Analysis of the Parameters of Radio Pulsars with Giant Pulses Using the Principal Component Analysis
- Autores: Malov I.F.1, Malov O.I.1
-
Afiliações:
- Pushchino Radio Astronomy Observatory of the Astro Space Center, Lebedev Physical Institute, Russian Academy of Sciences
- Edição: Volume 100, Nº 3 (2023)
- Páginas: 272-280
- Seção: Articles
- URL: https://ogarev-online.ru/0004-6299/article/view/139072
- DOI: https://doi.org/10.31857/S0004629923030052
- EDN: https://elibrary.ru/PNYBNP
- ID: 139072
Citar
Texto integral
Resumo
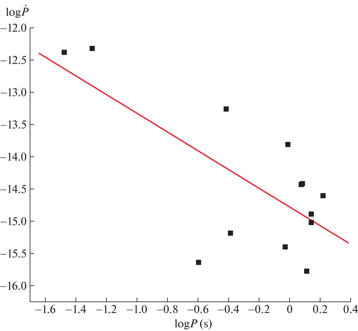
Clustering of radio pulsars with observable giant pulses (GPs) has been carried out using the principal component analysis. Five parameters were used (period, its derivative, observed luminosity, kinematic age, and the angle between the rotation axis and the magnetic moment of the central neutron star). It was shown that the set of all known GP pulsars is divided into two clusters in the phase space of the principal components. One of the clusters contains four pulsars with short periods and high luminosity; the second cluster contains nine long-period and fainter sources. A separate object, not included in these two clusters, is the pulsar in the Crab Nebula. Possible models that could explain the observed difference between GP pulsars were considered.
Palavras-chave
Sobre autores
I. Malov
Pushchino Radio Astronomy Observatory of the Astro Space Center, Lebedev Physical Institute, Russian Academy of Sciences
Email: malov@prao.ru
Pushchino, Russia
O. Malov
Pushchino Radio Astronomy Observatory of the Astro Space Center, Lebedev Physical Institute, Russian Academy of Sciences
Autor responsável pela correspondência
Email: malov@prao.ru
Pushchino, Russia
Bibliografia
- J. M. Cordes, N. D. R. Dhat, T. H. Hankins, et al., Astrophys. J. 612, 375 (2004).
- S. W. Ellingson, T. E. Clarke, J. Craig, et al., Astrophys. J. 768, 136 (2013).
- T. H. Hankins, G. Jones, and J. A. Eilek, Astrophys. J. 802, 130 (2015).
- R. N. Manchester, J. B. Hobbs, A. Teoh, and M. Hobbs, Astron. J. 129, 1993 (2005).
- D. H. Staelin and J. M. Sutton, Nature 226, 69 (1970).
- T. H. Hankins and J. A. Eilek, Astrophys. J. 670, 693 (2007).
- T. H. Hankins, J. S. Kern, J. C. Weatherall, and J. A. Eilek, Nature 422, 141 (2003).
- M. V. Popov and B. Stappers, Astron. and Astrophys. 470, 1003 (2007).
- S. C. Lundgren, J. N. Cordes, M. Ulmer, et al., Astrophys. J. 453, 433 (1995).
- A. Kinkhabvala and S. E. Thorsett, Astrophys. J. 535, 365 (2000).
- И. Ф. Малов, Астрон. журн. 99, 15 (2022).
- W. Wang et al., ArXiv, 1805.00139.
- Б. Дюран, П. Оделл, Кластерный анализ (М., “Статистика”, 1977).
- В. В. Налимов, Теория эксперимента (М., “Наука”, 1971).
- A. K. Harding, L. Conotopoulos, and D. Kazanas, Astrophys. J. 525, L125 (1999).
- Q.-H. Peng, K.-L. Huang, and J.-H. Huang, Astron. and Astrophys. 107, 258 (1982).
- J.-H. Huang, et al., Astron. and Astrophys. 113, 9 (1982).
- И. Ф. Малов, О. И. Малов, Астрон. журн. 74, 63 (1997).
- S. A. Petrova, Astron. and Astrophys. 424, 227 (2014).
- Ya. N. Istomin, Proc. IAU Symp. 218, 369 (2004).
- V. M. Kontorovich, Journal of Physical Science and A-pplication. 5, 48 (2009).
- G. Machabeli, N. Chkheidze, and I. Malov, Astrophys. Space Sci. 364, 40 (2019).
Arquivos suplementares







