Vertical turbulent fluxes of aerosol and heat in a desertified area during intermittent emission of dust aerosol
- Authors: Gorchakov G.I.1, Karpov A.V.1, Gushchin R.A.1, Datsenko O.I.1, Kurbatov G.A.1
-
Affiliations:
- Obukhov Institute of Atmospheric Physics RAS
- Issue: Vol 61, No 1 (2025)
- Pages: 111-120
- Section: Articles
- URL: https://ogarev-online.ru/0002-3515/article/view/293934
- DOI: https://doi.org/10.31857/S0002351525010086
- EDN: https://elibrary.ru/HEXNDK
- ID: 293934
Cite item
Full Text
Abstract
According to measurements in September 2021 in a desertefied area in the Astrakhan region components of wind speed, air temperature and concentration of aerosol particles in the surface layer of the atmosphere, vertical heat turbulent fluxes and dust aerosol were determined. A statistical analysis of variations in meteorological parameters and aerosol particle concentrations was performed. The temporal variability of the horizontal and vertical components of wind speed, air temperature and aerosol particle concentration was analyzed using spectral analysis. A comparison has been made of the empirical distribution functions of heat flux density and the temporal variability of the rate of heat removal from the underlying surface according to synchronous measurements using acoustic weather stations Meteo-2 and Metek. Significant differences in the spatiotemporal variability of the vertical turbulent transfer of heat and dust aerosol in a desertified area were revealed. The 30-minute average values of the friction velocity, the Monin-Obukhov scale, turbulent heat fluxes (90–160 W/m2) and dust aerosol (7.2–27.5 cm–2 s–1), as well as the heat removal rate (14–21 cm/s) and dust aerosol (10–16 cm/s) from the underlying surface. It is shown that the temporal variability of the dust aerosol flux density is caused by a superposition of convective “low-frequency” movements with a scale of approximately 3–15 minutes and “high-frequency variations with a duration of less than approximately 10 s.”
Full Text
1. ВВЕДЕНИЕ
Опустыненные территории являются основным источником пылевого аэрозоля, который прямо и косвенно влияет на радиационный режим атмосферы [Mahowald et al., 2014; Miller et al., 1998] в глобальном масштабе, на процессы в биосфере [Krishnamurthy et al., 2010] и на здоровье населения [Brunekreef et al., 2002]. Пылевой аэрозоль на опустыненных территориях образуется на подстилающей поверхности под воздействием сальтирующих частиц [Alfaro et al., 2007] (сальтация — скачкообразное перемещение песчинок [Bagnold, 1941]). В конвективных условиях часто реализуется режим всплесковой или перемежающейся (intermittent) сальтации [Stout et al., 1997], который в некоторых случаях может оказаться квазипериодическим [Горчаков и др., 2023]. Очевидно, что при всплесковой сальтации в ветропесчаном потоке возникает всплесковая эмиссия пылевого аэрозоля, что приводит к «низкочастотной» (конвективно обусловленной) модуляции вертикального турбулентного потока аэрозоля.
Процессы переноса в конвективном пограничном слое атмосферы до сих пор недостаточно изучены [Берлянд, 1975; Бызова и др., 1989; Обухов, 1998; Kader et al., 1990; Алоян, 2009; Kaimal et al., 1976; Gryanik et al., 2002; Вазаева и др., 2019; Li et al., 2014; Maher et al., 2010; Белоцерковский и др., 2000; Vulfson et al., 2024], поэтому экспериментальные исследования на опустыненных территориях потоков тепла и аэрозоля представляют большой интерес. В настоящей работе представлены результаты измерений на опустыненной территории вертикальных турбулентных потоков аэрозоля и тепла в конвективных условиях при всплесковой эмиссии пылевого аэрозоля. Отметим, что ранее нами были выполнены измерения на опустыненной территории вертикальных турбулентных потоков пылевого аэрозоля в условиях квазинепрерывной эмиссии пылевого аэрозоля с использованием корреляционного метода [Горчаков и др., 2020; Карпов и др., 2021].
В разделе 2 приведены основные сведения об используемых в настоящей работе результатах измерений компонент скорости ветра, температуры воздуха и концентрации частиц пылевого аэрозоля на опустыненной территории. Кратко охарактеризован используемый нами метод измерения потоков тепла и аэрозоля.
В разделе 3 проанализированы вариации горизонтальной и вертикальной компонент скорости ветра, температуры воздуха и концентрации частиц пылевого аэрозоля по данным измерений на опустыненной территории.
Представлены результаты определения параметров турбулентности, включая динамическую скорость и масштаб Монина-Обухова.
Результаты анализа временной изменчивости вертикальных турбулентных потоков аэрозоля и тепла в условиях всплесковой эмиссии пылевого аэрозоля представлены в разделе 4.
В разделе 5 по данным синхронных измерений в 2010 г. с помощью трех акустических метеостанций оценено влияние временного разрешения на результаты измерений вертикальных турбулентных потоков тепла.
В Заключении (раздел 6) сформулированы основные результаты работы.
2. ИСПОЛЬЗУЕМЫЕ ДАННЫЕ И МЕТОДЫ
Вертикальные турбулентные потоки тепла и пылевого аэрозоля рассчитаны по данным синхронных измерений в приземном слое атмосферы на высоте 3 м на опустыненной территории в Астраханской обл. компонент скорости ветра и температуры воздуха с помощью акустической метеостанции Метео-2 (Институт оптики атмосферы СО РАН, г. Томск) с частотой примерно 11 Гц и концентрации частиц пылевого аэрозоля с размерами от 0.5 до 5.0 мкм с помощью фотоэлектрического счетчика частиц ОАЭС-05 (НИФХИ, г. Москва) в августе-сентябре 2021 г. В работе представлены результаты измерений в конвективных условиях при всплесковой эмиссии пылевого аэрозоля 09.09.2021 в период с 10:00 до 15:00.
С целью оценки влияния вариаций временного разрешения на результаты определения вертикальных турбулентных потоков тепла в работе использованы результаты синхронных измерений на опустыненных территориях вблизи реки Волга компонент скорости ветра и температуры воздуха в приземном слое атмосферы на высоте 3 м с помощью двух акустических метеостанций Метео-2 (ИОА СО РАН, г. Томск, частота измерений – 11 Гц) и акустической метеостанции Metek (Германия, 50 Гц) в августе 2010 г.
Как правило, вертикальные турбулентные потоки аэрозоля определяются градиентными методами, применимость которых в конвективных условиях нуждается в дополнительном обосновании. В настоящей работе потоки тепла и аэрозоля определялись корреляционным методом, который использовался нами впервые при исследовании вертикальных турбулентных потоков пылевого аэрозоля в Приаралье [Gorchakov et al., 2002].
3. ВАРИАЦИИ СКОРОСТИ ВЕТРА, ТЕМПЕРАТУРЫ ВОЗДУХА И КОНЦЕНТРАЦИИ ЧАСТИЦ ПЫЛЕВОГО АЭРОЗОЛЯ
На рис. 1 показаны результаты синхронных измерений 09.09.2021 в приземном слое атмосферы в конвективных условиях на опустыненной территории вблизи р. Волга в Астраханской обл. горизонтальной (1) и вертикальной (2) компонент скорости ветра, температуры воздуха (5) и концентрации частиц аэрозоля (6) на высоте 3 м. Флуктуации вертикальной компоненты скорости ветра и температуры воздуха сглажены на скользящем интервале 1 мин. На временном ходе горизонтальной компоненты скорости ветра отчетливо проявляется ее конвективно обусловленная низкочастотная изменчивость (рис. 1а). Красной прямой линией показана пороговая скорость сальтации V0 = 5.5 м/с, которая близка к средней скорости ветра = 5.7 м/с в рассматриваемый нами период времени. Благодаря нелинейной связи интенсивности сальтации со скоростью ветра низкочастотная изменчивость на концентрации частиц пылевого аэрозоля выражена сильнее, чем на горизонтальной компоненте скорости ветра. Всплесковой режим эмиссии позволил оценить и учесть вклад в среднем медленно меняющейся концентрации частиц фонового аэрозоля (9 на рис. 1б).
Рис. 1. Временная изменчивость 09.09.2021 (а) горизонтальной (1) и вертикальной (2) компонент скорости ветра, дисперсии (3) вертикальной компоненты скорости ветра, динамической скорости (4), (б) температуры воздуха (5), концентрации частиц пылевого аэрозоля (6), масштаба Монина-Обухова (7) и дисперсии температуры воздуха (8). Обозначения: 9 – концентрация частиц фонового аэрозоля, 10 и 11 – кусочно-линейная аппроксимация тренда температуры, 12 – точка перегиба на аппроксимирующей кривой
В период с 10:00 до 13:00 наблюдался рост средней температуры воздуха со скоростью 0.6 град/ч (10 на рис. 1б) и скоростью 0.12 град/ч (11 на рис. 1б) в период с 13:30 до 15:00 (12 – точки перегиба кусочно-линейной аппроксимации тренда температуры). Указанный тренд учитывался при выделении из временного хода T(t) флуктуаций температуры T´(t). Рассчитаны статистические характеристики вариаций компонент скорости ветра, температуры воздуха и концентрации частиц пылевого аэрозоля (таблица) при временном разрешении 0.09 с и 60 с для компонент скорости ветра, температуры воздуха и при временном разрешении 1 с и 60 с для концентрации частиц аэрозоля. На рис. 2 показаны эмпирические функции распределения (ЭФР) вышеуказанных параметров. ЭФР горизонтальной компоненты скорости ветра отличается малыми значениями асимметрии и эксцесса (таблица), что близко к нормальному распределению (рис. 2а). В случае ЭФР вертикальной компоненты скорости ветра (рис. 2б) эксцесс для исходных данных достигает 1.06. Значительные отклонения от нормального распределения наблюдаются для ЭФР флуктуаций температуры воздуха. ЭФР концентрации частиц отличается большими значениями асимметрии и эксцесса (рис. 2г), что характерно для логонормального и гамма-распределения.
Таблица. Статистические характеристики вариаций горизонтальной компоненты скорости ветра, флуктуации вертикальной компоненты скорости ветра и температуры воздуха и концентрации частиц аэрозоля
Статистические характеристики | V, м/с | w΄, м/с | T΄,°С | N, см–3 | ||||
Время оср., c | 0.09 | 60 | 0.09 | 60 | 0.09 | 60 | 1.0 | 60 |
Средние | 5.70 | 5.70 | 0.0 | 0.0 | 0.0 | 0.0 | 2.44 | 2.44 |
Стандартное отклонение | 1.40 | 1.18 | 0.35 | 0.08 | 0.55 | 0.30 | 2.22 | 1.71 |
Максимальные значения | 11.7 | 9.36 | 2.9 | 0.21 | 3.2 | 0.50 | 26.3 | 14.73 |
Минимальные значения | 0.2 | 2.46 | –2.13 | –0.23 | –1.33 | –0.52 | 0.2 | 0.80 |
Коэффициент вариаций | 0.25 | 0.21 | – | – | – | – | 0.91 | 0.70 |
Асимметрия | 0.13 | –0.11 | 0.24 | 0.1 | 1.05 | 0.07 | 3.40 | 2.86 |
Эксцесс | 0.09 | 0.15 | 1.06 | –0.06 | 1.15 | –0.38 | 16.3 | 12.3 |
Рис. 2. Эмпирические функции распределения горизонтальной (а) и вертикальной (б) компонент скорости ветра, флуктуаций температуры воздуха (в) и концентрации частиц пылевого аэрозоля (г)
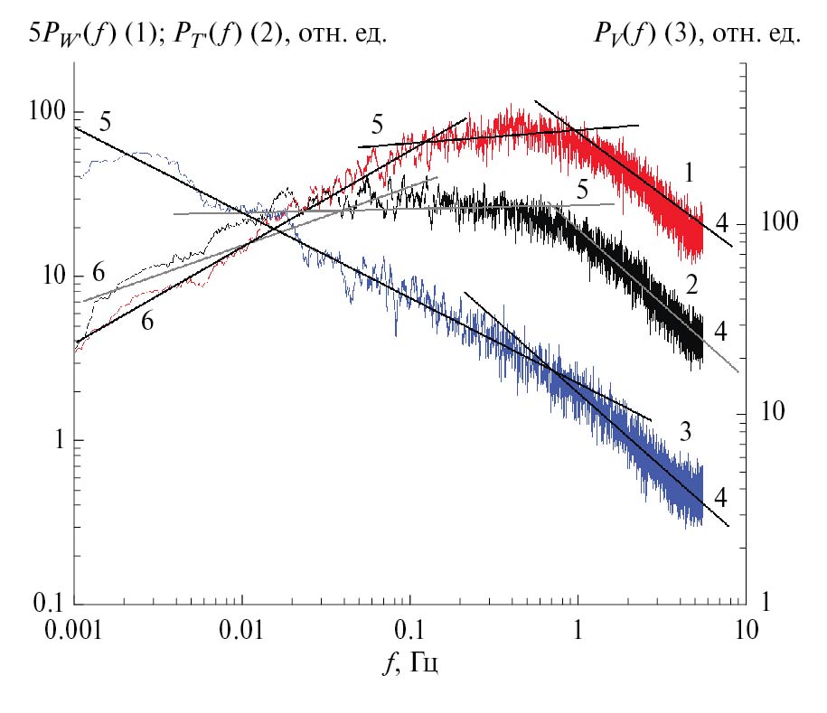
Важную количественную информацию о вариациях метеорологических параметров можно получить методом спектрального анализа. На рис. 3 показаны функции где S – спектральная плотность мощности флуктуаций и f – частота, для вертикальной компоненты скорости ветра (1), температуры воздуха (2) и горизонтальной компоненты скорости ветра (3). В первом приближении для описания спектров P(f) с удовлетворительной точностью может быть использованы кусочно-степенные аппросимации. На частотах выше f = 0.7–1 Гц все три спектра P(f) описывается степенными функциями Сf ‒K1, где С – константа. Показатель степени K1 для всех трех рассматриваемых спектров составляет 0.70–0.71, что близко к его значению 2/3 для локально изотропной турбулентности. Спектр PV(f) (3 на рис. 3а) в области f < f1 аппроксимируется степенной функцией с показателем K2 = 0.45 (5 на рис. 3б). На спектре PV(f) отчетливо проявляются конвективно обусловленные максимумы и минимумы в диапазоне частот 0.001–0.1 Гц.
Рис. 3. Спектры флуктуаций вертикальной компоненты скорости ветра (1), температуры воздуха (2) и горизонтальной компоненты скорости ветра (3). Обозначения: 4, 5, 6 – фрагменты кусочно-степенной аппроксимации спектров
Низкочастотная часть спектров Pw(f) и PT(f) (6 на рис. 3б) аппроксимирована степенными спектрами в области f < 0.1 Гц с показателями –0.57 и –0.62, что свидетельствует о сравнительно быстром снижении мощности флуктуаций с уменьшением частоты. В промежуточной области, которая включает сравнительно небольшой диапазон частот между f1 и f2 аппроксимирующие спектры Pw(f) и PT(f) слабо зависят от частоты (K3 = –0.2 и –0.05).
Вертикальный перенос аэрозоля и тепла в конвективном пограничном слое атмосферы определяется режимом турбулентности. По данным измерений турбулентных пульсаций компонент скорости ветра и температуры воздуха были рассчитаны параметры турбулентности, включая динамическую скорость u* (4 на рис. 1), масштаб Монина-Обухова (7 на рис. 1), дисперсию флуктуаций вертикальной компонент скорости ветра (3 на рис. 1а) и дисперсию флуктуаций температуры (8 на рис. 1б). Расчеты параметров турбулентности выполнены для 30-минутных интервалов (выделены на рис. 1 вертикальными пунктирными линиями), что позволило получить достаточно устойчивые оценки параметров турбулентности.
В период проведения измерений (с 10:00 до 15:00) дисперсия температуры воздуха менялась в пределах от 0.20 до 0.42 (°С)2 (среднее значение 0.32), а дисперсия вертикальной компоненты скорости ветра – от 0.08 до 0.14 м2/с2. Динамическая скорость u* варьировала от 0.13 до 0.22 (средняя 0.17 м/с), а масштаб Монина-Обухова L от –1.9 до –9.1 м (в среднем –4.1), что характерно для конвективных условий. Отметим, что средние значения горизонтальной компоненты скорости ветра для 30-минутных интервалов менялись от 4.37 до 6.32 м/с, а концентрация частиц пылевого аэрозоля от 0.45 до 2.26 см‒3 (средняя 1.19 см‒3).
4. ТУРБУЛЕНТНЫЕ ПОТОКИ ТЕПЛА И АЭРОЗОЛЯ
Вертикальный турбулентный поток аэрозоля
, (1)
где t – время, флуктуациями концентрациями частиц аэрозоля и вертикальной компоненты скорости ветра, и – средние значения N и w за период осреднения τ и g(t) – плотность потока аэрозоля.
Результаты определения g(t) представлены на рис. 4а (кривая 1). Нетрудно видеть, что g(t) представляет собой последовательность всплесков различной длительности и интенсивности. Для любого фиксированного момента времени пространственное распределение плотности потока аэрозоля в условиях его всплесковой эмиссии оказывается весьма неоднородным. Поэтому представляют интересы потоки аэрозоля при достаточно большом времени осреднения. Анализ показал, что оптимальное время осреднения составляет примерно 30 мин. Были рассчитаны вертикальные турбулентные потоки аэрозоля для отмеченных на рис. 1 и рис. 4 десяти 30-минутных интервалов. Оказалось, что указанные потоки варьирует в пределах от 7.2 до 27.5 см–2с–1 (среднее значение 15.9 см–2с–1). Были также рассчитаны нормированные потоки или скорости выноса пылевого аэрозоля с подстилающей поверхности (2 на рис. 4)
, (2)
где – средние значения концентрации для 30-минутных интервалов. Оказалось, что WN меняется в пределах от 10 до 16 см/с (среднее 13.7 см/с).
Рис. 4. Временная изменчивость (а) плотности потока (1) и скорости выноса (2) аэрозоля и (б) плотности потока тепла (3) и скорости выноса тепла (4) с подстилающей поверхности
Для режима квазинепрерывной эмиссии пылевого аэрозоля [Горчаков и др., 2020; Карпов и др., 2021] WN = 4–5 см/с.
В конвективном пограничном слое процессы вертикального переноса в значительной степени определяются суперпозициями конвективных движений разных масштабов. Всплески эмиссии пылевого аэрозоля (bursts) на опустыненной территории определяются порывами горизонтальной компоненты скорости ветра (рис. 4а) с длительностью примерно от 3 до 15 мин. Они представляют собой последовательности коротких выбросов (spikes) с длительностью примерно от 1 до 10 с (рис. 5).
Рис. 5. Плотность потока аэрозоля при всплесковой эмиссии в период с 14:20 до 15:20
Таким образом, временная изменчивость плотности потока пылевого аэрозоля в рассматриваемом нами случае определяется суперпозицией «низкочастотных» конвективных движений с временными масштабами от 3 до 15 мин и «высокочастотных» вариаций с длительностью меньше примерно 10 с.
Турбулентный поток тепла Q является одним из основных параметров турбулентности [Обухов, 1998]. Он определяется через плотность потока температуры
(3)
Результаты определения g(t) в рассматриваемый нами период времени показаны на рис. 4 (кривая 3). Нетрудно видеть, что плотность потока g(t) промодулирована пульсациями T и w, которые не прекращаются в периоды отсутствия всплесков эмиссия пылевого аэрозоля.
Для вышеупомянутых 30-минутных интервалов времени были рассчитаны турбулентные потоки тепла
(4)
где ρ – плотность воздуха и cp – теплоемкость при постоянном давлении. Расчеты показали, что поток Q варьирует в пределах от 90 до 158 Вт/м2 (среднее значение 126 Вт/м2).
Для оценки нормированного турбулентного потока тепла или скорости выноса тепла из приземного слоя атмосферы (4 на рис. 4a) воспользуемся соотношением
(5)
где σT – стандартное отклонение для температуры воздуха, которое менялось в переделах от 14 до 21 см/с (в среднем 18.5 см/с). – средние потоки температуры для 30-минутных интервалов. Нормированные турбулентные потоки аэрозоля и тепла при всплесковой эмиссии пылевого аэрозоля рассматриваемый в период времени по порядку величины сравнимы друг с другом. Отметим, что временной ход WH заметно отличается от временного хода WN.
Временная изменчивость плотности турбулентного потока тепла представляет собой квазинепрерывной процесс с пульсациями длительностью от доли секунды до 3–5 мин (рис. 4б) с широким максимумом в области от 0.1 до 1 Гц, что обусловлено особенностями спектров пульсацией вертикальной компоненты скорости ветра и температуры воздуха (рис. 3).
5. О ВЛИЯНИИ ВРЕМЕННОГО РАЗРЕШЕНИЯ НА ОЦЕНКУ ТУРБУЛЕНТНЫХ ПОТОКОВ ТЕПЛА
Важную информацию об изменчивости плотности турбулентного потока тепла несет его эмпирическая функция распределения. На рис. 6а представлена ЭФР потока температуры для рассматриваемого нами периода времени. Указанная ЭФР отличается «острым» максимумом вблизи нуля. Видно, что основной вклад в суммарный поток вносит значение плотности потока в диапазоне примерно от –0.1 до +0.3°С м/с (рис. 6а). Вклад значений плотности потока, которые превышают 0.3°С м/с сравнительно невелик, что определяется их малой вероятностью.
Рис. 6. Эмпирические функции распределения плотности потока температуры по данным измерений в 2021 г. с временным разрешением 0.09 с (а) и в 2010 г. с временным разрешением 0.02 с (б)
В августе 2010 г. нами были выполнены синхронные измерения плотности турбулентного тепла на опустыненной территории в Астраханской обл. с помощью акустической метеостанции Metek (Германия) и двух акустических метеостанций Метео-2 в приземном слое атмосферы на высоте 3 м. На рис. 6б показана ЭФР плотности потока температуры с помощью метеостанции Metek. При этом максимальные и минимальные значения плотности потока достигали +0.66 и –0.22°С м/с. Представленные на рис. 6а и рис. 6б ЭФР плотности потока подобны друг другу.
По данным вышеуказанных измерений были рассчитаны потоки температуры с помощью метеостанции Metek (частота 50 Гц) (1 на рис. 7) и двух метеостанций Метео-2 (частота 11 Гц) (2 и 3 на рис. 7). Результаты определения потоков температуры из приземного слоя атмосферы с удовлетворительной точностью согласуются с друг с другом. Измерения потока тепла проводились в вечернее время (17.08.2010 в период с 18:00 до 18:10), когда знак потока тепла может меняться.
Рис. 7. Временная изменчивость турбулентного потока температуры 17.08.2010 по данным синхронных измерений с помощью акустических метеостанций Метео-2 (1 и 2) и метеостанции Metek (3)
Нами построены эмпирические функции распределения плотности потока температуры по данным измерений на опустыненной территории в Астраханской обл. (см. рис. 6) с частотой 11 Гц (акустическая метеостанция Метео-2) 09.09.2021 (а) и с частотой 50 Гц (б) 17.08.2010 (акустическая метеостанция Metek), которые оказались качественно подобными друг другу.
6. ЗАКЛЮЧЕНИЕ
Выполнены синхронные измерения на опустыненной территории в приземном слое атмосферы на высоте 3 м компонент скорости ветра, температуры воздуха и суммарный концентрации частиц пылевого аэрозоля с размерами от 0.5 до 5.0 мкм в условиях его всплесковой эмиссии. Рассчитаны статистические характеристики турбулентных пульсаций (флуктуаций) горизонтальной и вертикальной компонент скорости ветра, температуры воздуха и концентрации частиц пылевого аэрозоля. Представлены эмпирические функции распределения вышеуказанных величин.
С использованием спектрального анализа выявлены основные особенности временной изменчивости метеопараметров и концентрации частиц пылевого аэрозоля. Для 30-минутных интервалов определены параметры турбулентности, включая динамическую скорость и масштаб Монина–Обухова.
Определены плотности потоков тепла и аэрозоля. Для 30-минутных интервалов рассчитаны потоки тепла и пылевого аэрозоля, а также нормированные потоки или скорости выноса аэрозоля и тепла, которые согласуются друг с другом по порядку величины. Показано, что в условиях всплесковой эмиссии пылевого аэрозоля временная и пространственная изменчивость плотности турбулентных потоков тепла и пылевого аэрозоля существенно отличаются друг от друга.
Установлено, что временная изменчивость плотности потока пылевого аэрозоля определяется суперпозицией конвективных движений разных масштабов: «низкочастотных» с временными масштабами от 3 до 15 мин и «высокочастотных» с длительностью меньше 10 с.
Выполнено сопоставление результатов определения вертикальных турбулентных потоков тепла с помощью двух типов акустических метеостанций.
Показано, что результаты определения нормированного потока тепла акустическими метеостанциями с частотой измерений скорости ветра и температуры воздуха 11 и 50 Гц с удовлетворительной точностью согласуются друг с другом.
БЛАГОДАРНОСТИ
Авторы благодарят Г.С. Голицына за полезные советы.
ФИНАНСИРОВАНИЕ
Работа выполнена при поддержке Российского научного фонда (грант 20-17-00214).
About the authors
G. I. Gorchakov
Obukhov Institute of Atmospheric Physics RAS
Author for correspondence.
Email: gengor@ifaran.ru
Russian Federation, Pyzhevsky per., 3, bld. 1, Moscow, 119017
A. V. Karpov
Obukhov Institute of Atmospheric Physics RAS
Email: gengor@ifaran.ru
Russian Federation, Pyzhevsky per., 3, bld. 1, Moscow, 119017
R. A. Gushchin
Obukhov Institute of Atmospheric Physics RAS
Email: gengor@ifaran.ru
Russian Federation, Pyzhevsky per., 3, bld. 1, Moscow, 119017
O. I. Datsenko
Obukhov Institute of Atmospheric Physics RAS
Email: gengor@ifaran.ru
Russian Federation, Pyzhevsky per., 3, bld. 1, Moscow, 119017
G. A. Kurbatov
Obukhov Institute of Atmospheric Physics RAS
Email: gengor@ifaran.ru
Russian Federation, Pyzhevsky per., 3, bld. 1, Moscow, 119017
References
- Алоян А.Е. Моделирование динамики и кинетики газовых примесей и аэрозолей в атмосфере // М.: Наука, 2008. 416 с.
- Белоцерковский О.М., Андрущенко В.А., Шевелев Ю.Д. Динамика пространственных вихревых течений в неоднородной атмосфере. М.: Янус-К, 2000. 456 с.
- Берлянд М.Е. Современные проблемы атмосферной диффузии и загрязнения воздуха. Л.: Гидрометео-издат, 1975. 448 с.
- Бызова Н.Л., Иванов В.И., Гаргер Е.К. Турбулентность в пограничном слое атмосферы. Л.: Гидрометео-издат, 1989. 263 с.
- Вазаева Н.В., Чхетиани О.Г., Максименков Л.О. Организованная валиковая циркуляция и перенос минеральных аэрозолей в атмосферном пограничном слое // Изв. РАН. Физика атмосферы и океана. 2019. Т. 55, № 2. С. 17–31.
- Горчаков Г.И., Карпов А.В., Гущин Р.А. Турбулентные потоки пылевого аэрозоля на опустыненной территории // Доклады РАН. Науки о Земле, 2020, Т. 494. № 2. С. 53–57.
- Горчаков Г.И., Чхетиани О.Г., Карпов А.В., Гущин Р.А., Даценко О.И. Квазипериодическая эмиссия пылевого аэрозоля на опустыненной территории // Метеорология и гидрология. 2023. №8. С. 62–73.
- Карпов А.В., Горчаков Г.И., Гущин Р.А., Даценко О.И. Вертикальные турбулентные потоки пылевого аэрозоля // Изв. РАН. Физика атмосферы и океана. 2021. Т. 57. № 5. С. 565–574.
- Обухов А.М. Турбулентность и динамика атмосферы. Л.: Гидрометеоидат, 1998. 914 с.
- Alfaro S.C., Gaudichet A., Gomes L., Maille M. Modeling the size distribution of a soil aerosol produced by sandblasting // J. Geophys. Res. 1997. V. 102. P. 11239–11249.
- Bagnold R.A. The Physics of Blown Sand and Desert Dunes. London: Methuen, 1941. 265 р.
- Brunekreef B., Holgate S.T. Air pollution and health. Lancet. 2002. V.360. P.1233–1242.
- Gorchakov G.I., Koprov B.M., Shukurov K.A. Vertical turbulent aerosol fluxes over desertized areas // Izvestiya. Atmospheric and Oceanic Physics. 2002. V. 38. Suppl. 1. P. S138–S147.
- Gryanik V.M., Hartmann J. A Turbulence Closure for the Convective Boundary Layer based on a two-scale mass-flux approach // J. Atm. Sci. 2002. V. 59. № 18. P. 2729–2744.
- Kader B.A., Yaglom A.M. Mean fields and fluctuation moments in unstably stratified turbulent boundary layers // J. Fluid Mech. 1990. V. 212. P. 637–662.
- Kaimal J.C., Wyngaard J.C., Haugen D.A., Cote O.R., Izumi Y., Caughey S.J. Readings C.J. Turbulence Structure in the Convective Boundary Layer // J. Atm. Sci. 1976. V. 33. № 11. P. 2152–2169.
- Krishnamurthy A., Moore J.K., Mahowald N., Luo C., Zender C.S. Impacts of atmospheric nutrient inputs on marine biogeochemistry // J. Geophys. Res. 2010. 115. No G1, G01006.
- Li X.Y., Klose M., Shao Y., Zhang H.S. Convective Turbulent Dust Emission (CTDE) Observed over Horqin Sandy Land Area and Validation of a CTDE Scheme // J. Geophys Res. V. 119. P. 9980–9992.
- Maher B.A., Prospero J.D., Mackie D. Global connections between aeolian dust, climate and ocean biogeochemistry at the present day and at the last glacial maximum // Earth Sci. Rev. 2010. V. 99. P. 61–97.
- Mahowald N., Albani S., Kok J.F., Engelstalder S., Scara R., Ward D.S., Flanner M.C. The size distribution of desert dust aerosols and its impact on the Earth system // Aeolian Research. 2014. V. 15. P. 53–71.
- Miller R.L. Tegen I. Climate Response to Soil Dust Aerosols // J. Climate.1998. V. 11. P. 3247–3267.
- Stout J.E., Zobec T.M. Intermittent saltation // Sedimentology. 1997. V. 44. P. 959–970.
- Vulfson A.N., Nikolaev P.V. Classical and local similarity in problems of turbulent convection: Extension of Prandtl semi-empirical theory for horizontal layers of water and air mediums // Physics of Fluids. 2024. V. 36. P. 026612.
Supplementary files










