Bayesian estimates for changes of the Russian river runoff in the 21st century as based on the CMIP6 model ensemble simulations
- Autores: Medvedev А.I.1, Eliseev A.V.1,2,3,4, Mokhov I.I.1,2
-
Afiliações:
- Lomonosov Moscow State University
- Obukhov Institute of Atmospheric Physics, Russian Academy of Sciences
- Marchuk Institute of Numerical Mathematics, Russian Academy of Sciences
- Federal State Institution of Science Institute of Applied Physics of the Russian Academy of Sciences
- Edição: Volume 60, Nº 2 (2024)
- Páginas: 135–156
- Seção: Articles
- URL: https://ogarev-online.ru/0002-3515/article/view/265552
- DOI: https://doi.org/10.31857/S0002351524020021
- EDN: https://elibrary.ru/KRECMR
- ID: 265552
Citar
Texto integral
Resumo
Based on ensemble calculations with the CMIP6 (Coupled Model Intercomparison Project, phase 6) climate models and using Bayesian averaging, an analysis was conducted on the changes in the 21st century runoff of several Russian rivers – the Volga, Ob, Yenisei, Lena, Amur, and Selenga. Bayesian weights considered the quality of models’ reproduction of runoff (long-term average runoff, linear runoff trend over the time interval with available runoff observations, interannual and interdecadal variability). The quality of runoff characteristics reproduction by individual models in the CMIP6 ensemble varies most significantly for the long-term average runoff, runoff trend, and, to a lesser extent, for interannual variability. In the 21st century, the ensemble average runoff increases for most of the analyzed rivers, except for the Volga. This increase is more pronounced under scenarios with larger anthropogenic impacts. It is especially significant for the SSP5-8.5 scenario (Shared Socioeconomic Pathways, 5-8.5), under which the runoff increase trend from 2015 to 2100 relative to its current long-term average is (10 ± 4)% for the Ob, (16 ± 3)% for the Yenisei, (39 ± 7)% for the Lena, (36 ± 7)% for the Amur, and (18 ± 6)% for the Selenga. The primary reason for the change in ensemble average runoff in the 21st century in models under all SSP scenarios is the change in precipitation. Accounting for differences in model quality in reproducing river runoff on average for 2015–2100 reduces inter-model deviations relative to the corresponding values with uniform weighting of model results by 6–26%, depending on the SSP scenario and river basin.
Palavras-chave
Texto integral
1. Введение
Изменения климата включают воздействия и на водные ресурсы и речные системы [Арпе и др., 1999; Арпе и др., 2000; Мохов и др., 2002a; Мелешко и др., 2004; Мохов и др., 2003; Аржанов и др., 2008; Елисеев и др., 2009; Калюжный и др., 2012; Марченко и др., 2012; Мохов, 2014, 2021; Мохов и др., 2002b; Романовский и др., 2009; Фролова и др., 2017; Berezovskaya et al., 2004; Gerten et al., 2004; Climate Change, 2021; Kattsov et al., 2007; Yang et al., 2017; Zhang et al., 2014]. Общее увеличение осадков при потеплении климата [Held et al., 2006; Adler et al., 2018; Liu et al., 2012; Pendergrass, 2020; Climate Change, 2021; de Vries et al., 2023] должно в целом приводить к общему увеличению стока рек. Однако увеличение потенциальной испаряемости (определяемой как интенсивность испарения при полном заполнении пор почвы влагой), также сопровождающее потепление климата [Climate Change, 2021], способствует компенсации роста интенсивности речного стока. Изменения интенсивности испарения, в свою очередь, зависят также от изменений влагосодержания почвы при климатических вариациях [Climate Change, 2021], в том числе из-за водопользования [Taylor et al., 2013; Cook et al., 2015].
Будущие изменения речного стока можно оценить с использованием глобальных моделей Земной системы (МЗС) [Арпе и др., 1999; Арпе и др., 2000; Мелешко и др., 2004; Елисеев и др., 2009, Хон и др., 2002; Липавский и др., 2022; Мохов, 2014, 2021; Мохов и др., 2002b; Gerten et al., 2004; Kattsov et al., 2007; Yang et al., 2017; Zhang et al., 2014; Climate Change, 2021] или с использованием моделей регионального гидрологического цикла [Калюжный и др., 2012; Gerten et al., 2004]. Следует отметить фундаментальное различие между моделями этих двух классов, связанное с детальностью представления процессов. Так, интегрирование МЗС проводится при сравнительно грубом для задач гидрологии горизонтальном разрешение порядка 100 км [Climate Change, 2021], но с учетом обратных связей между атмосферой и гидрологией почвы. В свою очередь, расчеты с моделями регионального гидрологического цикла проводятся с горизонтальным разрешением не более нескольких километров [Bronstert et al., 2005], но без учета взаимодействия почвы и гидрологических процессов в почве и в атмосфере.
Неучет тех или иных процессов в моделях разного класса (например, мелкомасштабной пространственной изменчивости гидрологических характеристик в МЗС или взаимодействия процессов в почве и атмосфере в региональных гидрологических моделях) — одна из причин неопределенности оценок гидрологических процессов при будущих изменениях климата [Hawkins et al., 2009; Lehner et al., 2020]. Подобная неопределенность характерна не только для моделей, относящихся к разным классам, но и для моделей одного класса моделей, например — для различных МЗС. При этом даже при отсутствии структурных различий моделей неопределенность оценок будущих изменений может быть связана с выбором значений параметров, входящих в описание физических процессов (такой вид модельной неопределенности носит название параметрической). Другой причиной неопределенности оценок гидрологических процессов при возможных изменениях климата является естественная изменчивость. Из-за нее, в частности, при недоступности соответствующих данных измерений затрудняется задание начальных условий интегрирования моделей — их приходится случайным образом выбирать из равновесных численных экспериментов с моделью. Необходимо также иметь в виду, что оценки будущих изменений гидрологических характеристик существенно зависят от выбора сценариев внешних воздействий на Земную климатическую систему.
Часть особенностей отдельных моделей, обуславливающих неопределенность оценок будущих изменений гидрологического цикла, взаимно компенсируется при ансамблевом осреднении [Мелешко и др., 2004; Reichler et al., 2008]. Однако уменьшение общей неопределенности оценок при увеличении размера модельного ансамбля при этом оказывается, как правило, гораздо более медленным по сравнению с общепринятой оценкой из-за структурного подобия отдельных моделей, относящихся к одному и тому же классу, что приводит ко взаимной корреляции результатов их расчетов. Для МЗС различных поколений это было продемонстрировано, например в [Jun et al., 2008; Brunner et al., 2020]. В таком случае естественно использовать метод построения ансамблевой статистики, который также позволяет уменьшить влияние на эту статистику моделей с худшим качеством воспроизведения климатических характеристик, тем самым сузив интервал неопределенности получаемых оценок будущих изменений.
Различные климатообразующие процессы, потенциально важные для выбранной климатической характеристики, могут проявляться на различных временных масштабах. В связи с затруднительностью выделения влияния отдельных процессов на региональном масштабе, целесоообразно анализировать качество климатических моделей для спектра временных масштабов. Подобный подход для стока рек Амура и Селенги был использован в [Липавский и др., 2022], а для характеристик навигации на Северном морском пути – в [Кибанова и др., 2018; Парфенова и др., 2022]. При этом в первом случае было отмечено существенное влияние междесятилетней изменчивости климата на формирование стока обеих рек (см. также [Мохов, 2021]). В связи с этим явно целесообразно анализировать качество воспроизведения моделями изменений на междесятилетнем временном масштабе, в том числе и при выборе моделей, делающий значимый вклад в ансамблевую статистику.
Подобный анализ возможен только при наличии достаточно длинного временного интервала (содержащего хотя бы несколько циклов междесятилетней изменчивости), для которого доступны данные измерений высокого качества. Речной сток удовлетворяет этому требованию, т.к. для ряда крупных рек доступны данные с 1930-х гг. (иногда – даже с конца XIX в. https://portal.grdc.bafg.de/applications/).
Целью данной работы является анализ стока российских рек по расчетам с моделями ансамбля CMIP6 (Coupled Models Intercomparison Project, phase 6) для XXI в.
2. Методы
При анализе использовались результаты расчетов среднемесячных значений полного стока с моделями ансамбля CMIP6 (CMIP переменная mrro) при сценариях “historical”, SSP1-2.6, SSP2-4.5 и SSP5-8.5 [Gidden et al., 2019] (табл. 1). Они осреднялись по водосборам ряда рек — Амур, Лена, Обь, Енисей, Селенга, Волга, выделенных согласно [Graham et al., 1999] с разрешением по широте и долготе (рис. 1, табл. 2). Все эти водосборы достаточно велики для достаточного адекватного учета их в современных моделях Земной системы, типичное горизонтальное разрешение которых – порядка 102 км [Climate Change, 2021]. При наличии расчетов с разными начальными условиями для одной и той же модели анализировался только один из них (в архиве CMIP6 обозначенный как i1). Использование переменной полного стока обусловлено тем, что годовое стокообразование в бассейне должно точно совпадать при условии отсутствия значительного заполнения подземных резервуаров: фактор, который не учитывается в моделях. В качестве эталонных данных для стока были использованы данные сайта https://gmvo.skniivh.ru/index.php?id=1 о расходах воды, выбранных для анализа рек.
Рис. 1. Границы водосборов рек, сток которых анализируется в данной работе: Волга (оранжевая линия), Обь (синяя), Енисей (красная), Лена (фиолетовая), Амур (голубая), Селенга (зеленая).
Таблица 1. Использованные в работе модели ансамбля СМІР6. Символ “(C)” обозначает спектральное динамическое ядро модели
Номер | Модель в архиве CMIP6 | Модель атмосферы | Модель деятельного слоя суши | Горизонтальное разрешение, град |
0 | ACCESS-CM2 | MetUM-HadGEM3-GA7.1 | CABLE2.5 | 1.25 × 1.875 |
1 | BCC-CSM2-MR | BCC_AGCM3_MR | BCC_AVIM2 | (C) 1.125 × 1.125 |
2 | CAS-ESM2-0 | IAP AGCM 5.0 | CoLM | 1.406 × 1.406 |
3 | CESM2-WACCM | WACCM6 | CLM5 | 1.25 × 0.938 |
4 | CMCC-CM2-SR5 | CAM5.3 | CLM4.5-BGC | 1.25 × 0.938 |
5 | CanESM5 | CanAM5 | CLASS3.6/CTEM1.2 | (C) 2.813 × 2.813 |
6 | EC-Earth3 | IFS cy36r4 | HTESSEL | (C) 0.703 × 0.703 |
7 | FGOALS-f3-L | FAMIL2.2 | CLM4.0 | (C) 1.0 × 1.0 |
8 | FIO-ESM-2-0 | CAM4 | CLM4.0 | 1.25 × 0.938 |
9 | INM-CM5-0 | INM-AM5-0 | INM-LND1 | 2.0 × 1.5 |
10 | IPSL-CM6A-LR | LMDZ-NPv6 | ORCHIDEE-2.0 | 2.5 × 1.268 |
11 | KACE-1-0-G | MetUM-HadGEM3-GA7.1 | JULES-HadGEM3-GL7.1 | 1.25 × 1.875 |
12 | MIROC6 | CCSR AGCM | MATSIRO6.0 | (C) 1.406 × 1.406 |
13 | MPI-ESM1-2-HR | ECHAM6.3 | JSBACH3.20 | (C) 0.938 × 0.938 |
14 | MRI-ESM2-0 | MRI-AGCM3.5 | HAL-1.0 | (C) 1.125 × 1.125 |
15 | NorESM2-LM | CAM-OSLO | CLM | 1.875 × 2.5 |
16 | TaiESM1 | TaiAM1 | CLM4.0 | 1.25 × 0.938 |
Выбор байесова осреднения в качестве метода усреднения является предпочтительным перед традиционным арифметическим средним, поскольку оно учитывает вероятностные веса и неопределенность различных моделей, обеспечивая таким образом более точные и надежные оценки, особенно в условиях существенной неопределенности в данных.
Ансамблевая статистика – обусловленные эталонными данными ансамблевое среднее и межмодельное стандартное отклонение – были вычислены аналогично [Hoeting et al., 1999] (1)
Веса определяются на основе точности модели в воспроизведении климатических характеристик по сравнению с реальными данными, причем каждый вес вычисляется как функция правдоподобия для моделей по сравнению с эталонными данными.
Речной сток считался нормально распределенным на каждом временном масштабе за исключением междесятилетнего временного масштаба (см. ниже), статическое распределение описывает общую неопределенность, как неопределенность параметров моделей, так и неопределенность данных измерений:
(2)
где – характеристика стока – нормальное распределение переменной со средним и стандартным отклонением . Здесь и далее верхний индекс указывает на использование эталонных данных, – на результаты расчетов с моделью с номером .
При этом были выделены следующие временные масштабы:
1. i = m. Одной из характеристик был многолетний средний сток за весь период доступных наблюдений (табл. 2). Он характеризует временной масштаб больше длины временного ряда. Здесь и далее верхний индекс “ ” указывает либо на номер модели , либо на эталонные данные .
2. i = tr. Другой характеристикой был – линейный тренд стока за весь период доступных наблюдений. Он характеризует вековой временной масштаб (для данной задачи этот масштаб порядка длины I временного ряда).
3. i = IDV. Для характеристики роли междесятилетних вариаций был использован вес, характеризующий как среднеквадратичного отклонения (СКО) междесятилетней изменчивости, так и коэффициент временной корреляции между компонентами модельного и эталонного рядов на междесятилетних временных масштабах, данная модификация веса была сделана с целью увеличения неоднородности весов и добавления учета временной корреляции:
(3)
Таблица 2. Характеристики стока рек, рассматриваемых в данной работе. Значения в данной таблице оценены на сетке климатических моделей
Волга | Обь | Енисей | Лена | Амур | Селенга | |
Площадь водосбора, 2 тыс. км | 1360 | 2440 | 2420 | 2420 | 1630 | 360 |
Годы с данными наблюдений | 1938–2014 | 1930–2015 | 1936–2015 | 1935–2011 | 1897–2014 | 1935–2014 |
Средний многолетний сток, км3 год–1 | 238 ± 36 | 401 ± 62 | 586 ± 55 | 536 ± 68 | 263 ± 59 | 28 ± 7 |
Коэффициент тренда стока, км3 год–2 | 0.3 ± 0.2 | 0.5 ± 0.4 | 0.8 ± 0.3 | 1.0 ± 0.5 | -0.2 ± 0.2 | -0.08 ± 0.04 |
СКО межгодовой изменчивости стока, км3 год–1 | 42 | 72 | 53 | 75 | 54 | 8 |
СКО междесятилетней изменчивости стока, км3 год–1 | 27 | 44 | 45 | 50 | 48 | 5 |
Ряды , характеризующие указанные компоненты, были выделены из соответствующих исходных рядов после вычитания тренда полосовым фильтром Ланцоша [Duchon, 1999]. В свою очередь, данные параметры были выбраны после анализа спектральной плотности рядов стока (вычисленной методом периодограмм Уэлча) и соответствуют граничным временным масштабам полосового фильтра 10 и 40 лет. Выбор параметров фильтра Ланцоша производился так, чтобы доминирующий максимум спектральной плотности (для всех использованных здесь временных рядов он располагается в интервале от 10 до 25 лет) находился внутри выделяемой полосовым фильтром области на достаточном удалении от ее границ. После применения фильтра спектральный максимум для межгодовых вариаций сдвинулся в интервал от двух до трех лет.
4. i = IAV. Для характеристики межгодовых вариаций использовалось среднеквадратичное отклонение межгодовой изменчивости стока, определявшееся как СКО ряда
(4)
где — середина временного отрезка, соответствующего эталонным данным D. Байесовы веса для этого временного масштаба вычислялись согласно
(5)
Меры неопределенности оценок для этих временных масштабов были оценены следующим образом:
1. i = m:
(6)
2. i = tr: СКО оценки линейного тренда, определенные методом наименьших квадратов.
3. i = IDV:
(7)
где , I – полная длина ряда [von Storch et al., 2003]. При этом возможная автокорреляция рядов не учитывалась. Последнее занижает оценку для , усиливая выделение моделей на данном временном масштабе. Следует отметить, что вычисленные веса , хотя и не совсем однородны между моделями (см. ниже), но одного порядка между собой. Как следствие можно ожидать, что корректный учет автокорреляции рядов не изменит результаты принципиальным образом.
4. i = IAV: Подобно использованному для междесятилетних временных масштабов, для этого интервала временных масштабов
(8)
с тем же . Для этого временного масштаба автокорреляция рядов с единичным смещением по времени не превышает по абсолютному значению 0.12, так что неучет автокорреляции корректен.
Наряду с перечисленными весами использовались также однородный вес ,обозначаемый как “AM”, и комбинированный вес, характеризующий качество модели на всех рассматриваемых временных масштабах.
(9)
После вычисления всех весовых множителей они нормировались в соответствии с
(10)
где — один из символов “m”, “tr”, “IAV”, “IDV”, “all”.
Принципиальным отличием использованного в данной работе подхода по сравнению с [Липавский и др., 2022] является, во-первых, выделение межгодового и междесятилетнего интервалов временных масштабов (в [Липавский и др., 2022] они не разделялись), во-вторых – учет временной корреляции результатов модельных расчетов с данными наблюдений в междесятилетнем интервале временных масштабов (множитель с в (3)). С другой стороны, данные для осадков над водосборами, использованные в [Липавский и др., 2022], в данной работе не используются. Причиной этого является недостаточная длина интервала с достаточно высоким качеством данных для осадков на пространственном масштабе крупных водосборов – с 1979 гг., когда стали активно использоваться спутниковые данные [Adler et al., 2018].
Отличие межмодельного распределения байесовых весов от однородного (соответствующего простому арифметическому осреднению результатов отдельных моделей) можно характеризовать нормированной информационной энтропией [Липавский и др., 2022; Парфенова и др., 2022]
(11)
где – количество моделей ансамбля.
3. Результаты
3.1. Воспроизведение климатическими моделями характеристик стока на разных временных масштабах
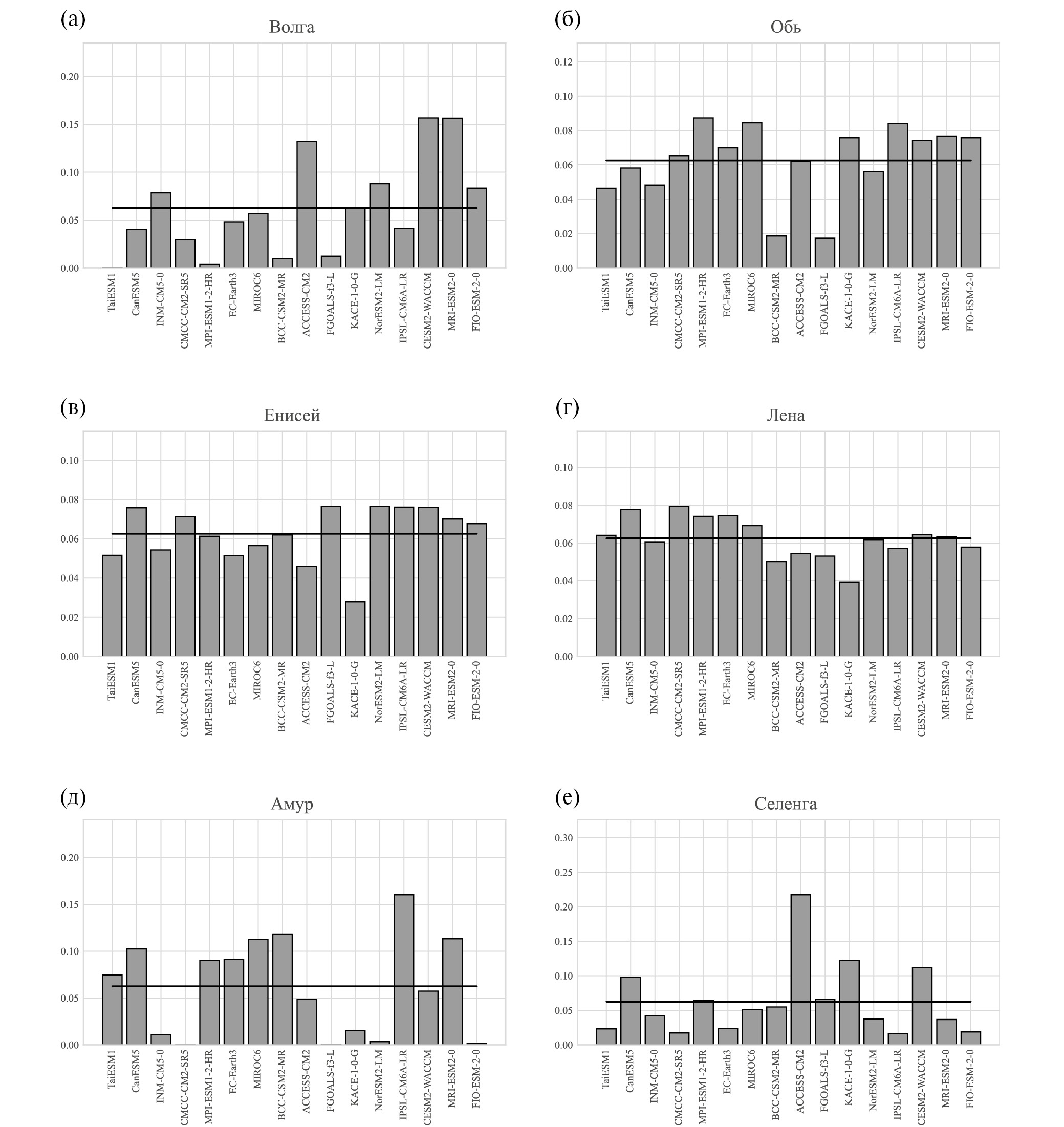
Межмодельное различие воспроизведения характеристик стока на разных временных масштабах заметно уже для среднего многолетнего стока. Это качество характеризуется байесовыми весами (рис. 2). Межмодельное распределение байесовых весов наиболее заметно отличается от однородного для Волги и Енисея, а наиболее близко к однородному для Оби, Лены и Селенги (табл. 3). Для Селенги это отличается от результата, полученного в [Липавский и др., 2022], что связано с существенно более коротким временным рядом данных для стока этой реки, использовавшихся для тестирования моделей в [Липавский и др., 2022], где данные для речного стока до 1979 г. не использовались.
Рис. 2. Байесовы веса wm для многолетнего среднего стока. Горизонтальными линиями отмечены веса арифметического среднего.
Таблица 3. Информационная энтропия для байесовых весов
Волга | Обь | Енисей | Лена | Амур | Селенга | |
m | 0.93 | 0.97 | 0.91 | 0.98 | 0.95 | 0.98 |
tr | 0.88 | 0.98 | 0.99 | 0.99 | 0.86 | 0.89 |
IDV | 0.99 | 0.99 | 0.99 | 0.99 | 0.99 | 0.99 |
IAV | 0.92 | 0.97 | 0.99 | 0.99 | 0.99 | 0.97 |
all | 0.73 | 0.93 | 0.89 | 0.95 | 0.82 | 0.89 |
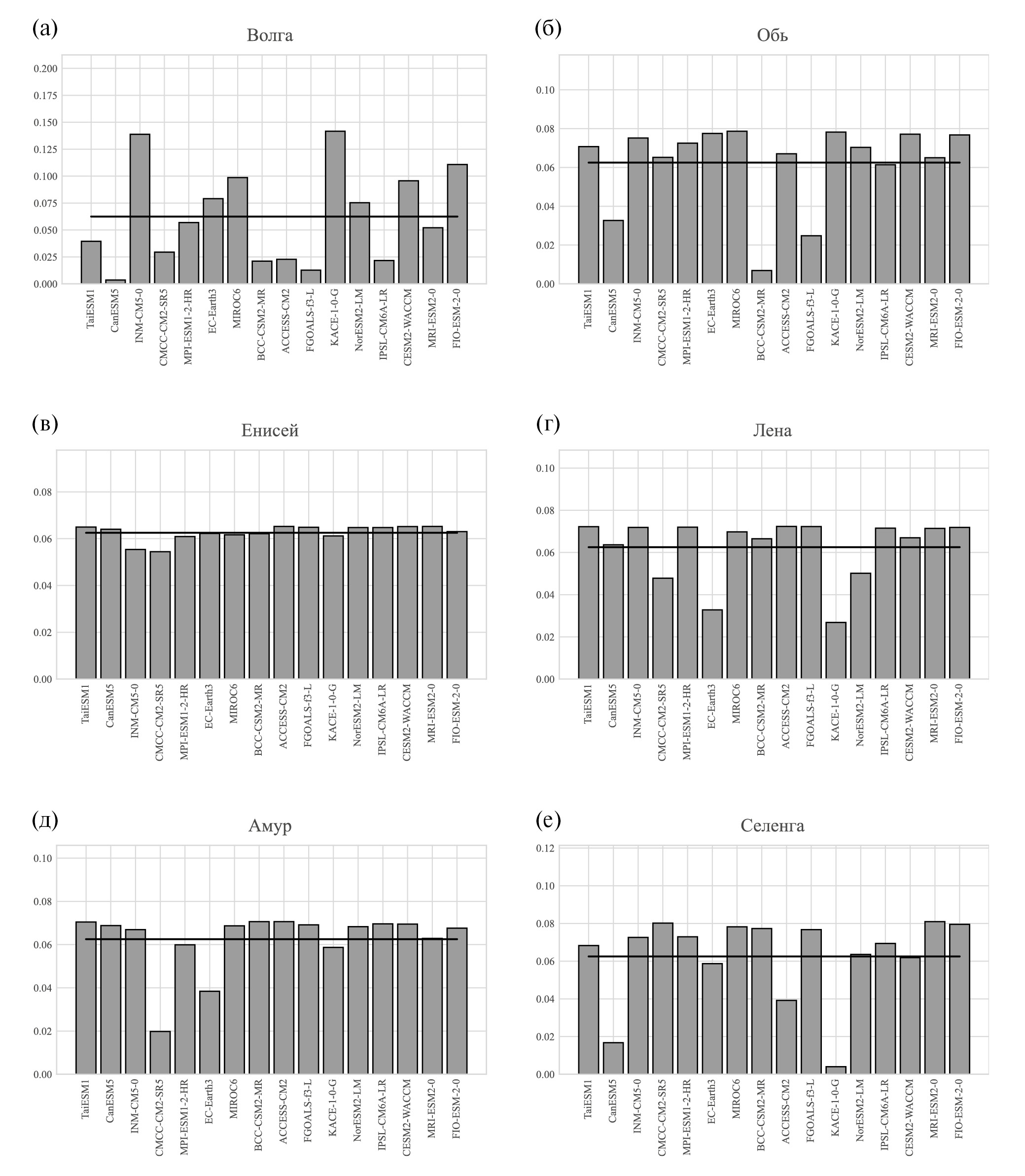
Для коэффициента линейного тренда стока (весов ) межмодельная неопределенность выражена в еще большей степени (рис. 3). При этом наибольшие различия между моделями ансамбля характерны для Волги, Амура и Селенги. Значение нормированной информационной энтропии весов для этих трех рек составляет от 0.86 до 0.89, тогда как для остальных двух водосборов оно близко к 0.99.
Рис. 3. Подобно рис. 2, но для весов wtr, характеризующих воспроизведение моделями линейного тренда стока.
Для весов , характеризующих особенности междесятилетней изменчивости, распределение наиболее однородно для анализируемых речных водосборов (рис. 4). Для весов на этом временном масштабе значение информационной энтропии близко к 0.99 для всех рассматриваемых водосборов. Такая однородность распределения весов связана с тем, что модели с максимальной по модулю положительной характеризуются относительно малыми значениями первого множителя в правой части (3).
Рис. 4. Подобно рис. 2, но для весов , характеризующих воспроизведение моделями междесятилетней изменчивости стока.
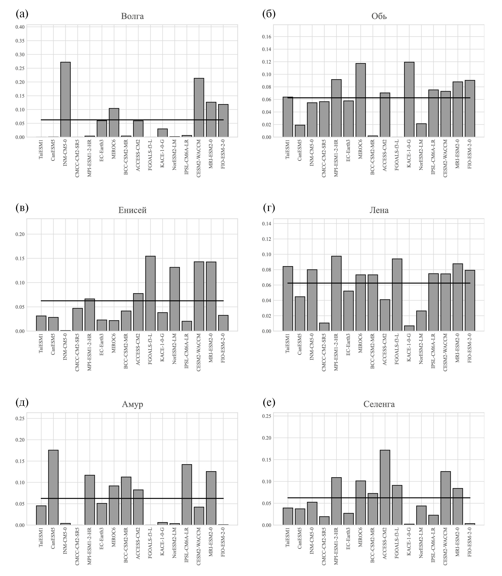
Веса , характеризующие воспроизведение моделями СКО межгодовой изменчивости стока, распределены более неоднородно для моделей по сравнению с весами (рис. 5). Это особенно заметно для Волги – для ее водосбора информационная энтропия байесовых весов на этом временном масштабе равна 0.92. Для водосборов других рек информационная энтропия составляет от 0.97 до 0.99. При этом межмодельная корреляция веса с весами и мала (≤0.38).) Подобная корреляция между весами и оказывается значимой (0.56). Таким образом, для водосбора Волги модели, относительно хорошо воспроизводящие СКО межгодовой изменчивости, также относительно хорошо воспроизводят и особенности (СКО и временной ход) междесятилетней изменчивости.
Рис. 5. Подобно рис. 2, но для весов характеризующих воспроизведение моделями межгодовой изменчивости стока.
Межмодельное распределение комбинированного веса наиболее неоднородно также для водосбора Волги (рис. 6), для которого (табл. 3). Заметно неоднородны они и для остальных водосборов: для Амура, для Енисея и Селенги, для Оби и для Лены. Наибольший вклад в неоднородность весов связан с качеством воспроизведения тренда (для Волги, Оби, Амура и Селенги) и многолетнего среднего (для Енисея, Лены и Амура). Значима также соответствующая роль междесятилетней изменчивости (для Лены и Амура) и СКО межгодовой изменчивости (для Волги, Оби и Лены).
Рис. 6. Подобно рис. 2, но для комбинированных весов .
Для каждого водосбора можно выделить модели ансамбля, лучше остальных воспроизводящие характеристики стока на различных временных масштабах и дающие наибольший вклад в ансамблевую статистику. В качестве критерия этого можно использовать веса , значения которых для таких моделей должны быть сравнимы с 1/K или быть больше этой величины. Для водосбора Волги при этом из 16 моделей выделяются 7, для Оби — 12, для Енисея — 9, для Лены — 13, для Амура — 10, для Селенги — 10. При этом модели, лучше других воспроизводящие характеристики стока на одном из водосборов, могут характеризоваться пониженным качеством восроизведения таких характеристик для другого водосбора.
3.2. Изменения характеристик речного стока в XXI в.
3.2.1. Учет характеристик стока на всех временных масштабах при взвешивании моделей
Результаты вычисления ансамблевого среднего для байесового осреднения с комбинированным весом в целом подобны соответствующим результатам при осреднении с однородными весами (с учетом ансамблевого межмодельного СКО; см. рис. 7–12). При этом для большинства анализируемых рек (за исключением Волги) выявлен общий тренд увеличения ансамблевого среднего стока при потеплении (табл. 4). Это увеличение более выражено при сценариях с большими антропогенными воздействиями. При сценарии SSP5-8.5, тренд увеличения стока в 2015–2100 гг. составляет км3 год–1 для Оби, км3 год–1 для Енисея, км3 год–1 для Лены, км3 год–1 для Амура и км3 год–1 для Селенги. Для значений среднего многолетнего стока в табл. 2 это соответствует изменению стока на % для Оби, % для Енисея, % для Лены, % для Амура и % для Селенги. При сценарии SSP2-4.5 тренды становятся меньше по абсолютной величине, но в целом (за исключением Селенги) остаются статистически значимыми. При сценарии SSP1-2.6 тренды стока дополнительно уменьшаются по абсолютной величине и для большинства водосборов становятся статистически незначимы. В целом для анализируемых водосборов (исключая Селенгу) можно отметить общее увеличение роста стока в направлении с запада но восток.
Рис. 7. Ансамблевые средние (a, в, д) и межмодельное стандартное отклонение (б, г, е) для годового стока Волги при сценариях SSP1-2.6 (а, б), SSP2-4.5 (в, г) и SSP5-8.5 (д, е).
Рис. 8. Подобно рис. 7, но для Оби.
Рис. 9. Подобно рис. 7, но для Енисея.
Рис. 10. Подобно рис. 7, но для Лены.
Рис. 11. Подобно рис. 7, но для Амура.
Рис. 12. Подобно рис. 7, но для Селенги.
Таблица 4. Коэффициент тренда изменения стока рек (ансамблевое среднее ± внутриансамблевое СКО) в 2015–2100 гг., км3 год–2. Значения, имеющие статистическую значимость на уровне 0.95, выделены жирным шрифтом
m | tr | IDV | IAV | all | АМ | ||
SSP1-2.6 | –3 ± 10 | –9 ± 11 | 1 ± 7 | 1 ± 7 | –12 ± 10 | 5 ± 7 | |
Волга | SSP2-4.5 | 1 ± 8 | –1 ± 10 | 0 ± 7 | –5 ± 7 | –4 ± 9 | –1 ± 7 |
SSP5-8.5 | 9 ± 10 | 5 ± 10 | 19 ± 9 | 17 ± 9 | –7 ± 11 | 26 ± 11 | |
SSP1-2.6 | –26 ± 7 | –30 ± 8 | –33 ± 7 | –27 ± 7 | –28 ± 8 | –30 ± 7 | |
Обь | SSP2-4.5 | 5 ± 8 | 6 ± 8 | 8 ± 7 | 8 ± 8 | 16 ± 8 | 4 ± 7 |
SSP5-8.5 | 23 ± 11 | 34 ± 14 | 30 ± 13 | 30 ± 15 | 41 ± 15 | 26 ± 13 | |
SSP1-2.6 | –8 ± 8 | –2 ± 8 | –2 ± 8 | –1 ± 8 | –12 ± 9 | –1 ± 8 | |
Енисей | SSP2-4.5 | 41 ± 10 | 46 ± 11 | 40 ± 10 | 43 ± 10 | 38 ± 10 | 43 ± 10 |
SSP5-8.5 | 95 ± 19 | 106 ± 20 | 101 ± 18 | 102 ± 19 | 94 ± 19 | 103 ± 19 | |
SSP1-2.6 | 13 ± 11 | 17 ± 11 | 14 ± 10 | 21 ± 10 | 19 ± 11 | 14 ± 10 | |
Лена | SSP2-4.5 | 79 ± 15 | 97 ± 19 | 84 ± 16 | 95 ± 18 | 82 ± 15 | 91 ± 18 |
SSP5-8.5 | 208 ± 36 | 232 ± 40 | 213 ± 37 | 222 ± 38 | 207 ± 36 | 223 ± 39 | |
SSP1-2.6 | 30 ± 9 | 43 ± 11 | 30 ± 8 | 31 ± 9 | 43 ± 12 | 30 ± 9 | |
Амур | SSP2-4.5 | 50 ± 11 | 56 ± 12 | 53 ± 11 | 52 ± 10 | 60 ± 13 | 58 ± 11 |
SSP5-8.5 | 97 ± 18 | 98 ± 19 | 101 ± 17 | 98 ± 17 | 94 ± 19 | 111 ± 18 | |
SSP1-2.6 | 1 ± 1 | 2 ± 1 | 1 ± 1 | 2 ± 1 | 3 ± 1 | 1 ± 1 | |
Селенга | SSP2-4.5 | 2 ± 1 | –1 ± 2 | 1 ± 1 | 2 ± 1 | 1 ± 1 | 1 ± 1 |
SSP5-8.5 | 5 ± 2 | 2 ± 2 | 4 ± 2 | 5 ± 1 | 5 ± 2 | 4 ± 2 |
Основной причиной изменения ансамблевого среднего стока в XXI в. в моделях при всех сценариях SSP является изменение осадков (переменная CMIP pr). Влияние изменений эвапотранспирации (переменная CMIP evspsbl), как правило, мало. Статистически значим последний коэффициент корреляции только в случае значимой корреляции между эвапотранспирацией и осадками, что проявляется, например, для модели MPI-ESM1-2-HR над водосбором Селенги.
Учет различия качества моделей при воспроизведении стока рек (характеризуемого весами ) в среднем для 2015–2100 гг. уменьшает межмодельное СКО относительно соответствующего значения при однородном взвешивании моделей на 22–26% в зависимости от сценария SSP для Волги, на 6–8% для Енисея и на 14–18% для остальных рек (правые части рис. 7–12).
3.2.2. Влияние критерия выбора моделей на результаты анализа
В целом влияние выбора временного масштаба для выделения качества моделей на результаты вычисления ансамблевого среднего стока не является принципиальным. Использование любого из весов , , и (а также однородного веса ) вместо веса не сказывается принципиальным образом на результате вычисления среднего ансамблевого стока: вычисленные при этом для данного водосбора различаются менее чем на внутриансамблевое СКО (рис. 7–12).
Для водосбора Оби отмечено, что при сценарии SSP2-4.5 тренд увеличения стока проявляется только при осреднении моделей ансамбля с комбинированными весами . При осреднении с весами , , и , а также с однородными весами коэффициент тренда для среднего по ансамюлю стока становится статистически незначимым, а его абсолютное значение уменьшается в несколько раз (см. табл. 4).
Можно отметить, что для всех водосборов наибольший тренд увеличения стока в XXI в. проявляется при осреднении с весами , которые характеризуют качество воспроизведения моделями тренда стока в XX и начале XXI в. (табл. 4). В свою очередь, наименьший по абсолютной величине тренд увеличения стока в XXI в. для всех водосборов отмечается при байесовом осреднении с весами , характеризующими качество воспроизведения моделями многолетнего среднего стока.
Отмеченное уменьшение межмодельного СКО при байесовом осреднении связано прежде всего с влиянием качества воспроизведения среднего многолетнего стока различными моделями. В частности, уже при осреднении с весами уменьшение в среднем для 2015–2100 гг. относительно соответствующего значения при осреднении с весами может составлять 1/5. Наиболее значимо это уменьшение для Амура и наименее значимо для Енисея. Это в целом согласуется с результатами вычисления энтропии весов для различных водосборов.
4. Заключение
В данной работе анализ проведен анализ стока крупнейших российских рек в XXI в. по расчетам с ансамблем климатических моделей CMIP6 с использованием байесова осреднения. При этом с помощью фильтра Ланцоша были явно выделены два интервал временных масштабов климатической изменчивости – межгодовой и междесятилетней. Для первого масштаба характеристика качество воспроизведения моделями межгодовой изменчивости определялось величиной ансамблевого СКО. Для междесятилетней изменчивости наряду с СКО учитывалась также временная корреляция выделенного фильтром Ланцоша временного ряда с данными измерений стока.
В качестве эталонных данных для стока были использованы данные гидропостов вблизи устья соответствующих рек с началом в середине 1930-х гг. (для Амура – с 1897 гг.) и вплоть до 2014 г. (последний календарный год численного эксперимента “historical” проекта CMIP6). Такой выбор данных обусловлен, в частности, выделением интервалов межгодовой и междесятилетней изменчивости в данной работе. При этом в связи с недостаточной длиной данных для количества осадков над крупными речными водосборами эта переменная не использовалась как характеристика качества моделей ансамбля в данной работе.
Качество воспроизведения характеристик стока отдельными моделями ансамбля CMIP6 наиболее сильно различается для среднего многолетнего стока, тренда стока и, в меньшей степени, для СКО межгодовой изменчивости. Для междесятилетних вариаций распределение байесовых весов, несмотря на использование для данного интервала временных масштабов как СКО, так и временной корреляции с наблюдениями (т.е. увеличения числа характеристик качества воспроизведения стока моделями по сравнению с подобным для межгодового масштаба) оказывается наиболее однородным между моделями. Следует отметить, что это не обязательно указывает на хорошее качество всех моделей – скорее, это связано со взаимной компенсацией качества воспроизведения этих двух характеристик отдельными моделями.
Несмотря на однородность весов между моделями, выделение этого временного масштаба является целесообразным. При этом изменяются веса по сравнению со случаем вычисления таких весов по временному ряду, характеризующему объединенный междекадный + междесятилений интервал временных масштабов.
Следует также отметить, что при вычислении весов использовались также только СКО без учета временной корреляции с наблюдениями. Полученные при этом результаты принципиально не отличаются от представленных в данной работе.
В XXI в. средний по ансамблю сток увеличивается для большинства анализируемых рек за исключением Волги. Это увеличение более выражено при сценариях с большими антропогенными воздействиями. Оно особенно значимо для сценария SSP5-8.5, при котором тренд увеличения стока в 2015–2100 гг. относительно его современного среднего многолетнего значения составляет % для Оби, % для Енисея, % для Лены, % для Амура и % для Селенги. Основной причиной изменения ансамблевого среднего стока в XXI в. в моделях при всех сценариях SSP является изменение осадков.
Учет различия качества моделей при воспроизведении стока рек в среднем для 2015–2100 гг. уменьшает межмодельное СКО относительно соответствующих значений при однородном взвешивании моделей на 22–26% в зависимости от сценария SSP для Волги, на 6–8% для Енисея и на 14–18% для остальных рек.
Результаты данной работы для водосборов Амура и Селенги согласуются с полученными ранее в [Липавский и др., 2022]. Они также качественно согласуются с результатами расчетов с моделью Земной системы Института физики атмосферы им. А.М. Обухова РАН [Елисеев и др., 2009] при сценариях антропогенного воздействия семейства SRES (Special Report on Emission Scenarios). Однако результаты настоящей работы отличаются от полученных в [Гельфан и др., 2018], где преобладали отрицательные аномалии стока Амура при всех использованных сценариях антропогенных воздействиях в XXI в. Причины последнего обсуждаются в [Липавский и др., 2022].
Разработка метода построения ансамблевой статистики выполнена за счет гранта Российского научного фонда № 23-62-10043 (https://rscf.ru/project/23-62-10043/). Анализ роли естественной изменчивости проводился в рамках проекта РНФ 19-17-00240. Оценки изменений стока рек арктического бассейна при изменениях в XXI в. выполнены за счет проекта РНФ 23-47-00104.
Sobre autores
А. Medvedev
Lomonosov Moscow State University
Email: eliseev.alexey.v@mail.ru
физический факультет
Rússia, 119991, Moscow, Leninskie Gory, GSP-1A. Eliseev
Lomonosov Moscow State University; Obukhov Institute of Atmospheric Physics, Russian Academy of Sciences; Marchuk Institute of Numerical Mathematics, Russian Academy of Sciences; Federal State Institution of Science Institute of Applied Physics of the Russian Academy of Sciences
Autor responsável pela correspondência
Email: eliseev.alexey.v@gmail.com
физический факультет
Rússia, 119991, Moscow, Leninskie Gory, GSP-1; 119017, Moscow, Pyzhevskii per., 3; 119333, Moscow, Gubkin str., 8; 603950, Nizhniy Novgorod, Ulyanova str., 46I. Mokhov
Lomonosov Moscow State University; Obukhov Institute of Atmospheric Physics, Russian Academy of Sciences
Email: eliseev.alexey.v@gmail.com
физический факультет
Rússia, 119991, Moscow, Leninskie Gory, GSP-1; 119017, Moscow, Pyzhevskii per., 3Bibliografia
- Аржанов М.М., Елисеев А.В., Демченко П.Ф. и др. Моделирование температурного и гидрологического режима водосборов сибирских рек в условиях вечной мерзлоты с использованием данных реанализа // Изв. РАН. Физика атмосферы и океана. 2008. Т. 44. № 1. С. 86–93.
- Арпе К., Бенгтссон Л., Голицын Г.С. и др. Анализ и моделирование изменений гидрологического режима в бассейне Каспийского моря // Докл. РАН. 1999. Т. 366. № 2. С. 248–252.
- Арпе К., Бенгтссон Л., Голицын Г.С. и др. Анализ изменений гидрологического режима на водосборе Ладожского озера и стока Невы в XX и XXI веках с помощью глобальной климатической модели // Метеорология и гидрология. 2000. № 12. С. 5–13.
- Гельфан А.Н., Калугин А.С., Мотовилов Ю.Г. Оценка изменений водного режима реки Амур в XXI веке при двух способах задания климатических проекций в модели формирования речного стока // Водные ресурсы. 2018. Т. 45. № 3. С. 223–234.
- Елисеев А.В., Аржанов М.М., Демченко П.Ф. и др. Изменения климатических характеристик суши внетропических широт Северного полушария в XXI веке: оценки с использованием климатической модели ИФА РАН // Изв. РАН. Физика атмосферы океана. 2009. Т. 45. № 3. С. 291–304.
- Калюжный И.Л., Лавров С.А. Основные физические процессы и закономерности формирования зимнего и весеннего стока рек в условиях потепления климата // Метеорология и гидрология. 2012. № 1. С. 68–81.
- Кибанова О.В., Елисеев А.В., Мохов И.И. и др. Изменения продолжительности навигационного периода Северного морского пути в ХХI в. по расчетам с ансамблем климатических моделей: байесовские оценки // Докл. АН. 2018. Т. 481. № 1. С. 88–92.
- Липавский А.С., Елисеев А.В., Мохов И.И. Байесовы оценки изменения стока Амура и Селенги в XXI веке по результатам ансамблевых модельных расчетов CMIP6 // Метеорология и гидрология. 2022. № 5. С. 64–82.
- Марченко О.Ю., Мордвинов В.И., Бережных Т.В. Экстремальная водность р. Селенга и особенности летней циркуляции атмосферы // Метеорология и гидрология. 2012. № 10. С. 81–93.
- Мелешко В.П., Голицын Г.С., Говоркова В.А. и др. Возможные антропогенные изменения климата России в XXI в.: оценки по ансамблю климатических моделей // Метеорология и гидрология. 2004. № 4. С. 38–49.
- Мохов И.И., Хон В.Ч. Гидрологический режим в бассейнах сибирских рек: модельные оценки изменений в ХХI веке // Метеорология и гидрология. 2002. № 8. С. 77–93.
- Мохов И.И., Хон В.Ч. Модельные сценарии изменений стока сибирских рек в ХХI веке // Докл. АН. 2002. Т. 383. № 5. С. 684–687.
- Мохов И.И., Семенов В.А., Хон В.Ч. Оценки возможных региональных изменений гидрологического режима в ХХI веке на основе глобальных климатических моделей // Изв. РАН. Физика атмосферы и океана. 2003. Т. 39. № 2. С. 150–165.
- Мохов И.И. Гидрологические аномалии и тенденции изменения в бассейне реки Амур в условиях глобального потепления // Докл. АН. 2014. Т. 455. № 5. С. 585–588.
- Мохов И.И. Экстремальные атмосферные и гидрологические явления в российских регионах: связь с Тихоокеанской десятилетней осцилляцией // Докл. АН. Науки о Земле. 2021. Т. 500. № 2. С. 73–78.
- Парфенова М.Р., Елисеев А.В., Мохов И.И. Изменения периода навигации в арктических морях на Северном морском пути в 21 веке: байесовы оценки по расчетам с ансамблем климатических моделей // Докл. АН. Науки о Земле. 2022. Т. 507. № 1. С. 118–125.
- Романовский Н.Н., Булдович С.Н., Типенко Г.С. и др. Оценка влияния климатических изменений на поверхностный сток с помощью моделирования теплового взаимодействия многолетнемерзлых пород и подземных вод (на примере верхней части водосборного бассейна р. Лены) // Криосфера Земли. 2009. Т. 13. № 1. С. 55–64.
- Фролова Н.Л., Белякова П.А., Григорьев В.Ю. и др. Многолетние колебания стока рек в бассейне Селенги // Водные ресурсы. 2017. Т. 44. № 3. С. 243–255.
- Хон В.Ч., Мохов И.И. Гидрологический режим бассейнов крупнейших рек Северной Евразии в ХХ– ХХI вв. // Водные ресурсы. 2012. Т. 39. № 1. С. 3–12.
- Adler R.F., Sapiano M.R.P., Huffman G.J. et al. The Global Precipitation Climatology Project (GPCP) monthly analysis (new version 2.3) and a review of 2017 global precipitation // Atmosphere. 2018. V. 9. № 4. P. 138.
- Berezovskaya S., Yang D., Kane D. L. Compatibility analysis of precipitation and runoff trends over the large Siberian watersheds // Geophys. Res. Lett. 2004. V. 31. № 21. L21502.
- Bronstert A., Carrera J., Kabat P., Lütkemeier S. Coupled Models for the Hydrological Cycle: Integrating Atmosphere, Biosphere, and Pedosphere // Berlin, heidelberg: Springer. 2005. P. 345.
- Brunner L., Pendergrass A.G., Lehner F. et al. Reduced global warming from CMIP6 projections when weighting models by performance and independence // Earth Syst. Dyn. 2020. V. 11. № 11. P. 995–1012.
- Cook B.I., Shukla S.P., Puma M.J. et al. Irrigation as an historical climate forcing // CD. 2015. V. 44. № 5–6. P. 1715–1730.
- de Vries I.E., Sippel S., Pendergrass A.G. et al. Robust global detection of forced changes in mean and extreme precipitation despite observational disagreement on the magnitude of change // Earth Syst. Dyn. 2023. V. 14. № 1. P. 81–100.
- Duchon C.E. Lanczos filtering in one and two dimensions // Journal of Applied Meteorology and Climatology. 1979. V. 18. № 8. P. 1016–1022.
- Eyring V. et al. Overview of the Coupled Model Intercomparison Project Phase 6 (CMIP6) experimental design and organization. // Geoscientific Model Development. 2016. V. 9. № 5. P. 1937–1958.
- Gerten D., Rost S., von Bloh W. et al. Causes of Change in 20th Century Global River Discharge // Geophys. Res. Lett. 2004. V. 35. № 20. L20405
- Gidden M.J. et al. Global emissions pathways under different socioeconomic scenarios for use in CMIP6: a dataset of harmonized emissions trajectories through the end of the century // Geoscientific model development. 2019. V. 12. № 4. P. 1443–1475.
- Graham S.T., Famiglietti J.S., Maidment D.R. Five minute, 1/2˚, and 1˚ data sets of continental watersheds and river networks for use in regional and global hydrologic and climate system modeling studies // Water Resour. Res. 1999. № 2. P. 583–587.
- Hawkins E., Sutton R. The potential to narrow uncertainty in regional climate predictions // Bull. Amer. Meteorol. Soc. 2009. V. 90. № 8. P. 1095–1107.
- Held I.M., Soden B.J. Robust Responses of the Hydrological Cycle to Global Warming // J. Climate. 2006. V. 19. P. 5686–5699.
- Hoeting J.A., Madigan D., Raftery A.E. et al. Bayesian model averaging: A tutorial // Stat. Sci. 1999. V. 14. № 4. P. 382–401.
- Jun M., Knutti R., Nychka D.W. Spatial analysis to quantify numerical model bias and dependence: How many climate models are there? // JASA. 2008. V. 103. № 483. P. 934–947.
- Kattsov V.M., Walsh J.E., Chapman W.L. et al. Simulation and Projection of Arctic Freshwater Budget Components by the IPCC AR4 Global Climate Models // J. Hydrology. 2007. V. 8. № 3. P. 571–589.
- Lehner F., Deser C., Maher N. et al. Partitioning climate projection uncertainty with multiple large ensembles and CMIP5/6 // Earth Syst. Dyn. 2020. V. 11. № 2. P. 491–508.
- Liu C., Allan R.P., Huffman G.J. Co-variation of temperature and precipitation in CMIP5 models and satellite observations // Geophys. Res. Lett. 2012. V. 39. № 13. P. L13803.
- Masson-Delmotte V. et al. Climate Change 2021: The Physical Science Basis. Working Group I contribution to the Sixth Assessment Report of the Intergovernmental Panel on Climate Change // Cambridge Univ. Press. 2021.
- Pendergrass A.G. The Global-mean precipitation response to CO2-induced warming in CMIP6 models // Geophys. Res. Lett. 2020. V. 47. № 17. e2020GL089964.
- Reichler T., Kim J. How well do coupled models simulate today’s climate? // Bull. Amer. Meteorol. Soc. 2008. V. 89. № 3. P. 303–311.
- Taylor R.G., Scanlon B., Döll P. et al. Ground water and climate change // NatCC. 2013. V. 3. № 4. P. 322–329.
- von Storch H., Zwiers F.W. Statistical Analysis in Climate Research // Cambridge Univ. Press. 2003. P. 484.
- Weigel A.P., Knutti R., Liniger M.A. et al. Risks of modelweighting in multimodel climate projections // J. Climate. 2010. V. 23. № 15. P. 4175–4191.
- Yang H., Zhou F., Piao S. et al. Regional Patterns of Future Runoff Changes from Earth System Models Constrained by Observation // Geophys. Res. Lett. 2017. V. 44. № 11. P. 5540–5549.
- Zhang X., Tang Q., Zhang X. et al. Runoff sensitivity to global mean temperature change in the CMIP5 models // Geophys. Res. Lett. 2014. V. 41. № 15. P. 5492–5498.
Arquivos suplementares














