Deep Penetrating Cooling in the Black Sea as a Reaction to Cold Air Intrusions in Winter
- Authors: Efimov V.V.1, Yarovaya D.A.1, Komarovskaya O.I.1
-
Affiliations:
- Marine Hydrophysical Institute of the RAS
- Issue: Vol 60, No 5 (2024)
- Pages: 667-678
- Section: Articles
- URL: https://ogarev-online.ru/0002-3515/article/view/282066
- DOI: https://doi.org/10.31857/S0002351524050081
- EDN: https://elibrary.ru/HXUCPE
- ID: 282066
Cite item
Full Text
Abstract
We study the reaction of the Black Sea upper layer, and in particular the cold intermediate layer (CIL), to intense wind forcing during cold air intrusions (CAIs) in winter. Using atmospheric reanalysis ERA5 and marine reanalysis Copernicus, we obtained joint distributions of surface wind speed and water temperature differences at various depths for the period of 2000–2020. It is shown that reaction time of the sea upper layer to such extreme weather event as CAI is about 2 days. Also, it is shown that CAI influence extends to great depths, up to 60–70 m. Using coupled mesoscale sea-atmosphere model, we investigated the cooling mechanisms of the sea upper layer during the CAI case in January, 23–25, 2010. Two sensitivity experiments with suppressed air-sea interaction were performed. In the first experiment, sensible and latent heat fluxes from the sea surface were switched off. In the second experiment, wind shear stress at the sea surface was switched off. It is shown that the main reason for temperature decrease in the upper mixed layer was sea surface cooling due to sensible and latent heat fluxes. And the mechanism of deep cooling, that penetrates to the pycnocline, was vertical turbulent mixing caused by wind waves breaking and shear instability. In the first experiment, temperature decrease was insignificant; it was caused mainly by the entrainment of cold water from the CIL through the lower boundary of the mixed layer. In the second experiment, temperature decrease was as significant as in the control run. It is shown that after switching off wind shear stress in the second experiment turbulent mixing in the upper quasi-homogeneous layer of the sea changed fundamentally. In order to compensate the decrease of turbulence intensity and provide the same vertical heat flux as in the control run, the spatial vertical scale of turbulent eddies increased.
Full Text
ВВЕДЕНИЕ
Вторжение холодного воздуха (ВХВ) в атмосферу над морем — типичное явление для Черноморского региона в зимний период. Обычно такие случаи соответствуют прохождению холодного фронта через северную границу региона и сопровождаются повышением скорости приводного ветра до 10–15 м/с и понижением температуры воздуха до –10…–5 °С. В результате в холодном атмосферном пограничном слое над относительно теплым морем, температура поверхности которого зимой составляет 5–9 °С, развивается интенсивная конвекция, представленная на спутниковых снимках в виде ячеистой или валиковой облачности [Ефимов и др., 2014; Баянкина и др., 2017; Сизов и др., 2019].
Реакция самого Черного моря на такие случаи включает в себя понижение температуры и значительное заглубление верхнего квазиоднородного слоя (ВКС), развитие сильного ветрового волнения и ветровых течений. Эпизоды ВХВ способствуют развитию такой интересной и важной особенности термохалинной структуры моря как холодный промежуточный слой (ХПС) — минимум температуры воды на глубинах 50–70 м. Считается, что ХПС в областях циклонических круговоротов открытого моря формируется в результате зимней конвекции в условиях больших потоков явного и скрытого тепла с поверхности [Овчинников и др., 1987; Пиотух и др., 2011]. В качестве второй, менее важной, причины формирования ХПС рассматривается адвективный перенос холодных вод из мелководного северо-западного района на юг системой Основного черноморского течения [Коротаев и др., 2014; Куклев и др., 2019]. Современное состояние изученности ХПС хорошо представлено, например, в работах [Stanev et al., 2019; Miladinova et al., 2018].
Отметим, что на развитие глубокой конвекции в ходе зимнего выхолаживания Черного моря влияют и другие физические процессы, как правило сопровождающие случаи интенсивного ВХВ: в условиях больших скоростей ветра, ветровых течений и обрушивающихся поверхностных волн конвекция, связанная со статической неустойчивостью в верхнем слое моря может не развиваться. С учетом этого режим охлаждения приповерхностного слоя Черного моря в зимний период лишь условно можно отнести к режиму глубокой проникающей конвекции. В любом случае развитие глубокого проникающего охлаждения в осенне-зимний период требует дальнейшего изучения с использованием совместной численной модели, учитывающей процессы взаимодействия моря и атмосферы.
Описанию черноморского ХПС непосредственно по данным морских измерений уделялось и продолжает уделяться много внимания. Однако 21-м веке для исследования этого слоя стали также привлекать численное моделирование, т.к. появились модели, которые позволяют довольно точно воспроизвести циркуляцию Черного моря (среди них можно назвать, например, модель NEMO [Madec et al., 2008]), и появилась техническая возможность проводить расчеты с достаточно высоким разрешением, 1–2 км. Данная работа представляет собой еще один вклад в численное исследование структуры черноморского ХПС и изменений, которые происходят в нем во время зимних ВХВ.
В настоящей работе исследуются физические механизмы, ответственные за глубокое проникающее охлаждение (т.е. охлаждение, проникающее в пикноклин) верхнего слоя Черного моря в зимний период, на примере холодного вторжения 23–25 января 2010 г. [Ефимов и др., 2014; Ефимов и др., 2024]. При помощи совместной мезомасштабной модели NOW воспроизведено взаимодействие море-атмосфера во время этого холодного вторжения и проведены численные эксперименты. Кроме того, с использованием данных атмосферного и морского климатических реанализов за 2000–2020 гг. оценены величины возмущений температуры под влиянием изменений напряжения ветра на поверхности моря, свидетельствующие о быстрой реакции поля температуры на достаточно больших глубинах.
РЕАКЦИЯ ПОЛЯ ТЕМПЕРАТУРЫ ВЕРХНЕГО СЛОЯ МОРЯ НА СЛУЧАИ ВХВ ПО РЕЗУЛЬТАТАМ КЛИМАТИЧЕСКИХ РЕАНАЛИЗОВ
Для оценок характеристик холодных вторжений в атмосферу Черноморского региона использовались данные атмосферного реанализа ERA5 (разрешение 0.25° × 0.25°) о скорости ветра и величинах потоков тепла на поверхности, а также данные морского реанализа Copernicus с разрешением около 10 км о температуре на разных глубинах моря [https://resources.marine.copernicus.eu]. Признаком ВХВ был принят ветер северного направления, превышающий величины 5 м/c на высоте 10 м. Северными считались направления в диапазоне углов от строго северо-западного до северо-восточного при отрицательной меридиональной компоненте скорости ветра. Выявленные случаи холодных вторжений представлены в виде рядов суммарного (явный + скрытый) потока тепла и скорости ветра в нескольких морских точках. Данные относятся к зимним месяцам (декабрь, январь, февраль) за 2000–2020 гг. с временным интервалом 1 сутки.
Конечно, этот выбор случаев ВХВ является достаточно условным. В то же время предварительный анализ массивов синоптических данных показывает, что именно такие случаи, в первую очередь ветер северно-восточного направления, описывают преобладающее число эпизодов выхолаживания моря.
Наиболее предсказуемой реакцией моря на ВХВ является понижение температуры в верхнем слое моря. Изменения температуры на поверхности за время одного из таких эпизодов ВХВ 23–25 января 2010 г. по данным реанализа составили –1.5…–1 °C. Даже на глубине 30 м (см. рис. 1) видно понижение на величину до ~ –0.75…–0.25 °C в большей части Черного моря, особенно в его западной половине, где развивался особенно сильный ветер. На бо́льших глубинах 50–60 м понижение температуры проявляется в виде отдельных локальных мезомасштабных неоднородностей.
Рис. 1. Изменение температуры моря (°С) на глубине 30 м за время ВХВ 23–25 января 2010 г. по данным реанализа Copernicus. Обозначена точка (32° в.д; 44.5° с.ш.), для которой построены рис. 4–7.
Оценить напрямую изменение температуры ВКС вследствие ВХВ на фоне сезонного хода, а также синоптической и мезомасштабной пространственно-временной изменчивости довольно трудно. В то же время для этих целей можно привлечь совместные распределения скорости ветра и величин изменений ТПМ за предшествующие ВХВ моменты времени.
На рис. 2 для разных глубин приведены совместные распределения изменений температуры воды ∆T(t) = T(t) − T(t – 2) и скорости приводного ветра V(t), где t − время в днях, а отрицательные величины ∆T означают понижение температуры. Т.е. T(t) и V(t) – это среднесуточные температура и скорость ветра в день t, а T(t – 2) – среднесуточная температура за двое суток до дня t. Там же показана прямая линия тренда и величина R – коэффициент корреляции, определяющий оценку значимости по критерию Стьюдента. Показаны только аппроксимации, значимые на уровне 0.02. Для бо́льших глубин величина R становится малой, <~0.02, и распределения не показываем.
Рис. 2. Совместное распределение изменения температуры воды ∆T(t) = T(t) − T(t – 2) и скорости приводного ветра V(t), где t − время в днях, на глубинах а) 0.5 м, б) 47 м в точке (32° в.д.; 44° с.ш.).
Оценка средней величины понижения температуры в течение двух суток охлаждения при скорости ветра 10 м/c составляет на глубинах до 50 м 0.2–0.6 °C. Не приводя иллюстраций, отметим характерную особенность изменения температуры по глубине: во всем слое от поверхности до глубины 30–40 м величина понижения температуры ∆T была почти постоянной и составляла около 0.2 °C, и лишь на глубинах бо́льших ~40 м cтала быстро уменьшаться. Реакция температуры воды на ВХВ прослеживается вплоть до глубин 70–80 м, хотя сами численные оценки здесь становятся на уровне 0.05 статистически незначимыми.
Условный выбор двухсуточного запаздывания при расчете ∆T исходил из выбора доверительного интервала в оценке линейного коэффициента для линейной аппроксимации. При оценке изменений температуры на бо́льших временных масштабах вклад случайного шума, связанного с синоптической изменчивостью, приводил к быстрому уменьшению корреляции R и, следовательно, к понижению порога значимости линейной аппроксимации. Отметим, что аналогичные оценки глубины затухания возмущений температуры следуют из распределений, где вместо скорости ветра V использовались данные о суммарных потоках тепла Q в той же выборке случаев ВХВ (укажем, что линейная аппроксимация между ними: Q = 38 ∙ V и коэффициент корреляции R ≈ 0.5). Зависимости между скоростью ветра и возмущениями температуры, подобные рис. 2, но только для одного зимнего месяца – февраля, обнаруживают значимые на уровне 0.02 оценки влияния ветра на бо́льшие глубины, вплоть до 70–80 м. Т.о., влияние ВХВ на температуру верхних слоев моря в зимний период распространяется на достаточно большие глубины, до 60–70 м, ограничиваясь снизу устойчиво стратифицированным галоклином.
На рис. 3 приведено совместное распределение величины скорости ветра и суммарного потока тепла для выбранных случаев северного ветра. Как видно, скоростям ветра, бо́льшим 8 м/c, соответствуют суммарный поток тепла через поверхность моря около 300 Вт/м2. С учетом достаточно высокой коррелированности скорости ветра и суммарного потока тепла (коэффициент корреляции R ~ 0.5) основное внимание далее будет удалено именно реакции полей температуры моря на возмущения скорости ветра для случаев ВХВ.
Рис. 3. Совместное распределение суммарного потока тепла от поверхности моря (Вт/м2) в точке (31° в.д.; 45° с.ш.) и скорости приводного ветра (м/с) в точке (31° в.д.; 46.7° с.ш.).
Отметим, что эти результаты можно рассматривать как достаточно приближенные оценки: численный реанализ Сopernicus был выполнен на 50-ти уровневой сетке с достаточно грубым разрешением 7–10 м в области глубин ХПС. Для более детального изучения процессов глубокого охлаждения в верхнем слое используем совместную численную модель море-атмосфера WRF-NEMO с большим пространственным разрешением и выполним эксперименты по чувствительности результатов к выбору параметров внешнего форсинга, определяющих глубокое проникающее охлаждение моря в зимний период.
КРАТКОЕ ОПИСАНИЕ СХЕМ ПАРАМЕТРИЗАЦИИ СОВМЕСТНОЙ МОДЕЛИ
Совместная модель море-атмосфера (NOW) [Samson et al., 2014] включает в себя атмосферный блок — модель WRF [Skamarock et al., 2008], морской — NEMO [Madec G. et al., 2008] и каплер OASIS [Valcke, 2013]. Граничные условия на поверхности моря (потоки тепла, напряжение трения ветра и осадки) для NEMO рассчитываются в атмосферной модели WRF. В свою очередь, от NEMO к WRF передаются поля ТПМ и скорости течения на поверхности. Обмен полями между моделями производится каждые два часа.
В качестве начальных и граничных условий для WRF использовались данные реанализа ERA5 с разрешением 0.25° и шагом по времени 6 часов. В качестве начальных условий для морской модели были использованы данные реанализа Copernicus с разрешением 1/12° ≈ 6 × 9 км для Черного моря. Оба реанализа, ERA5 и Copernicus, получены с усвоением данных наблюдений.
Горизонтальные расчетные сетки в атмосферной и морской моделях были идентичны, имели разрешение 3 км. В атмосферной модели использовалось 37 вертикальных уровней. В морской модели было задано 75 вертикальных уровней, из которых 37 располагались в верхнем 100-метровом слое — это больше, чем в реанализе Copernicus, в котором в верхнем 100-метровом слое находится только 22 уровня из 50.
При моделировании процессов как в атмосферном, так и в морском пограничном слое важную роль играет параметризация вертикального турбулентного обмена. В данной работе исследовался морской пограничный слой, поэтому для параметризации ППС в атмосферной модели, с целью уменьшения вычислительных затрат, использовалась стандартная схема YSU [Hong et al., 2006], в которой коэффициенты обмена в пограничном слое заданы как линейно-квадратичная функция от высоты.
В морской модели использовалась более реалистичная схема GLS k−ε [Umlauf et al., 2003; Canuto et al., 2001; Reffray et al., 2015], в которой коэффициент турбулентного обмена импульсом, K, рассчитывается как
, (1)
где S – функция устойчивости; k – турбулентная кинетическая энергия (ТКЭ); ε – скорость диссипации ТКЭ (формула для расчета коэффициента обмена теплом отличается лишь коэффициентами в выражении для S). В схеме GLS используется два дополнительных прогностических уравнения для величин k и ε:
, (2а)
, (2б)
где члены , − описывают вертикальный перенос величин k и ε турбулентными пульсациями скорости, P – производство этих величин за счет сдвига средней скорости, G = −K · N2 – производство за счет работы силы плавучести (N − частота плавучести); σk, σε, c1, c2, c3 – некоторые константы. Черта сверху обозначает среднюю величину.
При адаптации модели NEMO к Черному морю были внесены изменения в схему GLS: фоновые значения коэффициентов вертикального обмена импульса и тепла были уменьшены от 1,2 ∙ 10-4 и 1,2 ∙ 10-5 м2/с до 10-6 м2/с.
РЕЗУЛЬТАТЫ МОДЕЛИРОВАНИЯ И ИХ ОБСУЖДЕНИЕ
4.1. Эксперименты по чувствительности
Было проведено два эксперимента, в которых ослабили процессы взаимодействия атмосферы и моря (таблица).
Таблица. Эксперименты по чувствительности
№ | Название | Описание |
1 | Отключен суммарный поток тепла | В морской модели отключены потки явного и скрытого тепла на поверхности моря. Между морем и атмосферой есть только потоки длинноволновой и коротковолновой радиации |
2 | Отключено напряжение трения ветра, τ = 0 | В морской модели отключено только напряжение трения ветра на поверхности моря, τ. Морские течения, заданные в начальных условиях для NEMO, постепенно затухали в отсутствие атмосферного форсинга |
4.2. Изменение температуры верхнего слоя моря в экспериментах
На рис. 4 показано, как изменялась температура в верхнем слое моря за время холодного вторжения в основном расчете и экспериментах 1 и 2 для характерной точки (32° в.д; 44.5° с.ш.) в западной глубоководной части моря (см. рис. 1, на котором показано изменение температуры на глубине 30 м за трое суток холодного вторжения).
Рис. 4. Изменение температуры верхнего слоя моря (°С) за время холодного вторжения 23–25 января 2010 г. в точке (32° в.д; 44.5° с.ш.) для а) основного расчета, б) эксперимента 1, в) эксперимента 2. В верхней части рисунка показаны напряжение трения на поверхности моря (Н/м2; черная линия) и суммарный поток тепла (Вт/м2; красная линия).
В основном расчете (рис. 4а) температура ВКС уменьшалась за счет теплоотдачи в атмосферу. Кроме того, температура ВКС изменялась за счет вовлечения воды с другой температурой через нижнюю границу ВКС. В течение первых суток, т.е. 22 января, вовлекался остаточный слой более теплой воды (на глубинах 30–40 м), что замедлило уменьшение ТПМ. Подобный эффект может привести даже к небольшому кратковременному повышению температуры ВКС, как было обнаружено, например, в [Яровая и др., 2024] при исследовании влияния Новороссийской боры на верхний слой моря вблизи Кавказского побережья. После исчезновения остаточного слоя перемешивание проникло в ХПС. В 12 ч 23 января скорость ветра в рассматриваемой точке достигла наибольшего значения за время вторжения и поток тепла от поверхности моря составил 700 Вт/м2.
Из рис. 4б видно, что в эксперименте 1 (с отключением потоков тепла) понижение температуры ВКС составило всего около 0.2 °С. Однако, при этом толщина ВКС, как и в основном расчете, увеличилась на 20 м, до глубины 50 м, из-за перемешивания, обусловленного как обрушением ветровых волн, так и сдвиговой неустойчивостью ветровых течений. Этот механизм хорошо известен и наиболее ярко проявляется на малых глубинах в ходе осеннего заглубления ВКС. Кроме того, после холодного вторжения сохранился ХПС с хорошо выраженной верхней границей (рис. 4б). В основном расчете ХПС к концу моделирования вырождается, с 27 января сливается с ВКС (рис. 4а). На рис. 4б хорошо виден небольшой суточный ход потока тепла между морем и атмосферой: днем море нагревается за счет приходящей коротковолновой радиации, ночью — охлаждается за счет потока длинноволновой радиации.
Из рис. 4в видно, что в эксперименте 2 (τ = 0) понижение температуры захватило верхний ВКС и было почти таким же значительным, как и в основном расчете, на ~1 °С. Но толщина ВКС уменьшилась только на 10 м, до глубины 40 м. В отличие от основного расчета, к концу моделирования сохранился остаточный слой более теплой воды между ВКС и ХПС. В эксперименте 2 ветровое перемешивание отсутствует, опускание нижней границы ВКС происходило только вследствие возникновения конвективной неустойчивости. Это видно на профилях частоты плавучести: в эксперименте 2 величина N2 < 0 почти во всем ВКС. Для сравнения: в основном расчете бо́льшая часть ВКС стратифицирована нейтрально, отрицательные значения N2 наблюдаются только непосредственно вблизи поверхности моря (не показано).
Чтобы подробнее рассмотреть, как изменялись особенности вертикального профиля температуры моря в точке (32° в.д; 44.5° с.ш.), сравним профили до и после ВХВ в основном расчете и в экспериментах (рис. 5).
Рис. 5. Изменение вертикальных профилей температуры (°С) за время холодного вторжения 23–25 января 2010 г. в точке (32° в.д; 44.5° с.ш.) для а) основного расчета, б) эксперимента 1, в) эксперимента 2.
В основном расчете температура ВКС за 3 суток понизилась на 0.85 °С (рис. 5а). Понижение температуры за счет теплоотдачи в атмосферу можно оценить как
, (3)
где Cp ≈ 4000 Дж/(кг ∙ К) – теплоемкость, ρ ≈ 1015 кг/м3 − плотность морской воды, H – толщина ВКС, ∆t = 3600 c (результаты моделирования выводились с шагом 1 час). Получим оценку величины ≈ –0.8 °С, которая хорошо согласуется с фактической. Это подтверждает, что охлаждение ВКС было вызвано большими потоками тепла на поверхности.
В эксперименте 1, несмотря на отключение потоков явного и скрытого тепла, все-таки произошло небольшое понижение ТПМ на 0.2 °С (рис. 5б). Это связано, во-первых, с охлаждением моря за счет потока длинноволновой радиации. Оценка (3) дает ∆T ≈ –0.1 °С. Во-вторых, ветровое воздействие на поверхность моря привело к интенсивному вертикальному перемешиванию с вовлечением в ВКС холодной воды из-под термоклина. Известно, что при этом происходит перераспределение температуры по глубине: на верхних уровнях T уменьшается, на нижних – увеличивается за счет проникновения более теплой воды из ВКС, а в среднем изменение в слое ≈ 0 [Зацепин и др., 2008]. Действительно, как видно из рис. 5б, на глубинах ~45 м температура в этом эксперименте увеличилась почти на 0.5 °С. Среднее по глубине изменение температуры за 3 суток в слое 0−60 м составило –0.1 °С, т.е. понижение T за счет потока длинноволновой радиации.
Для эксперимента 2 расчет по формуле (3) даст величину ∆T = –0.9 °С. Как видно из рис. 5в, фактическое понижение температуры было 0.8 °С. Вовлечение более теплой воды из остаточного слоя в ВКС отчасти скомпенсировало теплоотдачу в атмосферу.
Не приводя иллюстраций, укажем, что на профилях солености видно следующее: соленость, в отличие от температуры, изменяется только за счет вертикального перемешивания, испарение с поверхности моря играет пренебрежимо малую роль. Поэтому в эксперименте 2 профили солености практически не изменились, а в двух других расчетах соленость ВКС немного возросла.
4.3. Изменение коэффициента вертикального турбулентного обмена в экспериментах
Рассмотрим теперь, как изменились характеристики вертикального турбулентного перемешивания в численных экспериментах. На рис. 6 для той же точки, что и на рис. 4, 5 показано, как изменялся со временем коэффициент турбулентного обмена импульсом, K, в основном расчете и в экспериментах.
Рис. 6. Изменение коэффициента вертикального обмена импульсом (м2/с) за время холодного вторжения 23–25 января 2010 г. в точке (32° в.д; 44.5° с.ш.) для а) основного расчета, б) эксперимента 1, в) эксперимента 2.
Как видно из рис. 6а, б, в основном расчете и эксперименте 1 распределения K различаются незначительно. В 12 ч 23 января скорость ветра в рассматриваемой точке достигла наибольшего значения за время вторжения и коэффициент турбулентной вязкости также достиг максимального значения в середине ВКС. В эксперименте 2 (рис. 6в) перемешивание сосредоточено в верхней половине ВКС, где коэффициент обмена достигает максимальных значений.
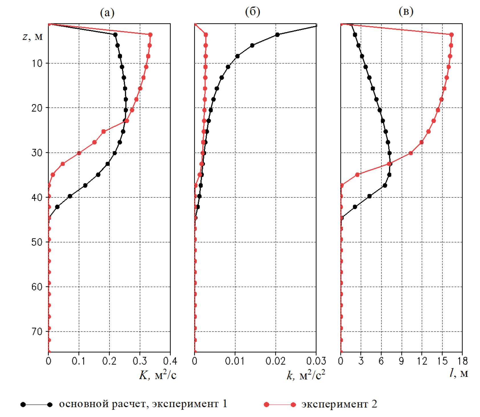
Чтобы определить причину, по которой так сильно изменилось распределение K в эксперименте 2, рассмотрим профили ТКЭ и скорости диссипации ТКЭ, из которых рассчитывается коэффициент K (см. формула (1)), в той же точке, что на рис. 4–6, для момента времени, когда скорость ветра была максимальной.
На рис. 7а, б показаны профили величин коэффициента вязкости K и k. На рис. 7в для наглядности показана не величина ε, а масштаб турбулентных движений (масштаб турбулентности), l, который связан с k и ε соотношением , где c — некоторая константа. Профили показаны для основного расчета и эксперимента 2. Для эксперимента 1 профили этих величин практически не отличаются от основного расчета.
Рис. 7. Вертикальные профили величин: а) коэффициент обмена (м2/с), б) ТКЭ (м2/с2), в) путь смешения (м) в точке (32° в.д; 44.5° с.ш.) в 12 ч 23 января 2010 г. для основного расчета, эксперимента 1 и эксперимента 2. Для наглядности на рис. 7б величина ТКЭ для эксперимента 2 увеличена в 10 раз.
Как видно из рис. 7б, распределение ТКЭ с глубиной качественно одинаково во всех расчетах — наибольшие значения ТКЭ находятся вблизи поверхности моря. В эксперименте 2 ТКЭ в целом на два порядка меньше. Из рис. 7в видно, что большие значения коэффициента K в эксперименте 2 (см. рис. 7а) вызваны большими значениями l. Увеличение масштаба турбулентности не только скомпенсировало уменьшение ТКЭ, но и привело к росту K на рис. 6в.
В основном расчете в верхней части ВКС ТКЭ с увеличением глубины z убывает zα, где α < –1, а масштаб турбулентности почти линейно растет. Это свидетельствует о том, что перемешивание происходит в основном за счет обрушения ветровых волн, и в уравнениях (2) слагаемые P и G малы по сравнению с Dk и Dε [Umlauf et al., 2003; Canuto et al., 2001; Reffray et al., 2015]. Таким образом, для стационарного режима и . Отсюда можно вывести указанную выше зависимость k и l от глубины. Значения k и l на поверхности моря в модели GLS рассчитываются через напряжение трения ветра о водную поверхность и параметр, учитывающий возраст волн. В нижней части ВКС большие вихри не могут развиться из-за близости пикноклина и масштаб l с глубиной убывает. Разумеется, при наличии приводного ветра в ВКС развивается также сдвиговая неустойчивость, вызванная наличием ветрового течения на поверхности моря.
В эксперименте 2 приводный ветер отключен, слагаемое P в уравнениях (2) пренебрежимо мало и величина ТКЭ на поверхности моря приближается к 0. Известно, что в случае сильной конвективной неустойчивости в (2) можно пренебречь также слагаемыми Dk, Dε и для стационарного случая получить простую связь между ε и k [Canuto et al., 2001]. Однако в нашем случае (рис. 7в) такая связь не наблюдается. Это говорит о том, что слагаемыми Dk, Dε, т.е. вертикальным турбулентным переносом, пренебречь нельзя и для стационарного режима баланс имеет вид: и . В этом эксперименте с отключенным приводным ветром и достаточно интенсивной теплопотерей с поверхности источник конвективной неустойчивости и максимум турбулентной кинетической энергии находится вблизи поверхности моря.
ЗАКЛЮЧЕНИЕ
Случаи вторжения холодного воздуха через северную и северо-восточную границу Черного моря в осенне-зимний период, обычно сопровождающиеся повышенными скоростями ветра и пониженными значениями температуры, можно отнести к экстремальным метеорологическим явлениям, требующим дальнейших исследований. Для их изучения были привлечены новые массивы данных реанализа и совместная численная модель, воспроизводящая процессы взаимодействия в системе море-атмосфера.
Экстремальные вторжения холодного воздуха в атмосферу Черного моря относятся к сравнительно редким явлениям. При этом хорошо прослеживается быстрая реакция температурного режима верхнего слоя моря на такие возмущения: с запаздыванием до 1–2 суток понижения температуры прослеживаются вплоть до глубины 70–80 м. Случаям понижения температуры до больших глубин обычно предшествует исчезновение в ходе сезонного зимнего выхолаживания слоя ХПС, что характерно для февраля — последнего зимнего месяца.
Можно отметить, что связь ХПС в Черном море с выхолаживанием с запаздыванием 2–3 месяца отмечалась и ранее, но только относилась к реакции на сезонных временных масштабах [Stanev et al., 2019]. Развитие ХПС связывалось с более интенсивным предшествующим осенне-зимним охлаждением моря, а время жизни сформировавшегося ХПС составляло до 2–3 лет. В нашем случае по данным реанализа температуры Copernicus выделена быстрая реакция моря на интенсивное ветровое воздействие. Полученные в статье совместные распределения величин изменения температуры воды на эпизоды резкого увеличения скорости ветра составляет менее суток.
Эксперименты по чувствительности позволили выделить физические механизмы, ответственные за глубоководное охлаждение. Показано, что в основном расчете конвекция не является главным механизмом, отвечающим за проникновение охлаждения в пикноклин, хотя явление конвекции в заключительной фазе сезонного зимнего охлаждения при малых скоростях ветра, т.е. слабого механического перемешивания может развиваться. Это воспроизводится в численной модели, но как механизм, описывающий охлаждение во всей толще верхнего слоя во время вторжений холодного воздуха в акваторию Черного моря, он не является основным.
Были проведены два численных эксперимента с совместной моделью море-атмосфера, в которых ослабили атмосферное воздействие на верхний слой моря. Было исследовано два предельных случая развития турбулентности: в отсутствии потоков явного и скрытого тепла от поверхности моря (эксперимент 1) и при наличии конвективной неустойчивости как единственного источника ТКЭ (эксперимент 2).
Определяющими физическими механизмами для случаев холодных вторжений, параметризованными в модели NEMO, являются обрушение ветровых волн и сдвиговая неустойчивость ветровых течений, приводящие к большим величинам коэффициентов турбулентного обмена. Это объясняет достаточно большие глубины проникновения отрицательных аномалий поверхностной температуры на масштабах менее суток.
В обоих экспериментах возрастание коэффициентов обмена совпадало с возрастанием приводной скорости ветра. При этом основную роль в понижении ТПМ сыграло именно охлаждение поверхности моря за счет потоков тепла. В эксперименте 1 понижение ТПМ было незначительным и произошло в основном из-за вовлечения более холодной воды из ХПС через нижнюю границу глубокого ВКС. В эксперименте 2 понижение ТПМ было почти таким же, как и в основном расчете.
Показано, что отключение τ изменило характер турбулентного перемешивания в ВКС — чтобы скомпенсировать значительное уменьшение интенсивности вихрей и обеспечить тот же вертикальный поток тепла, что и в основном расчете, увеличился вертикальный масштаб вихрей.
Работа выполнена в рамках проекта FNNN-2024-0014 Фундаментальные исследования процессов взаимодействия в системе океан-атмосфера, формирующих изменчивость физического состояния морской среды на различных пространственно-временных масштабах (шифр: взаимодействие океана и атмосферы).
About the authors
V. V. Efimov
Marine Hydrophysical Institute of the RAS
Email: darik777@mhi-ras.ru
Russian Federation, 2, Kapitanskaya St., Sevastopol, 299011
D. A. Yarovaya
Marine Hydrophysical Institute of the RAS
Author for correspondence.
Email: darik777@mhi-ras.ru
Russian Federation, 2, Kapitanskaya St., Sevastopol, 299011
O. I. Komarovskaya
Marine Hydrophysical Institute of the RAS
Email: darik777@mhi-ras.ru
Russian Federation, 2, Kapitanskaya St., Sevastopol, 299011
References
- Баянкина Т.М., Сизов А.А., Юровский А.В. О роли холодных вторжений в формировании аномалии зимней поверхностной температуры Черного моря // Процессы в геосредах. 2017. № 3. С. 565–572.
- Ефимов В.В., Яровая Д.А. Численное моделирование конвекции в атмосфере при вторжении холодного воздуха над Черным морем // Изв. РАН. Физика атмосферы и океана. 2014. Т. 50, № 6. С. 692–703. doi: 10.7868/S0002351514060078
- Ефимов В.В., Яровая Д.А. Численное моделирование реакции Черного моря на вторжение аномально холодного воздуха 23–25 января 2010 года // Морской гидрофизический журнал. 2024. Т. 40. № 1. С. 130–145.
- Зацепин А.Г. и др. Формирование прибрежного течения в Черном море из-за пространственно-неоднородного ветрового воздействия на верхний квазиоднородный слой // Океанология. 2008. Т. 48. № 2. С. 176–192.
- Коротаев Г.К., Кныш В.В., Кубряков А.И. Исследование процессов формирования холодного промежуточного слоя по результатам реанализа гидрофизических полей Черного моря за 1971–1993 гг. // Известия РАН. Физика атмосферы и океана. 2014. Т. 50. № 1. С. 41–56. doi: 10.7868/S0002351513060102
- Куклев С.Б., Зацепин А.Г., Подымов О.И. Формирование холодного промежуточного слоя в шельфово-склоновой зоне северо-восточной части Черного моря // Океанологические исследования. 2019. Т. 47. № 3. С. 58–71. doi: 10.29006/1564–2291.JOR–2019.47(3).5
- Овчинников И.М., Попов Ю.И. Формирование холодного промежуточного слоя в Черном море // Океанология. 1987. Т. 27. № 5. С. 739–746.
- Пиотух В.Б., Зацепин А.Г., Казьмин А.С., Якубенко В.Г. Реакция термохалинных характеристик деятельного слоя Черного моря на зимнее выхолаживание // Океанология. 2011. Т. 51, № 2. С. 232–241.
- Сизов А.А., Баянкина Т.М. Особенность формирования температуры верхнего слоя Чёрного моря во время холодного вторжения // Доклады академии наук. 2019. Т. 487. № 4. С. 443–447.
- Яровая Д.А., Ефимов В.В. Воздействие Новороссийской боры на верхний слой Черного моря // Метеорология и гидрология. 2024 (в печати).
- Canuto V.M., Cheng Y., Dubovikov M.S. Ocean Turbulence. Part I: One-Point Closure Model − Momentum and Heat Vertical Diffusivities // Journal of Physical Oceanography, 2001, V. 31, 1413−1426.
- Hong S.-Y., Noh W.G., Dudhia J.A. A new vertical diffusion package with an explicit treatment of entrainment processes// Mon. Wea. Rev. 2006. V. 134. P. 2318 – 2341.
- Madec G. et al. NEMO ocean engine // Notes du Pole de Modelisation 27, Inst. Pierre-Simon Laplace, Paris, France. 2008.
- Miladinova S., Stips A., Garcia-Gorriz E., Macías D. Formation and changes of the black sea cold intermediate layer // Progress in Oceanography. 2018. V. 167. P. 11–23. doi: 10.1016/j.pocean.2018.07.002
- Reffray G., Bourdalle-Badie R., Calone C. Modelling turbulent vertical mixing sensitivity using a 1-D version of NEMO // Geosci. Model Dev. 2015. V. 8. P. 69–86.
- Samson G. et al. The NOW regional coupled model: Application to the tropical Indian Ocean climate and tropical cyclone activity // Journal of Advances in Modeling Earth Systems. 2014. V. 6. P. 1–23.
- Skamarock W.C. et al. A description of the Advanced Research WRF version 3 // NCAR Technical Note. 2008.
- Stanev E.V., Peneva E., Chtirkova B. Climate change and regional ocean water mass disappearance: case of the Black Sea // Journal of Geophysical Research: Oceans. 2019. V. 124, iss. 7. P. 4803–4819. doi: 10.1029/2019JC015076
- Valcke S. The OASIS3 coupler: a European climate modelling community software // Geosci. Model Dev. 2013. V. 6, iss. 2. P. 373–388.
- Umlauf L., Burchard H. A generic length-scale equation for geophysical turbulence models // Journal of Marine Research, 2003, 61, 235–265.
- https://resources.marine.copernicus.eu/product-detail/GLOBAL_MULTIYEAR_PHY_001_030/INFORMATION
Supplementary files










