désert, A. L. Des Etangs, G. Hébrard, G. Ballester, D. Ehrenreich, R. Ferlet, J. McConnell, M. Mayor, and C. Parkinson, Astrophys. J. 604, L69 (2004).
- A. L. Des Etangs, D. Ehrenreich, A. Vidal-Madjar, G. Ballester, J.-M. Désert, R. Ferlet, G. Hébrard, D. K. Sing, K.-O. Tchakoumegni, and S. Udry, Astron. and Astrophys. 514, A72 (2010).
- F. Yan and T. Henning, Nature Astronomy 2, 714–718 (2018).
- P. W. Cauley, E. L. Shkolnik, I. Ilyin, K. G. Strassmeier, S. Redfield, and A. Jensen, Astron. J. 157, 69 (2019).
- N. Casasayas-Barris, E. Pallé, F. Yan, G. Chen, S. Kohl, M. Stangret, H. Parviainen, C. Helling, N. Watanabe, S. Czesla, A. Fukui, P. Montañés-Rodríguez, E. Nagel, N. Narita, L. Nortmann, G. Nowak, J. H. M. M. Schmitt, and M. R. Zapatero Osorio, Astron. and Astrophys. 628, A9 (2019).
- A. G. Jensen, S. Redfield, M. Endl, W. D. Cochran, L. Koesterke, and T. Barman, Astrophys. J. 751, 86 (2012).
- P. W. Cauley, S. Redfield, A. G. Jensen, T. Barman, M. Endl, and W. D. Cochran, Astrophys. J. 810, 13 (2015).
- P. W. Cauley, S. Redfield, A. G. Jensen, and T. Barman, Astron. J. 152, 20 (2016).
- G. Chen, N. Casasayas-Barris, E. Pallé, F. Yan, M. Stangret, H. Cegla, R. Allart, and C. Lovis, Astron. and Astrophys. 635, A171 (2020).
- M. K. Alam, N. Nikolov, M. López-Morales, D. K. Sing, J. M. Goyal, G. W. Henry, J. Sanz-Forcada, M. H. Williamson, T. M. Evans, H. R. Wakeford, et al., Astron, J. 156, 298 (2018).
- J. Kirk, L. Dos Santos, M. Lopez-Morales, M. Alam, A. Oklopcic, M. MacLeod, L. Zeng, and G. Zhou, Bulletin of the American Astronomical Society 54, 102–346 (2022).
- G. Chen, E. Pallé, L. Nortmann, F. Murgas, H. Parviai-nen, and G. Nowak, Astron. and Astrophys. 600, L11 (2017).
- D. Yan, K. Seon, J. Guo, G. Chen, and L. Li, Astrophys. J. 936, 177 (2022).
- C. Huang, P. Arras, D. Christie, and Z.-Y. Li, Astrophys. J. 851, 150 (2017).
- I. Shaikhislamov, M. Khodachenko, H. Lammer, A. Be-rezutsky, I. Miroshnichenko, and M. Rumenskikh, Monthly Not. Roy. Astron. Soc. 481, 5315–5323 (2018).
- I. Shaikhislamov, M. Khodachenko, H. Lammer, A. Be-rezutsky, I. Miroshnichenko, and M. Rumenskikh, Monthly Not. Roy. Astron. Soc. 491, 3435–3447 (2020).
- I. Miroshnichenko, I. Shaikhislamov, A. Berezutskii, M. Rumenskikh, and E. Vetrova, Astronomy Reports 65, 61–69 (2021).
- M. Khodachenko, I. Shaikhislamov, H. Lammer, A. Be-rezutsky, I. Miroshnichenko, M. Rumenskikh, K. Kislyakova, and N. Dwivedi, Astrophys. J. 885, 67 (2019).
- V. Bourrier and A. L. Des Etangs, Astron. and Astrophys. 557, A124 (2013).
- Z. Zheng and J. Miralda-Escudé, Astrophys. J. 578, 33 (2002).
Supplementary files








