Stability of the Vertical Distribution of Dust Aerosol in Light and Moderate Winds
- Authors: Malinovskaya Е.A.1, Chkhetiani O.G.1, Golitsyn G.S.1, Lebedev V.A.1
-
Affiliations:
- Obukhov Institute of Atmospheric Physics, Russian Academy of Sciences
- Issue: Vol 59, No 5 (2023)
- Pages: 623-634
- Section: Articles
- URL: https://ogarev-online.ru/0002-3515/article/view/140369
- DOI: https://doi.org/10.31857/S0002351523050085
- EDN: https://elibrary.ru/HBBAFE
- ID: 140369
Cite item
Full Text
Abstract
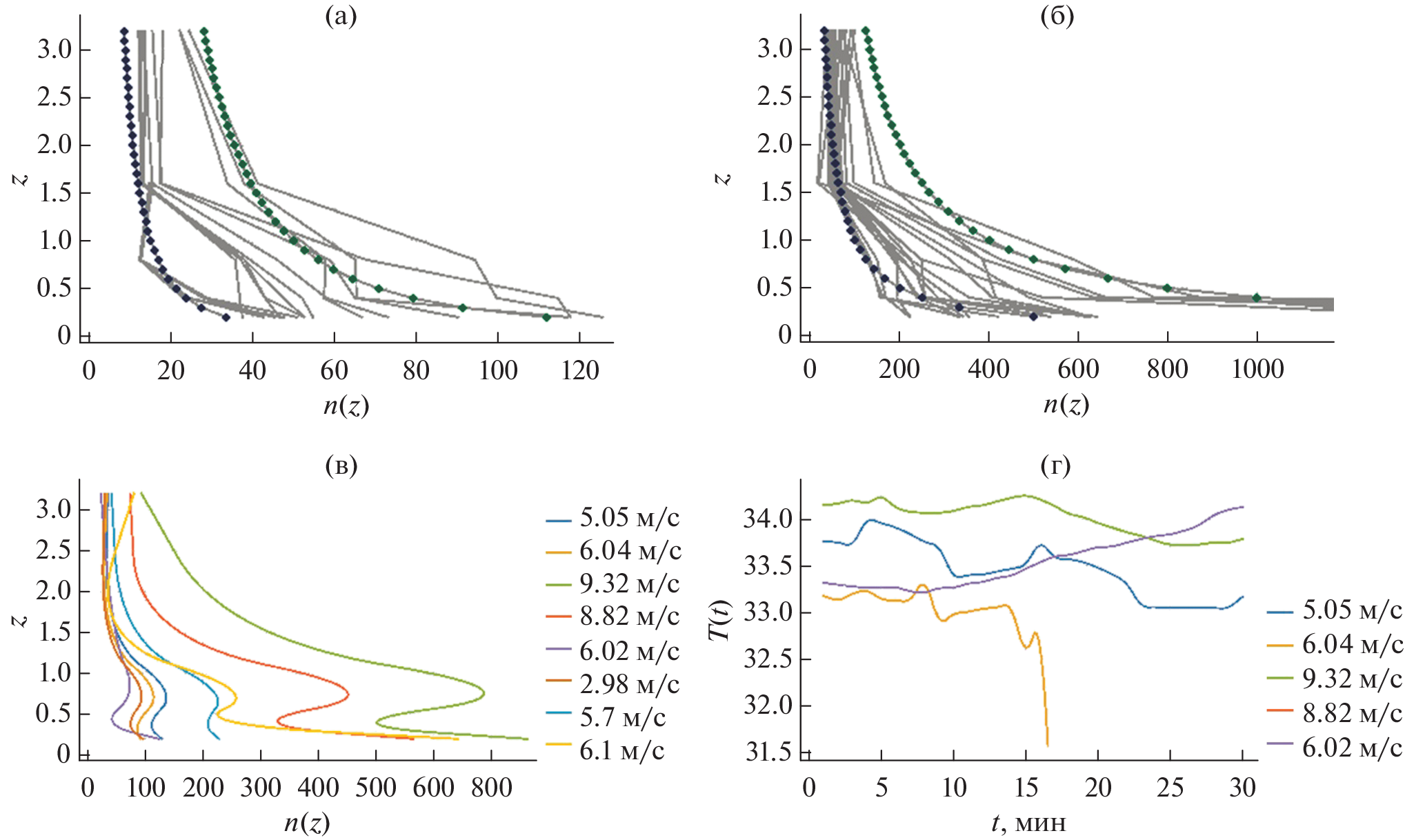
The profiles of dust aerosol mass concentration obtained with multilevel (0.2, 0.4, 0.8, 1.6, and 3.2 m) daytime measurements in arid conditions in 2020–2022 show a power dependence on height. We distinguish three main types of changes in concentration with height: a) in low wind (degrees are close to –0.5); b) spike changes in concentration when wind increases (degrees reach and exceed –1); c) inversions (concentration increases with height at two or three lower levels of measurements): weak – about –20 mkg/cm3, significant – more than 50 mkg/cm3. The power dependence of –0.5 is explained by the collective effect of the rise of the ensemble of closely located bubbles of air warmed around the dust particles. In weak and moderate winds, this mode is more common. Burst changes in concentration are associated with the emergence of turbulent structures.
Keywords
About the authors
Е. A. Malinovskaya
Obukhov Institute of Atmospheric Physics, Russian Academy of Sciences
Author for correspondence.
Email: elen_am@inbox.ru
Russia, 119017, Moscow, Pyzhevsky lane, 3
O. G. Chkhetiani
Obukhov Institute of Atmospheric Physics, Russian Academy of Sciences
Email: elen_am@inbox.ru
Russia, 119017, Moscow, Pyzhevsky lane, 3
G. S. Golitsyn
Obukhov Institute of Atmospheric Physics, Russian Academy of Sciences
Email: elen_am@inbox.ru
Russia, 119017, Moscow, Pyzhevsky lane, 3
V. A. Lebedev
Obukhov Institute of Atmospheric Physics, Russian Academy of Sciences
Email: elen_am@inbox.ru
Russia, 119017, Moscow, Pyzhevsky lane, 3
References
- Баренблатт Г.И., Голицын Г.С. Локальная структура развитых пыльных бурь. М.: МГУ. 1973. 44 с.
- Бютнер Э.К. Динамика приповерхностного слоя воздуха. Л.: Гидрометиздат, 1978. 156 с.
- Васильченко И.В. Приближенный термодинамический анализ локальных восходящих токов в атмосфере // Тр. ГГО. Вып. 72. 1957. С. 3–18.
- Вульфсон Н.И. Исследование конвективных движений в свободной атмосфере. М.: Акад. наук СССР, 1961. 522 с.
- Зельдович Я.Б. Предельные законы свободно–восходящих конвективных потоков // ЖЭТФ. 1937. Т. 7. В. 12. С. 1463–1465.
- Ингель Л.Х. О предельных законах свободновосходящих конвективных струй и термиков от локальных источников тепловыделяющей примеси // Инженерно-физический журн. 2019. Т. 92. № 6. С. 2526–2534.
- Малиновская Е.А., Чхетиани О.Г., Максименков Л.О. Влияние направления ветра на распределение эоловых микрочастиц по размерам // Изв. РАН. Физика атмосферы и океана. 2021. Т. 57(5). С. 539–554.
- Малиновская Е.А., Чхетиани О.Г., Голицын Г.С., Лебедев В.А. О вертикальном распределении пылевого аэрозоля в условиях слабых и умеренных ветров // Доклады Российской академии наук. Науки о Земле. 2023. Т. 509(2). С. 109–117.
- Монин А.С., Яглом А.М. Статистическая гидромеханика. Теория турбулентности. Часть 1. СПб.: Гидрометеоиздат, 1992. 694 с.
- Семенов О.Е. Введение в экспериментальную метеорологию и климатологию песчаных бурь. М.: Физматкнига, 2020. 448 с.
- Чхетиани О.Г., Голицын Г.С. Обнаружение и распространение диффузионных пятен примеси и время их жизни // ДАН. 2014. Т. 455. № 5. С. 550–553.
- Alfaro S.C., Gaudichet A., Gomes L., Maillé M. Modeling the size distribution of a soil aerosol produced by sandblasting // J. Geophysical Research: Atmospheres. 1997. V. 102, D10. P. 11239–11249.
- Batchelor G.K. Heat convection and buoyancy effects in fluids // Quart. J. R. Met. Soc. 1954. V. 80. Iss. 345. P. 339–358.
- Chkhetiani O.G., Gledzer E.B., Artamonova M.S., Iordanskii M.A. Dust resuspension under weak wind conditions: direct observations and model // Atmospheric Chemistry and Physics. 2012. V. 12(11). P. 5147–5162.
- Fernandes R., Dupont S., Lamaud E. Investigating the role of deposition on the size distribution of near-surface dust flux during erosion events // Aeolian Research. 2019. V. 37. P. 32–43.
- Gillette D.A., Fryrear D.W., Gill T.E., Ley T., Cahill T.A., Gearhart E.A. Relation of vertical flux of particles smaller than 10 μm to total aeolian horizontal mass flux at Owens Lake // J. Geophysical Research: Atmospheres. 1997. V. 102, D22. P. 26009–26015.
- Gillies J.A., Berkofsky L. Eolian suspension above the saltation layer, The Concentration Profile // J. Sedimentary Research. 2004. V. 74. № 2. P. 176–183.
- Houser C.A., Nickling W.G. The emission and vertical flux of particulate matter <10 μm from a disturbed clay-crusted surface // Sedimentology. 2001. V. 48. № 2. P. 255–267.
- Ishizuka M., Mikami M., Leys J., Yamada Y., Heidenreich S., Shao Y., McTainsh G.H. Effects of soil moisture and dried raindroplet crust on saltation and dust emission // J. Geophysical Research: Atmospheres. 2008. V. 113. P. D24.
- Ishizuka M., Mikami M., Leys J.F., Shao Y., Yamada Y., Heidenreich S. Power law relation between size-resolved vertical dust flux and friction velocity measured in a fallow wheat field // Aeolian Research. 2014. V. 12. P. 87–99.
- Ju T., Li X., Zhang H., Cai X., Song Y. Parameterization of dust flux emitted by convective turbulent dust emission (CTDE) over the Horqin Sandy Land area // Atmospheric Environment. 2018. V. 187. P. 62–69.
- Khalfallah B., Bouet C., Labiadh M.T., Alfaro S.C., Bergametti G., Marticorena B., Rajot J.L. Influence of atmospheric stability on the size distribution of the vertical dust flux measured in eroding conditions over a flat bare sandy field // J. Geophysical Research: Atmospheres. 2020. V. 125. № 4. P. e2019JD031185.
- Klose M., Shao Y. Stochastic parameterization of dust emission and application to convective atmospheric conditions // Atmospheric Chemistry and Physics. 2012. V. 12(16). P. 7309–7320.
- Klose M., Shao Y. Large-eddy simulation of turbulent dust emission // Aeolian Research. 2013. V. 8. P. 49–58.
- Lanigan D., Stout J., Anderson W. Atmospheric stability and diurnal patterns of aeolian saltation on the Llano Estacado // Aeolian Research. 2016. V. 21. P. 131–137.
- Li X.L., Klose M., Shao Y., Zhang H.S. Convective turbulent dust emission (CTDE) observed over Horqin Sandy Land area and validation of a CTDE scheme // J. Geophysical Research: Atmospheres. 2014. V. 119. № 16. P. 9980–9992.
- Macpherson T., Nickling W.G., Gillies J.A., Etyemezian V. Dust emissions from undisturbed and disturbed supply-limited desert surfaces // J. Geophysical Research: Earth Surface. 2008. 113, F2.
- Maher B.A., Prospero J.M., Mackie D., Gaiero D., Hesse P.P., Balkanski Y. Global Connections between aeolian dust, climate and ocean biogeochemistry at the present day and at the Last Glacial Maximum // Earth–Science Reviews. 2010. V. 99. № 1–2. P. 61–97.
- Neuman C.M.K., Boulton J.W., Sanderson S. Wind tunnel simulation of environmental controls on fugitive dust emissions from mine tailings // Atmospheric Environment. 2009. V. 43. № 3. P .520–529.
- Shao Y. A model for mineral dust emission // J. Geophysical Research: Atmospheres. 2001. V. 106. D17. P. 20 239–20 254.
- Shao Y. Physics and Modeling of Wind Erosion. Springer, 2008. 452 c.
Supplementary files











